Volume 44 Issue 2
Feb.  2018
Turn off MathJax
Article Contents
DUAN Yongsheng, ZHAO Jiguang, CHEN Peng, et al. Analysis method on risk uncertainty based on variable step discrete random set[J]. Journal of Beijing University of Aeronautics and Astronautics, 2018, 44(2): 295-304. doi: 10.13700/j.bh.1001-5965.2017.0047(in Chinese)
Citation: DUAN Yongsheng, ZHAO Jiguang, CHEN Peng, et al. Analysis method on risk uncertainty based on variable step discrete random set[J]. Journal of Beijing University of Aeronautics and Astronautics, 2018, 44(2): 295-304. doi: 10.13700/j.bh.1001-5965.2017.0047(in Chinese)

Analysis method on risk uncertainty based on variable step discrete random set

doi: 10.13700/j.bh.1001-5965.2017.0047
More Information
  • Corresponding author: ZHAO Jiguang, E-mail:jiguang_zhao@aliyun.com
  • Received Date: 03 Feb 2017
  • Accepted Date: 17 Mar 2017
  • Publish Date: 20 Feb 2018
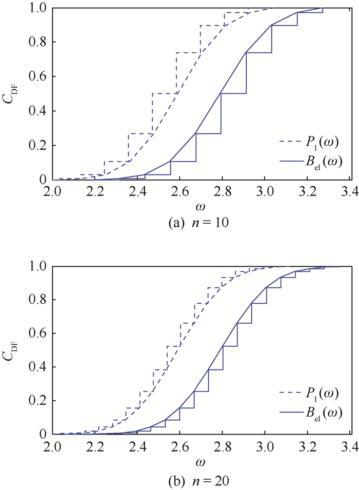
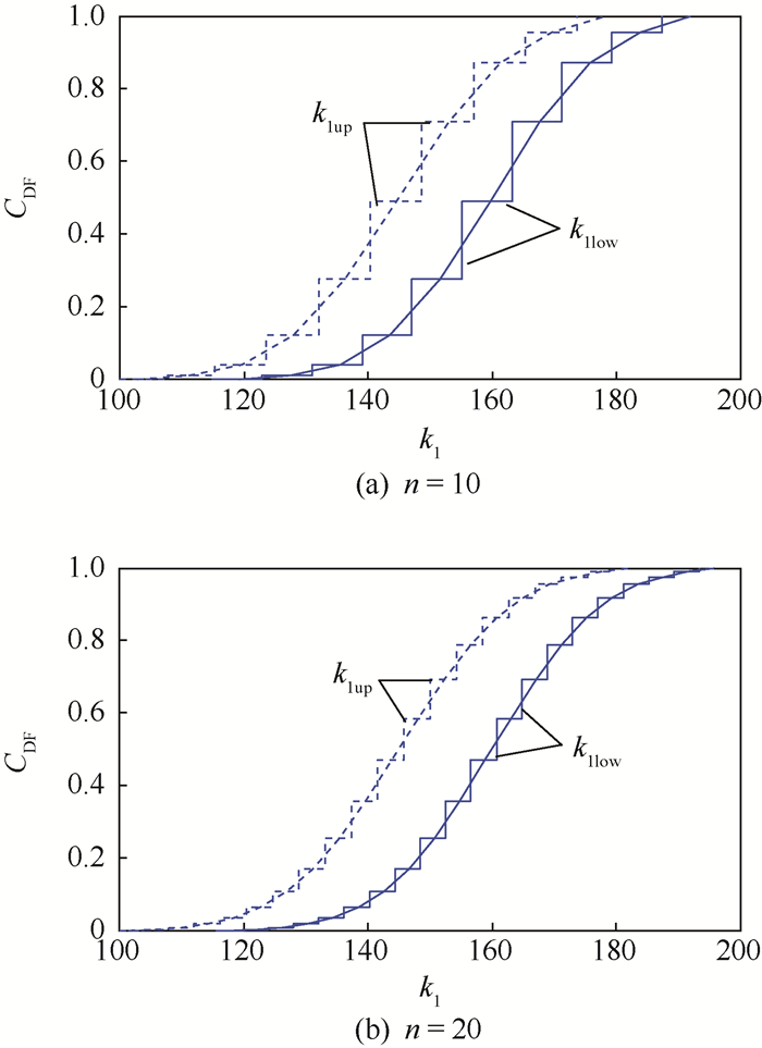
  • In view of hybrid uncertainty presentation and propagation considering the dissonance and imprecision of information in risk assessment, a hybrid uncertainty analysis method based on variable step discrete random set theory was proposed. All kinds of incomplete and dissonant knowledge was represented with random set framework, a unified hybrid uncertainty propagation model was built using random extension principle, and uncertainty envelope curvesof risk was calculated at the same time. To solve the uncertainty combination problem of dissonant and conflict informations, D-S evidence combination principle was used to merge multisource uncertainty informations. For reducing the tail relative error, a variable step discrete random set presentation strategy of uncertainty variables was proposed, and the analysis procedure of hybrid uncertainty propagation was put forward based on variable step discrete random set theory. In conclusion, a physics and phenomena response model of a mass-spring-damper system was taken to verify the effectiveness and feasibility of the proposed method.

     

  • loading
  • [1]
    GIANG P H. Decision making under uncertainty comprising complete ignorance and probability[J].International Journal of Approximate Reasoning, 2015, 62:27-45. doi: 10.1016/j.ijar.2015.05.001
    [2]
    SONG S, LU Z, LI W, et al.The uncertainty importance measures of the structural system in view of mixed uncertain variables[J].Fuzzy Sets & Systems, 2014, 243:25-35.
    [3]
    HELTON J C.Uncertainty and sensitivity analysis in the presence of stochastic and subjective uncertainty[J].Journal of Statistical Computation & Simulation, 2007, 57(1):3-76. doi: 10.1080/00949659708811803
    [4]
    FERSON S, GINZBURG L R.Different methods are needed to propagate ignorance and variability[J].Reliability Engineering & System Safety, 1996, 54(2):133-144.
    [5]
    BAUDRIT C. Comparing methods for joint objective and subjective uncertainty propagation with an example in risk assessment[C]//Proceedings of 4th International Symposium on Imprecise Probabilities and Their Application (ISIPTA'05), 2005: 31-40.
    [6]
    GUYONNET D, BAUDRIT C, DUBOIS D.Postprocessing the hybrid method for addressing uncertainty in risk assessments[J].Journal of Environmental Engineering, 2005, 131(12):1750-1754. doi: 10.1061/(ASCE)0733-9372(2005)131:12(1750)
    [7]
    WANG C, QIU Z.Hybrid uncertain analysis for steady-state heat conduction with random and interval parameters[J].International Journal of Heat & Mass Transfer, 2015, 80(80):319-328.
    [8]
    WALLEY P.Statistical reasoning with imprecise probabilities[M].London:Chapman and Hall, 1991:12-231.
    [9]
    DEMPSTER A P.Upper and lower probabilities induced by a multi-valued mapping[J].Annals of Mathematical Statistics, 1967, 38(2):325-339. doi: 10.1214/aoms/1177698950
    [10]
    SHAFER G.A mathematical theory of evidence[J].Technometrics, 1978, 20(1):1-242. doi: 10.1080/00401706.1978.10489609
    [11]
    SMETS P.The normative representation of quantified beliefs by belief functions[J].Artificial Intelligence, 1997, 92(1-2):229-242. doi: 10.1016/S0004-3702(96)00054-9
    [12]
    ZADEH L A.Fuzzy sets as a basis for a theory of possibility[J].Fuzzy Sets & Systems, 1978, 1(1):3-28.
    [13]
    BAUDRIT C, COUSO I, DUBOIS D, et al.Joint propagation of probability and possibility in risk analysis:Towards a formal framework[J].International Journal of Approximate Reasoning, 2007, 45(1):82-105. doi: 10.1016/j.ijar.2006.07.001
    [14]
    AVEN T.On how to define, understand and describe risk[J].Reliability Engineering & System Safety, 2010, 95(6):623-631.
    [15]
    YAGER R R.Uncertainty representation using fuzzy measures[J].IEEE Transactions on Systems Man & Cybernetics Part B (Cybernetics), 2002, 32(1):13-20.
    [16]
    FLAGE R, BARALDI P, ZIO E, et al.Probability and possibility-based representations of uncertainty in fault tree analysis[J].Risk Analysis, 2013, 33(1):121-133. doi: 10.1111/risk.2013.33.issue-1
    [17]
    HELTON J C, JOHNSON J D, OBERKAMPF W L, et al.Sensitivity analysis in conjunction with evidence theory representations of epistemic uncertainty[J].Reliability Engineering & System Safety, 2006, 91(10):1414-1434.
    [18]
    GUYONNET D, BOURGINE B, DUBOIS D, et al.Hybrid approach for addressing uncertainty in risk assessments[J].Journal of Environmental Engineering, 2003, 129(1):68-78. doi: 10.1061/(ASCE)0733-9372(2003)129:1(68)
    [19]
    TONON F.Using random set theory to propagate epistemic uncertainty through a mechanical system[J].Reliability Engineering & System Safety, 2004, 85(1):169-181.
    [20]
    MOLCHANOV I.Theory of random sets[M].Berlin:Springer, 2006:31-210.
    [21]
    BERNARDINI A.What are the random and fuzzy sets and how to use them for uncertainty modelling in engineering systems[M].Berlin:Springer, 1999:63-125.
    [22]
    DUBOIS D, PRADE H.Random sets and fuzzy interval analysis[J].Fuzzy Sets & Systems, 1991, 42(1):87-101.
    [23]
    ALVAREZ D A.On the calculation of the bounds of probability of events using infinite random sets[J].International Journal of Approximate Reasoning, 2006, 43(3):241-267. doi: 10.1016/j.ijar.2006.04.005
    [24]
    SADIQ R, NAJJARAN H, KLEINER Y.Investigating evidential reasoning for the interpretation of microbial water quality in a distribution network[J].Stochastic Environmental Research and Risk Assessment, 2006, 21(1):63-73. doi: 10.1007/s00477-006-0044-7
    [25]
    GRABISCH M. Dempster-Shafer and possibility theory[M].Berlin:Springer, 2016:377-437.
    [26]
    DUBOIS D, FOULLOY L, MAURIS G, et al.Probability-possibility transformations, triangular fuzzy sets, and probabilistic inequalities[J].Reliable Computing, 2004, 10(4):273-297. doi: 10.1023/B:REOM.0000032115.22510.b5
    [27]
    OUSSALAH M.On the probability/possibility transformations:A comparative analysis[J].International Journal of General System, 2000, 29(5):671-718. doi: 10.1080/03081070008960969
    [28]
    锁斌, 程永生, 曾超, 等.基于证据理论的异类信息统一表示与建模[J].系统仿真学报, 2013, 25(1):6-11. http://www.cnki.com.cn/Article/CJFDTOTAL-XTFZ201301004.htm

    SUO B, CHENG Y S, ZENG C, et al.Unified method of describing and modeling heterogeneous information based on evidence theory[J].Journal of System Simulation, 2013, 25(1):6-11(in Chinese). http://www.cnki.com.cn/Article/CJFDTOTAL-XTFZ201301004.htm
    [29]
    FLOREA M C, JOUSSELME A L, GRENIER D, et al.Approximation techniques for the transformation of fuzzy sets into random sets[J].Fuzzy Sets & Systems, 2008, 159(3):270-288.
    [30]
    KOLMOGOROV A N, FOMIN S.Elements of the theory of functions and functional analysis.Vol.1, Metric and normed spaces[M].Rochester:Graylock Press, 1957:372-389.
    [31]
    OBERKAMPF W L, HELTON J C, JOSLYN C A, et al.Challenge problems:Uncertainty in system response given uncertain parameters[J].Reliability Engineering & System Safety, 2004, 85(1):11-19.
  • 加载中

Catalog

    通讯作者: 陈斌, bchen63@163.com
    • 1. 

      沈阳化工大学材料科学与工程学院 沈阳 110142

    1. 本站搜索
    2. 百度学术搜索
    3. 万方数据库搜索
    4. CNKI搜索

    Figures(9)  / Tables(7)

    Article Metrics

    Article views(877) PDF downloads(343) Cited by()
    Proportional views
    Related

    /

    DownLoad:  Full-Size Img  PowerPoint
    Return
    Return