2017 Vol. 43, No. 4

Display Method:
Volume 43 Issue42017
iconDownload (44692) 1132 iconPreview
Real-time monitoring method of cable coupling signal
SU Donglin, LI Bing, WANG Junjun, SONG Xinwei
2017, 43(4): 645-653. doi: 10.13700/j.bh.1001-5965.2016.0318
Abstract:

Cable coupling is one of the most important reasons for electromagnetic compatibility problems in avionics systems. Monitoring the cable coupling effect is of great significance. A method of monitoring the coupling signals on the ports with the spare wire in the cable is introduced. Since the monitoring wire is in the same conditions as the monitored one, the influence of the stochastic routing and field distribution could be counteracted. The monitoring and monitored wires could be regarded as the same two-port system, which could be described with an ABCD matrix. Then the frequency-domain analytical model of this system could be constructed with the transmission line theory. Finally, it could be converted to a discrete-time model and the signal flow graphs of the system could be achieved, which is convenient for the real-time signal processing and hardware realization. A four-wire cable system is taken as the case to validate the method. Compared with the results of measurement, the errors of the current peaks are less than 6%, which is small enough for practical applications. This fact proves that the method is effective and accurate.

Modular decomposition model of complex product system and its application
YAN Huafeng, ZHONG Weijun
2017, 43(4): 654-659. doi: 10.13700/j.bh.1001-5965.2016.0272
Abstract:

Modular design and development technology can realize flexible manufacturing of complex product system (CoPS), but inappropriate modular decomposition will increase managerial difficulty and manufacturing cost. Based on the analysis of the product system modularization theory, this paper summarizes the modular processing flow of the complex product system, lists the modular decomposition principle of CoPS, proposes the modular decomposition model and modular-enterprise performance correlation analysis model, and then uses the wide area moniting analysis protection-control (WARMAP) system as an example. This paper discusses that calculation by the modular decomposition makes the wide-area monitoring and analysis control system of power grid is divided into four functional models under the complex condition, which greatly shortens the development cycle of WARMAP system, improves the quality of research and development, verifies the validity of the modular decomposition model, and provides theoretical guidance and decision-making reference for enterprise product modular design.

Monocular SLAM plane discovery method enhanced by line segments matching
MENG Shan, TANG Wenming
2017, 43(4): 660-666. doi: 10.13700/j.bh.1001-5965.2016.0273
Abstract:

To meet the self-navigation need of light-weighted robots, e.g. small UAV, we propose a multi-dimensional geometric feature extraction method for monocular SLAM. Feature points based SLAM mapping method is vulnerable to noisy samples and its description efficiency of complex environments needs to be increased. This method introduced the line and plane features to the three-dimensional map building process. It improved the monocular SLAM application system's key frame matching speed and overall stability. A rapid line matching algorithm was implemented, and three-dimensional lines were drawn by two-dimensional lines matching. Traditional space points based J-Linkage method drove its preference set's dimension high, and then remarkable calculation cost was needed for clustering points with multiple models, which is common during monocular SLAM mapping process. An enhanced J-Linkage algorithm was presented for feature plane extraction. With the combination of multi-dimensional geometric features, the reliability monocular SLAM system's mapping process was improved. The representative redundancy of the SLAM applications was reduced.

Element failure correction method for UH model
LUO Ting, SHU Wenjun, YAO Yangping
2017, 43(4): 667-675. doi: 10.13700/j.bh.1001-5965.2016.0321
Abstract:

The problem of some elements' damage often appears when finite element calculation of using UH model UMAT is conducted, including tension failure and shear failure. The failure stress state not only makes the results unreasonable, but also reduces the stability of calculation. To solve the problem generated by unreasonable failure stress state when the UH model's UMAT is used to conduct finite element analysis, based on certain assumptions and combined with stress transformation relationship under different coordinates, three-dimensional element failure correction formulas for UH model can be elicited. Then FORTRAN language is used to write the subroutine of element failure correction, and it is embedded in the UH model's UMAT to eliminate the unreasonable failure stress state and improve the stability of finite element calculation. Finally, an example of foundation pit excavation is used to verify the validity and rationality of this method.

Effects of NFFD control points distribution on aerodynamic shape optimization
MA Mingsheng, TANG Jing, LI Bin, ZHOU Guiyu
2017, 43(4): 676-684. doi: 10.13700/j.bh.1001-5965.2016.0277
Abstract:

The NURBS based free-form deformation (NFFD), which is universal for representation of object geometry, and whose control point influence zone is local for geometry deformation, is used widely for aerodynamic shape optimization. By extending the control volume and locating the outer control points appropriately, NFFD is used to parameterize the surface, deform the surface grid and volume grid in one single process. The grid cells both inside and outside control volume are preserved consistent theoretically after shape deformation. With the gradient of object function calculated by discrete adjoint method, both the quasi-Newton (QN) and sequential quadratic programming (SQP) optimization techniques are applied to inverse airfoil design from the initial airfoil, NACA0012, to the standard flying-wing airfoil, EH1590. The effects of the number and distribution of control points on optimization result are discussed. In the case of the lift-to-drag ratio optimization for a whole aircraft with flying-wing in a single design state, the convergence speed is improved obviously and higher lift-to-drag ratio is obtained by improving the distribution of control points.

Error evaluation method of aircraft altimetry system based on ADS-B
JIN Kaiyan, ZHU Yanbo, XU Youchen
2017, 43(4): 685-693. doi: 10.13700/j.bh.1001-5965.2016.0308
Abstract:

Aimed at the accurate evaluation of the altimetry system error for the automatic dependent surveillance-broadcast (ADS-B) height keeping performance monitoring, a data smoothing and fitting analysis method based on the kernel smoothing and mixed-Gaussian distribution was proposed. The kernel smoothing method for improving the resolution of the height data in the ADS-B messages was proposed. The optimal bandwidth of the data smoothing was analyzed. The analysis using real data demonstrates that this error evaluation method of the altimetry system is effective. To solve the problem that the two independent altimetry systems of an aircraft have different height keeping performance distribution characteristics, the fitting method based on the mixed-Gaussian distribution was proposed. The analysis using real data demonstrates that this method can accurately describe the double split peak characteristic of the aircraft altimetry system error. The proposed methods have been used in the analysis of Chinese RVSM aircraft height keeping performance. Evaluation results follow the requirements of International Civil Aviation Organization.

Numerical study for damage of carbon fiber reinforced resin matrix laminates related to strain rates
PENG Liang, HUANG Wenbo, MAO Wei, ZHAO Meiying
2017, 43(4): 694-700. doi: 10.13700/j.bh.1001-5965.2016.0846
Abstract:

In order to study the effect of high strain rate loading on the deformation and failure of carbon fiber reinforced resin matrix composites, a numerical damage model, in which the stiffness and strength of composite material were modified by the strain rate correction method, was established in consideration of the strain rate effect. The in-plane failure behavior of the laminar structure under different strain rate conditions was simulated and compared with the literature experiment. The results show that the numerical model constructed in this paper can effectively predict the failure characteristics of the resin base plate structure under different strain rate conditions, and has high accuracy in predicting the stiffness and strength hardening phenomenon. For the specimen dominated by 0° and 90° layer, because of the quasi-linear mechanical properties, the numerical model obtains high accuracy in strength prediction; however, for ±45° layer dominant specimen, it exhibits the characteristics of strong nonlinear damage under different strain rate conditions, so the model has some errors in its strength prediction.

Tests of flying wing aircraft roll control using plasma actuator
YAO Junkai, HE Haibo, ZHOU Danjie, HE Chengjun, SHI Zhiwei, DU Hai
2017, 43(4): 701-708. doi: 10.13700/j.bh.1001-5965.2016.0309
Abstract:

Flying wing aircraft usually uses multiple aerodynamic control surfaces for flight control. The aerodynamic control surface has a complex structure and control efficiency decreases dramatically at large angles of attack due to flow separation. The plasma actuator is usually used in flow control due to the advantages of simple structure, light-weight design and fast time response. In this paper, tests were done using the plasma actuator to produce asymmetrical aerodynamic forces for flying wing aircraft roll control by suppressing the flow separation on unilateral wing. The optimal dispose position and discharge parameter of plasma actuator were obtained and aileron roll control effect was also investigated and compared with plasma actuator. The results indicate that the plasma actuator arranged at the leading edge of inner and middle wing can get the best roll control effect. The modulation frequency of plasma actuator has significant impact on aircraft roll control, while excitation voltage's impact is small. Compared to the aileron, the plasma actuator achieves better roll control effect at large angles of attack.

Framelet-based random walk pan-sharpening method
WANG Jingkai, YANG Xiaoyuan
2017, 43(4): 709-719. doi: 10.13700/j.bh.1001-5965.2016.0311
Abstract:

A novel pan-sharpening method was proposed for the fusion of multispectral image and panchromatic image. First, the original image was transformed from spatial domain to framelet domain by intensity, hue, saturation (IHS) transform and non-subsampled framelet transform. Second, the statistical fusion model of high frequency framelet coefficients was established with the random walk method based on graph theory. On basis of the neighborhood correlation and scale correlation of high frequency framelet coefficients, the novel compatibility function for random walk was constructed. Finally, the fusion weight estimation of high frequency framelet coefficients was translated into the solution of the random walk labeled problem. Experimental results show that the proposed method is beneficial to keep the spectral information and edge contour information of the image. It can reduce the spectral distortion while improve the spatial resolution simultaneously, and it outperforms the other state-of-the-art pan-sharpening methods.

A loose-coupled mechanism of analysis model management for earthquake emergency response
LI Qinyong, SONG Jiangong, GAO Shiwei, DU Jianhai, LYU Jianghua, MA Shilong
2017, 43(4): 720-730. doi: 10.13700/j.bh.1001-5965.2016.0312
Abstract:

Because analysis models in earthquake emergency response system (EERS) have special characteristics, traditional model management methods in decision support system are not suitable well for the management requirement of analysis models. We propose a loose-coupled mechanism, called loose-coupled mechanism for model management (LC-MM), for earthquake emergency response. LC-MM is composed of three parts:1) an analysis resources modeling environment, which consists of 2 modeling languages, i.e., model description and control language (MDCL) and data source description and control language (DSDCL); 2) an Agent-based framework for analysis resources coordinating and interacting, which is divided into 4 layers and 3 Agent components, i.e., App_Context, Model_Invoker and Data_Channel; 3) a protocol for Agent-based components coordinating. The protocol changes the tight-coupled relationship between analysis models, data sources and tasks into a loose-coupled relationship through Agent components. Practical application shows that LC-MM can effectively cover up analysis resources' heterogeneity and improve the scalability, dynamic flexibility and flat-independency of EERS. The proposed mechanism can match the management requirement of analysis models in EERS.

Shift-frequency jamming suppression technique based on polarized channel expanding and blind source separation union
LI Xin, WANG Chunyang, FU Xiaolong, YUAN Hui
2017, 43(4): 731-737. doi: 10.13700/j.bh.1001-5965.2016.0250
Abstract:

Multiple shift-frequency jamming is an effective coherent jamming type to linear frequency modulation (LFM) pulse compression radar, which could produce multiple false targets before and after real target when it is applied in self-defense jamming. Considering the jamming suppression problem, a method based on blind source separation (BSS) to separate echo and jamming signals and frequency compensation to suppress jamming signal is proposed. First, the feasibility of cross polarized channel expanding was illustrated. Second, a radar-receiving-signal model was established after channel expanding. The separability of echo and jamming signal was discussed. Finally, the jamming suppression method based on the maximum signal-to-noise ratio blind source separation and frequency compensation was studied, and the influence of accessional noise from jammer was analyzed. Simulation results show that the proposed method could extract the target echo signal from the mixed signal effectively even when the jamming-to-signal ratio is 20 dB, which will suppress the main lobe shift-frequency jamming.

Discrimination method of range deception jamming based on FDA-MIMO
ZHANG Zhaojian, XIE Junwei, LI Xin, SHENG Chuan, HU Qiyong
2017, 43(4): 738-746. doi: 10.13700/j.bh.1001-5965.2016.0257
Abstract:

A range deception jamming discrimination method based on the multiple-input multiple-output (MIMO) radar with frequency diversity array (FDA) is proposed. In FDA-MIMO, the phase difference or spatial frequency between different elements of echo is dependent on both range and angle, which implies that the false targets can be discriminated and suppressed due to the mismatch in either range or angle. This paper derives the phase difference and spatial frequency formula of echo, jamming and mixed signal, analyzes the influence of up and down conversion, matched filtering, frequency shift and signal mixing in details, and introduces the entire identification process. The effectiveness of proposed method in suppressing jamming is demonstrated via theoretical analysis and computer simulations. Results show that this method can extract the phase difference and spatial frequency accurately, and discriminate false targets successfully under different scenarios.

Robust topology optimization of periodic structures under uncertain loading
FU Zhifang, WANG Chunjie
2017, 43(4): 747-753. doi: 10.13700/j.bh.1001-5965.2016.0822
Abstract:

This paper proposes a method of structural robust topology optimization under the periodicity constraint. A robust topology optimization model for periodic structures is proposed for linear elastic structures. Then, the formula of the sensitivity number is developed, and the robust topology optimal design of periodic structure under uncertain loadings is performed using soft-kill bi-directional evolutionary structural optimization method. Two numerical examples under different constraints demonstrate the stability of the proposed method. There are significant differences between the optimal structures under deterministic loads and the optimal structures under uncertain loads, and the robust design is more stable than the deterministic design.

Instantaneous availability of military aircraft during mission preparation period
LI Junliang, TENG Kenan, YANG Chunzhou, SUN Yuan, LI Jiying
2017, 43(4): 754-760. doi: 10.13700/j.bh.1001-5965.2016.0279
Abstract:

Military aircraft is a complex repairable system, instantaneous availability analysis of it is a difficult problem in the integrated logistics support field. The stochastic maintenance task net (SMTN) based on mission requirement and technical condition of the military aircraft is constructed, and the maintenance function distribution types of activities in the SMTN are different. The moment generating function is defined, and the numerical characteristics of the system maintenance distribution function are solved. The functions are verified by substituting expectation and variance into different distribution functions, and the maintenance functions that meet the actual situation are selected. And the military aircraft availability in the mission preparation period is simulated. In the calculation process, a new method is designed based on the Monte Carlo method, which can increase calculation efficiency and well reflects the logic, topology and randomness of the maintenance process. The simulation result can truly reflect the fluctuation of the instantaneous availability of military aircraft in the mission preparation period. This method can be widely applied to complex repairable systems to provide basis for decision-making of the use of equipment and to provide quantitative indicators for support effectiveness evaluation of support system, and is of certain exploration value on the research of "dynamic" indicator in the integrated logistics support field.

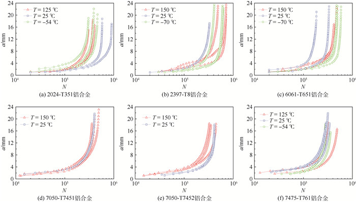
Temperature effect on crack propagation properties of aluminum alloys in aircraft
LI Kuang, XIONG Junjiang, MA Shaojun, CHEN Bo
2017, 43(4): 761-768. doi: 10.13700/j.bh.1001-5965.2016.0244
Abstract:

Fatigue properties on crack propagation rate at low and elevated temperatures are the precondition of damage tolerance design for aviation metallic structures. Therefore, in order to determine fatigue properties on crack propagation rate, fatigue tests were performed on six categories of aluminum alloys (i.e. 2024-T351, 2397-T8, 6061-T651, 7050-T7451, 7050-T7452, 7475-T761) at five kinds of temperatures (-70℃, -54℃, 25℃, 125℃, 150℃) under constant amplitude loading, and fatigue crack propagation properties were determined and the comparisons between fatigue properties on crack propagation rate at different temperatures were carried out. The mechanisms of temperature effect on crack propagation rate were deduced from fractographic studies by using scanning election microscope (SEM). The results show that, compared with the situation at 25℃, logarithmic crack propagation resistance coefficient decreases by 7% to 15% at low temperature, but increases by 5% to 23% at elevated temperature; crack propagation exponent increases by 7% to 21% at low temperature, but decreases by 5% to 34% at elevated temperature, compared with the situation at 25℃; hydrogen embrittlement and oxidation effects are likely to be the main reasons for more rapid crack propagation with the increasing temperature.

An ultrasonic levitating bearing supporting radial and axial loads
LI He, QUAN Qiquan, HUA Yuxiang, DENG Zongquan
2017, 43(4): 769-775. doi: 10.13700/j.bh.1001-5965.2016.0332
Abstract:

An ultrasonic bearing that can support radial and axial loads simultaneously is proposed based on piezoelectric-driven principle and ultrasonic levitation technology. Supporting in two directions can be achieved only relying on single excitation source, which brings about compact structure and simple control. To predict the ultrasonic bearing's working frequency and acoustic impedance, acoustic impedance network of ultrasonic bearing is modeled. Finite element analysis (FEA) method is adopted to calculate the amplitude on radiating surface of the ultrasonic bearing. In order to verify the ultrasonic bearing's performance, a prototype is developed and levitating capability experiments are conducted. Results in the experiments demonstrate that the ultrasonic bearing shows good suspending performance and is able to support larger radial loads and certain axial loads simultaneously. The design of this kind of ultrasonic bearing will open up a new way to develop novel bearing structure in the future.

Soft landing performance optimization for novel lander based on multiple working conditions
WU Hongyu, WANG Chunjie, DING Jianzhong, MAN Jianfeng, LUO Min
2017, 43(4): 776-781. doi: 10.13700/j.bh.1001-5965.2016.0296
Abstract:

A rigid-flexible coupled dynamics model was established for simulating and analyzing the soft landing process of the novel leg type lander. Three groups of bad landing conditions, in which the lander most easily overturns, bottom surface of the lander most easily collides with rocks on the surface of the planet, and body of the lander bears the greatest impact force, were found by iterating over landing parameters. According to the configuration of buffering mechanism, design variables of optimization were selected. Based on the three groups of bad landing conditions and non-dominated sorting genetic algorithm Ⅱ (NSGA-Ⅱ), a multi-objective optimization method was applied to enhance the ability of the lander to resist overturning, reduce the possibility that the bottom surface of lander collides with rocks on the surface of the planet, and reduce the impact on the body of lander. In the simulation using optimized parameters, the model does not overturn any longer. The minimum distance between bottom surface of the landing platform of the lander and surface of the planet increases by 4.2%, and the impact on the body of lander reduces by 12.1%.

Effectiveness evaluation for single helicopter forest firefighting training based on ANP
CHEN Jie, LIU Hu, SUN Xue, WANG Ning, DAI Xin
2017, 43(4): 782-789. doi: 10.13700/j.bh.1001-5965.2016.0287
Abstract:

Existing effectiveness evaluation methods for single helicopter forest firefighting training only aim at process of firefighting and getting water, ignore contributions of other processes during task to the training effectiveness, and assume mutual independence of indexes, which leads to incomplete evaluation index system, unreasonable distribution of indexes' weights and low reliability of evaluating results. The event-activity flow established by using theory of discrete event system modeling divides the task of single helicopter forest firefighting training into several related activities; the method mapping from activities analyzes elements of activities' effectiveness, transforms them into effectiveness evaluation indexes, and finally establishes all-sided two-dimensional effectiveness evaluation index system; with the dependency and relationship between evaluation indexes considered, the use of analytic network process (ANP) reallocates the weights of indexes reasonably, making evaluation method more suitable for actual situation of the problem and results of evaluation more reliable. The analysis of a case based on Super Decisions (SD) indicates that the proposed effectiveness evaluation method possesses feasibility and reference value in engineering applications.

Simulation realization of high dynamic GPS signal coarse acquisition and fine acquisition algorithm
ZENG Chan, LI Weimin, BI Bo
2017, 43(4): 790-799. doi: 10.13700/j.bh.1001-5965.2016.0313
Abstract:

For the purpose of solving GPS signal fast acquisition problem under the high dynamic, a coarse acquisition method combining improved partial matched filter (PMF) and fast Fourier transform (FFT) was proposed. The principle and structure of PMF+FFT were analyzed, and windowing of traditional method was put forward for the problems of scalloping loss and low acquisition performance. Since the high dynamic tracking method based on extended Kalman filter has a high requirement for the precision of the parameter after acquisition, a fine acquisition based on Chirp-Z transform (CZT) algorithm was proposed on the basis of coarse acquisition. Based on the theory model of GPS signal and high dynamic trail, this paper has realized digital intermediate frequency GPS signal of high dynamic. In order to further speed up the acquisition, a fast blind search method of combining pseudo code correlation was adopted for cold start. Finally through the MATLAB simulation experiments, it is verified that the proposed coarse and fine acquisition algorithm for high dynamic GPS signal can achieve the acquisition dynamic performance of 100g and the accuracy of about 10 Hz in high dynamic environment.

Performance analysis of a new-type third-order TVD limiter
ZHAO Yatian, YAN Chao, SUN Di, QU Feng
2017, 43(4): 800-805. doi: 10.13700/j.bh.1001-5965.2016.0266
Abstract:

For numerical scheme in computational fluid dynamics (CFD), limiter technology is an important factor affecting computational accuracy and stability. Although the present classical second-order total variation diminishing (TVD) limiters with a wide application can well satisfy the computing requirements, its performance not only largely differs but also cannot be properly weighted between resolution and dissipation. Therefore, a new third-order TVD interpolation limiter (T-3 limiter) has been studied and compared with three classical limiters. First, through one-dimensional Riemann problem, it has been found that T-3 limiter is simultaneously characterized by both high intermittent resolution and excellent stability; then, by numerical simulation of hypersonic flow over a double-cone body and X-33 configuration, it has been found that T-3 limiter boasts the capability of portraying complex flow and good aerothermodynamic calculation performance.

Sliding-mode fault-tolerant attitude control for spacecraft using SGCMGs
ZHANG Fuzhen, JIN Lei
2017, 43(4): 806-813. doi: 10.13700/j.bh.1001-5965.2016.0270
Abstract:

Based on sliding-mode control and adaptive control, the passive fault-tolerant attitude control problem of rigid spacecraft using single gimbal control moment gyros (SGCMGs) was studied. First, the system mathematical model with fault of the speed of gyro framework was established. Then, a fault-tolerant controller, based on sliding-mode control theory, was designed to control the speed of gyro framework while an adaptive control law was employed in the controller to estimate the fault and disturbance message. Thus, it can achieve the attitude stability control with strong robustness in both defective and trouble-free cases, without knowing the prior information of the fault and disturbance. Finally, the simulation results of different fault modes of two configurations of SGCMGs verify the effectiveness and feasibility of this method.

UAV real-time path planning based on human-machine cooperation
ZHANG Shuai, LI Xueren, ZHANG Peng, ZHANG Jianye, BAI Han, ZHAO Xiaolin
2017, 43(4): 814-822. doi: 10.13700/j.bh.1001-5965.2016.0271
Abstract:

A human-machine real-time path planning strategy in complex battlefield environment is proposed when unmanned aerial vehicle (UAV) is performing tasks and encounter unexpected threats. Human undertakes the tasks of making decision and analysing threat information, and then sends the messages of direction for evading unexpected threats and emergency degree of task to UAV. UAV independently calculates the position of guide point which attracts UAV to change course, realize the evasion of unexpected threats by adopting fuzzy logic method according to the message that human provides. Simulation result shows that human-machine real-time path planning strategy combines human's intelligent decision-making and UAV's fast calculation ability, optimizes the path under the condition of complex threats, and dynamically adjusts the position of the guide point. Thus evasion path can be flexibly chosen on the basis of the emergency degree of task.

CT image reconstruction model and algorithm from few views
LIN Luping, WANG Yongge
2017, 43(4): 823-830. doi: 10.13700/j.bh.1001-5965.2016.0232
Abstract:

To improve the accuracy and efficiency of few-view computed tomography (CT) image reconstruction, CT image reconstruction is studied from limited view and sparse view, and a novel objective function of total variation norm is proposed. According to the newly-developed objective function, the next iteration is based on the information acquired in the previous one, through which the updated sparse representation model is achieved at each iteration. Additionally, the constrained optimization problem is converted to unconstrained optimization one by adopting the augmented Lagrangian method. Then it can be equally expressed by three sub-problems which can be solved by the alternating minimization scheme. The experimental results using the proposed strategy show that it can attain higher quality CT images which possess integral information, clear detail and high precision. Furthermore, the relative root mean square error can be reduced by 42.1%-98.5% and the streak indicator 42.8%-98.5%, compared with those using Split Bregman-based algorithm.

LPV robust tracking control for chain smooth switched morphing aircraft
JIA Zhen, DONG Chaoyang, WANG Qing
2017, 43(4): 831-841. doi: 10.13700/j.bh.1001-5965.2016.0246
Abstract:

Aimed at morphing aircraft with variable sweepback, this paper studies the issue of modeling and control for a class of morphing aircrafts. Fitting the relationship between aerodynamic parameters and sweepback, we developed linear parameter varying (LPV) model by Jacobian linearization approach. Then a smooth switching system approach with limited switching sequence, chain switching, is modeled, and the sufficient conditions are provided to ensure the finite-time boundedness and robust performance index of the chain smooth switched system. A solving algorithm of stabilizer for smooth switching controller is proposed, and the solving steps for gain control are presented. Based on the generalized system theory, the sufficient conditions for robust stability of the attitude tracking system are proposed. The numerical example simulation results are given to illustrate the validity of the devised approach.

Effect of inverse load on critical heat flux of steam-water two-phase flow in a tube
SONG Junhui, SONG Baoyin, ZHANG Zhao, LI Gang
2017, 43(4): 842-848. doi: 10.13700/j.bh.1001-5965.2016.0331
Abstract:

An experimental investigation using a rotating platform was performed to obtain the critical heat transfer performance of steam-water two-phase flow in a rectangle tube under inverse load. By changing the parameters such as magnitude of inverse load, inlet subcooling and mass flow rate, the critical flow and heat transfer data of steam-water two-phase flow boiling under static and inverse load were obtained. The results show that mass flow rate decreases with continuous heating, but the variation of fluid pressure difference in the test section is opposite. At critical state, mass flow rate decreases with increasing inverse load and/or inlet subcooling. Fluid pressure difference increases with increasing inverse load and mass flow rate, and decreases with increasing inlet subcooling. The critical heat flux increases with increasing inverse load, mass flow rate and inlet subcooling. Inverse load greatly impacts critical heat flux. Within its changing range from 0g to 2.5g, the critical heat flux could be increased by 50%.

Stiffness analysis of a flexible lever magnifying mechanism based on transfer matrix method
ZHENG Yangyang, GONG Jinliang, ZHANG Yanfei
2017, 43(4): 849-856. doi: 10.13700/j.bh.1001-5965.2016.0245
Abstract:

Stiffness is an important performance index for the dynamic performance and positioning precision of compliant micromanipulator. Concept of transfer matrix in engineering was applied to the stiffness analysis here. First, according to its structure characteristics, the compliant micromanipulator was modularized and each unit was treated as flexible body. Taking axial, shear and bending deformation into consideration, we solved transfer matrix of the subunit. Then each unit was assembled through the transfer matrix. Finally, relational model between input force and output displacement of compliant micromanipulator was established according to the force balance. The research result indicates that because multi-dimensional real deformation of each unit was taken into consideration, high-precision result was guaranteed. At the same time, the deformation compatibility equations between flexible and rigid units did not need to be solved during the analysis, and conversion of compliant micromanipulator global coordinate system was avoided. The analysis and computation time was also reduced. A kind of flexible lever magnifying mechanism stiffness model was established with this method. The error is less than 6.4% compared with the result of finite element analysis. The accuracy of analysis is improved effectively, and important theoretical basis is provided for parameter design.