留言板

尊敬的读者、作者、审稿人, 关于本刊的投稿、审稿、编辑和出版的任何问题, 您可以本页添加留言。我们将尽快给您答复。谢谢您的支持!

姓名
邮箱
手机号码
标题
留言内容
验证码

2019年  第45卷  第6期

显示方式:
2019年, 第45卷, 第6期
icon下载 (21042) 984 icon预览
论文
自适应非奇异快速终端滑模固定时间收敛制导律
赵国荣, 李晓宝, 刘帅, 韩旭
2019, 45(6): 1059-1070. doi: 10.13700/j.bh.1001-5965.2018.0621
摘要:

针对机动目标的末制导拦截问题,设计了一种带攻击角度约束的非奇异快速终端滑模固定时间收敛制导律。与有限时间收敛终端滑模制导律相比,所提制导律能够确保弹目视线(LOS)角和弹目视线角速率在固定时间内是收敛的,并且收敛时间是独立于制导系统初始条件的,可以根据制导律参数预先给定。构造了一种新型的非奇异快速终端滑模面,有效解决了奇异性问题,同时通过合理地改变滑模面与弹目视线角跟踪误差的趋近律指数,使得制导系统比现有的固定时间收敛控制具有更快的收敛速率。此外,设计了一种自适应律,针对目标机动引起的未知扰动进行估计,使得制导律的设计无需预先知道任何关于目标机动的信息。通过仿真实验验证了所提制导律能够使导弹成功拦截机动目标,并且与现有制导律相比,具有更快的系统收敛速率、更高的拦截精度及更短的拦截时间。

航空活塞发动机涡轮增压器失效关键影响因素分级
鲍梦瑶, 丁水汀, 李果
2019, 45(6): 1071-1080. doi: 10.13700/j.bh.1001-5965.2018.0597
摘要:

航空活塞发动机涡轮增压技术的应用大幅增加了动力系统的复杂性,与增压器相关的安全问题日趋严峻。以某型航空活塞发动机及其两级增压器为对象,聚焦失效诱因的判断方法研究,在建立的整机系统模型基础上,提出一种改进的对应分析法实现对增压器失效模式关键影响因素的分级。结果显示:通过列轮廓坐标随关键影响因素的数值偏离程度表明影响大小的分级方法,可以有效辨识出失效的关键影响因素,废气阀直径是影响各工作边界安全裕度的首要因素,需首先加以控制。

融合高斯过程回归的UKF估计方法
叶文, 蔡晨光, 杨平, 李建利
2019, 45(6): 1081-1087. doi: 10.13700/j.bh.1001-5965.2018.0591
摘要:

高精度滤波估计是SINS/GNSS组合导航系统的关键技术之一,其估计精度直接影响了导航精度。传统滤波估计方法一般只基于惯导误差模型,未考虑惯导误差模型不确定性的影响。针对此问题,提出了一种采用高斯过程回归(GPR)增强无迹卡尔曼滤波(UKF)预测和估计能力的高精度滤波估计方法。一方面,能在有限的训练数据条件下通过UKF估计误差状态量;另一方面,高斯过程既考虑了噪声,也考虑了UKF的不确定性。将所提方法应用于SINS/GNSS组合导航系统中,车载实验结果表明,所提方法能有效提高滤波估计精度。

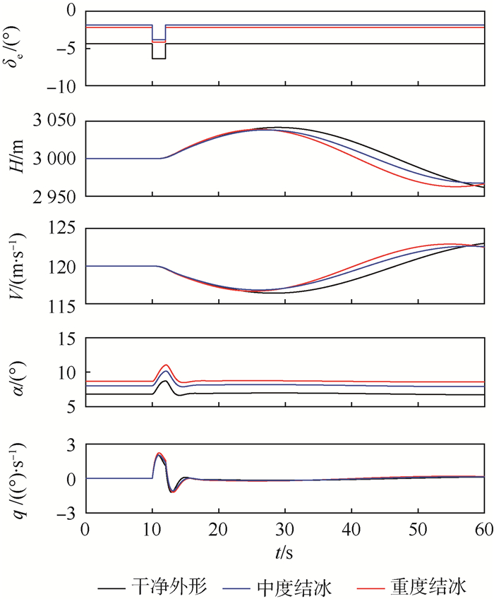
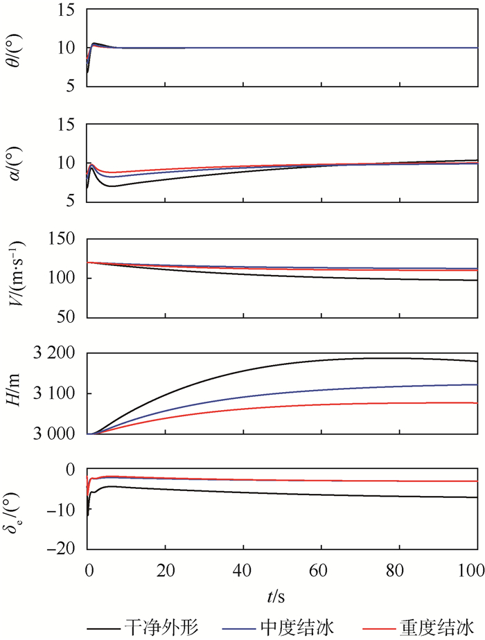
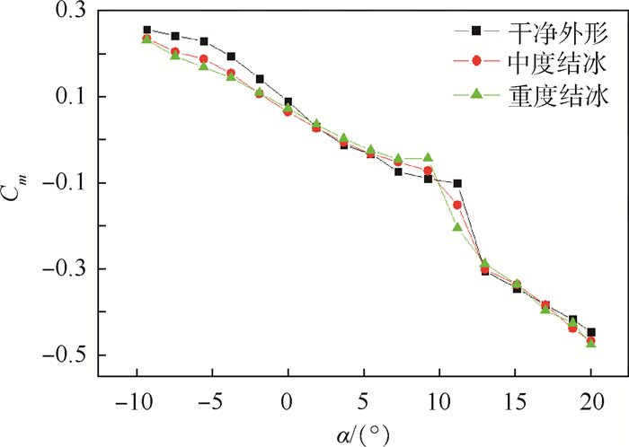
机翼前缘积冰对大飞机操稳特性的影响
魏扬, 徐浩军, 薛源, 李哲, 张久星
2019, 45(6): 1088-1095. doi: 10.13700/j.bh.1001-5965.2018.0589
摘要:

机翼结冰影响飞机的操稳特性和飞行性能,对飞行安全造成危害。基于实验数据构建了典型的不同结冰严重程度的机翼前缘积冰冰形,采用高精度数值模拟方法得到背景飞机机翼前缘积冰的气动数据,建立了飞机六自由度非线性动力学模型,在此基础上设计了俯仰角保持、滚转角保持及高度保持模式的自动驾驶仪闭环仿真系统。通过开环仿真,分析了不同程度积冰对飞机配平特性、纵向长短周期模态及横航向模态的影响,比较了不同程度积冰情形下飞机动态响应的差异。通过闭环仿真,研究了积冰对3种模式下自动驾驶性能的影响。仿真结果表明:积冰对飞机配平特性、模态特性及开环动态响应特性均会造成一定的不良影响,威胁飞行安全。

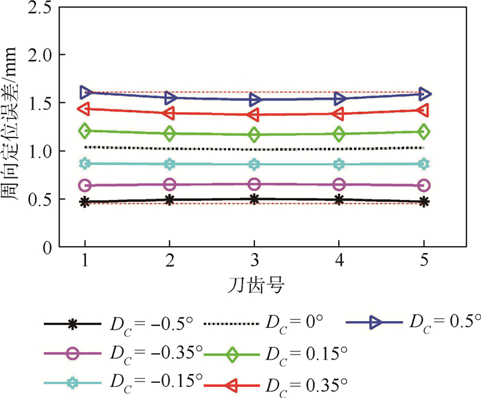
环面蜗轮滚刀刃带宽受周向定位误差影响分析
芮成杰, 李海涛, 杨杰, 龙新佳妮, 太健健, 丁宁
2019, 45(6): 1096-1105. doi: 10.13700/j.bh.1001-5965.2018.0607
摘要:

环面蜗轮滚刀刃带面的刃带宽需控制在一定的范围内以保持刃口的强度和锋利性,圆周定位误差的存在使刃带宽发生变化。为了磨削出满足需要的刃带面,研究了周向定位误差对刃带宽的影响规律。根据微分几何和齿轮啮合原理,建立了求解含有周向定位误差的刃带宽的数学模型。研究了存在周向定位误差时,刃带宽沿环面蜗轮滚刀的轴向和齿高方向的变化规律。同时,在VERICUT中建立虚拟的四轴联动环面蜗杆磨床,对周向定位误差的影响进行仿真验证。研究结果表明:周向定位误差对环面蜗轮滚刀边齿齿顶处刃带宽的影响最大;刃带宽与周向定位误差具有很强的相关性,呈线性变化关系;对于特定的算例,当给定的刃带宽e=1.0 mm在±10%范围内变化时,周向定位误差允许的调整范围为-0.122°~0.054°。

多源数据融合的民航发动机修后性能预测
谭治学, 钟诗胜, 林琳
2019, 45(6): 1106-1113. doi: 10.13700/j.bh.1001-5965.2018.0557
摘要:

针对民航发动机修后排气温度裕度预测过程中的多源异构数据融合问题,提出了卷积自编码器与极端梯度提升模型结合的方法。利用所提出的条件熵增长因子规整发动机修前多元传感器参数序列中的参数排序,采用卷积自编码器提取规整后的参数序列和维修工作范围的数据特征,并将其与发动机使用时间信息组成合成特征以训练极端梯度提升模型,从而预测发动机修后性能并评估各影响因素的重要程度。经发动机机队维修案例验证,所提方法预测精度高于单维参数序列预测方法,对发动机修后排气温度的平均相对预测误差不高于8.3%。

基于FEM研究含孔隙介质中裂纹矩张量反演精度
孔岳, 李敏, 陈伟民
2019, 45(6): 1114-1121. doi: 10.13700/j.bh.1001-5965.2018.0560
摘要:

基于矩张量理论的动态裂纹扩展监测方法,利用裂纹开裂产生的声发射信号获取裂纹开裂信息,而介质中的孔隙结构会影响监测结果的准确性。使用二维平面应变有限单元方法(FEM)建立孔隙分布数值模型,给出特定裂纹在不同孔隙率介质下的反演结果,并分析其成因。数值结果表明,双力偶成分对孔隙率的敏感度最高。对于纯剪切裂纹,反演结果中双力偶成分的占比随孔隙率的增大而减小;对于面内各向同性和拉伸裂纹,双力偶成分的占比随孔隙率的增大而增大。原因是孔隙结构对弹性波的散射导致弹性波幅值的空间分布发生变化,效果体现在两方面:一方面,能量转移作用导致不同传播方向弹性波的幅值趋于接近;另一方面,孔隙分布的差异导致临近传播方向的弹性波幅值差异增大。两种影响因素的权重差异导致不同裂纹的反演结果受孔隙的影响不同。

三维点阵结构等效热分析与优化方法
邓昊宇, 王春洁
2019, 45(6): 1122-1128. doi: 10.13700/j.bh.1001-5965.2018.0561
摘要:

为了实现三维点阵结构高效、准确的热传导分析,基于热力学原理,推导了点阵结构的热传导等效计算公式,提出了热传导等效分析模型的建模方法。运用等效建模方法,建立了点阵结构的等效有限元模型,通过对比非等效有限元模型的计算结果,证明了等效有限元模型热传导分析的高效性与准确性。针对功能与性能要求下的点阵结构优化设计问题,结合所提出的热传导等效分析方法给出了点阵结构优化方法并建立优化数学模型,利用混合整数序列二次规划(MISQP)算法进行迭代计算,得到了最优设计方案,使点阵结构在满足均热性能约束的同时质量得到了降低。

高速开关阀的复合PWM控制策略分析与优化
高强, 朱玉川, 罗樟, 陈晓明
2019, 45(6): 1129-1136. doi: 10.13700/j.bh.1001-5965.2018.0565
摘要:

针对单一PWM控制的高速开关阀(HSV)存在响应慢和功耗大的问题,从信号产生机理出发,提出了一种复合PWM控制策略,该复合PWM由基准PWM、激励PWM、高频PWM及反向PWM组成。首先,给出复合PWM的作用机制与工作原理;其次,通过仿真分析了激励PWM、高频PWM及反向PWM的占空比在不同工况下对高速开关阀性能的影响规律;最后,分别为激励PWM、高频PWM及反向PWM的占空比设计了相应的基于状态量反馈的闭环控制器。结果表明:与单一PWM控制相比,所提出的复合PWM控制器可以有效减少线圈的功耗和阀芯的关闭时间,线圈电流在阀芯最大开口维持阶段降低约80%,阀芯关闭时间减少约62.5%。

130 nm体硅反相器链的单粒子瞬态脉宽特性研究
李赛, 陈睿, 韩建伟
2019, 45(6): 1137-1144. doi: 10.13700/j.bh.1001-5965.2018.0568
摘要:

针对130 nm体硅反相器链,利用脉冲激光和重离子实验研究了目标电路单粒子瞬态(SET)的脉宽特性,并分析了电路被辐射诱发的SET脉宽特性受激光能量、重离子线性能量传递(LET)值、PMOS管栅长尺寸等因素的影响机制。重离子和脉冲激光实验结果类似,均表现为随激光能量、LET值的增加,电路被辐射诱发的SET脉宽逐步增大,且表现出明显的双(多)峰分布趋势,但辐射诱发的SET脉冲个数呈先增加再减少规律。此外,实验结果表明,在不同激光能量、LET值下,PMOS管栅长尺寸影响反相器链SET脉冲的特征不同。当激光能量、LET值较低时,PMOS管栅长尺寸大的电路产生的SET脉宽较大,而当激光能量、LET值较大时,PMOS管栅长尺寸小的电路反而产生更宽的SET脉冲。分析表明,较高激光能量、LET辐照时,寄生双极放大效应被触发可能是导致PMOS管栅长尺寸影响电路SET特征差异的主要原因。

2UPR-RRU并联机构及其运动学分析
陈淼, 张氢, 葛韵斐, 秦仙蓉, 孙远韬
2019, 45(6): 1145-1152. doi: 10.13700/j.bh.1001-5965.2018.0575
摘要:

针对航天制造中轻金属材料搅拌摩擦焊的焊接需求,提出一种以2UPR-RRU构型的1T2R三自由度并联机构为主要执行机构的焊接装备。基于螺旋理论分析了该构型在一般位型和特殊位型下的约束螺旋系和自由度性质,指出该构型是具有两转一移的全周自由度机构。建立2UPR-RRU并联机构运动学模型,利用闭环矢量法建立动平台位姿与各驱动支链的关系,推导其运动学的正反解;在正解过程中构造优化目标函数,采用粒子群优化(PSO)算法分析了位姿输出与驱动关节输入的关系,得到了驱动输入的精确解。基于输入/输出速度雅可比矩阵分析了机构的奇异性问题,指出该构型避免存在驱动奇异的条件,研究表明该机构具有较好的运动学特性和驱动特性,具备良好的应用潜力。

基于UGF-GO法的EWIS退化系统可靠性分析
曹慧, 段富海, 江秀红
2019, 45(6): 1153-1161. doi: 10.13700/j.bh.1001-5965.2018.0586
摘要:

针对飞机电气线路互联系统(EWIS)差异性大、随时间退化严重、可靠性建模困难等问题,将通用生成函数(UGF)和GO法融合,提出了基于UGF-GO法的EWIS退化可靠性分析方法。首先,考虑EWIS各连接部件使用性能及环境的差异性,利用含随机参数的Wiener退化过程模型建立部件可靠性仿真模型,采用马尔可夫链蒙特卡罗(MCMC)算法对模型中的未知参数进行估计,并与传统二步法参数估计值进行对比,得到较为精确的系统部件退化可靠性曲线。其次,在分析系统退化可靠性时,利用UGF-GO法对某飞机EWIS结构可靠性进行建模及计算。最后,以某飞机电气线路互联系统为例,结合部件退化可靠性计算结果,评估系统在不同给定阈值下可靠性水平。结果表明:UGF-GO法可有效解决系统退化状态的可靠性分析问题。

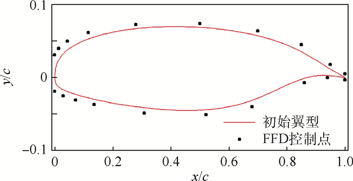
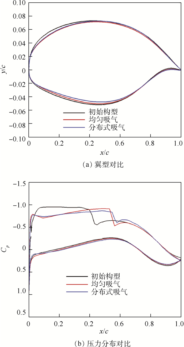
基于能量观点的混合层流优化设计
史亚云, 郭斌, 刘倩, 白俊强, 杨体浩, 卢磊
2019, 45(6): 1162-1174. doi: 10.13700/j.bh.1001-5965.2018.0592
摘要:

为了合理地在混合层流设计中减小阻力,降低能量消耗,利用吸气控制功率消耗与阻力、吸气速度的关系式,建立了考虑以吸气功率最小为优化目标的优化设计方法。该优化设计方法采用了自由变形(FFD)参数化方法,紧支型的径向基函数(RBF)动网格技术,改进的微分进化(DE)算法,以及耦合基于eN转捩预测的RANS流场高精度求解器。针对25°后掠角的跨声速无限展长后掠翼,进行了以阻力最小为优化目标的均匀吸气和以功率消耗最小为优化目标的分布式吸气的混合层流优化设计。优化结果表明,基于能量观点的优化结果在雷诺数10×106下可以达到均匀吸气的阻力收益,相比初始构型,阻力降低了29.1%,上下翼面转捩位置分别推迟了18%和15%弦长,功耗降低了1.7%;而在雷诺数20×106状态下,相比初始构型,阻力减小了41.3%,比均匀吸气阻力优化结果提高了4.5%,上下翼面转捩位置分别推迟了52%和14%弦长,功耗降低了8.14%。优化结果表明,建立的基于能量观点的混合层流优化方法是可行的。

双剪连接件及双耳连接耳片疲劳寿命估算的逐次累计求和算法
陈迪, 李钰, 张亦波, 宋颖刚, 熊峻江
2019, 45(6): 1175-1184. doi: 10.13700/j.bh.1001-5965.2018.0603
摘要:

为了研究复杂连接件疲劳失效机理和估算其裂纹形成和扩展寿命,在双剪连接件和双耳连接耳片疲劳试验的基础上,首先,通过扫描电子显微镜(SEM)分析,研究了其破坏模式和机理,并利用断口定量反推技术判读了疲劳裂纹形成与扩展寿命。然后,根据应力严重系数法,建立了复杂连接件疲劳性能S-N-L(疲劳应力-寿命-应力严重系数)曲面;利用该曲面,发展了复杂连接件疲劳裂纹形成寿命估算算法;基于断裂力学理论,推导出裂纹扩展长度与扩展角度公式,建立了疲劳裂纹扩展寿命估算的累计求和算法。最后,运用寿命估算方法,估算了双剪连接件的疲劳裂纹形成寿命、双剪连接件和双耳连接耳片的裂纹扩展寿命,预测结果与断口判读结果吻合良好。本文寿命估算方法为复杂连接件疲劳定寿提供了理论依据。

隐身飞机敏感性影响因素组合分析
韩欣珉, 尚柏林, 徐浩军, 刘松彬, 杨梓鑫
2019, 45(6): 1185-1194. doi: 10.13700/j.bh.1001-5965.2018.0605
摘要:

针对多因素下的隐身飞机敏感性评估问题,对典型作战场景中隐身飞机敏感性影响因素进行了组合分析研究。首先,建立了基于任务周期的敏感性计算模型;其次,对雷达、红外、射频(RF)和电子干扰等方面敏感性参数进行分析,构建不同因素的计算模型;最后,开展了不同隐身构型下隐身飞机敏感性影响因素的仿真实验。结果表明:多种手段的组合使用可以有效降低隐身飞机敏感性,并在一定参数范围内得到多因素组合下敏感性的影响程度。研究结果对隐身飞机敏感性减缩及方案的设计和改进具有一定参考意义。

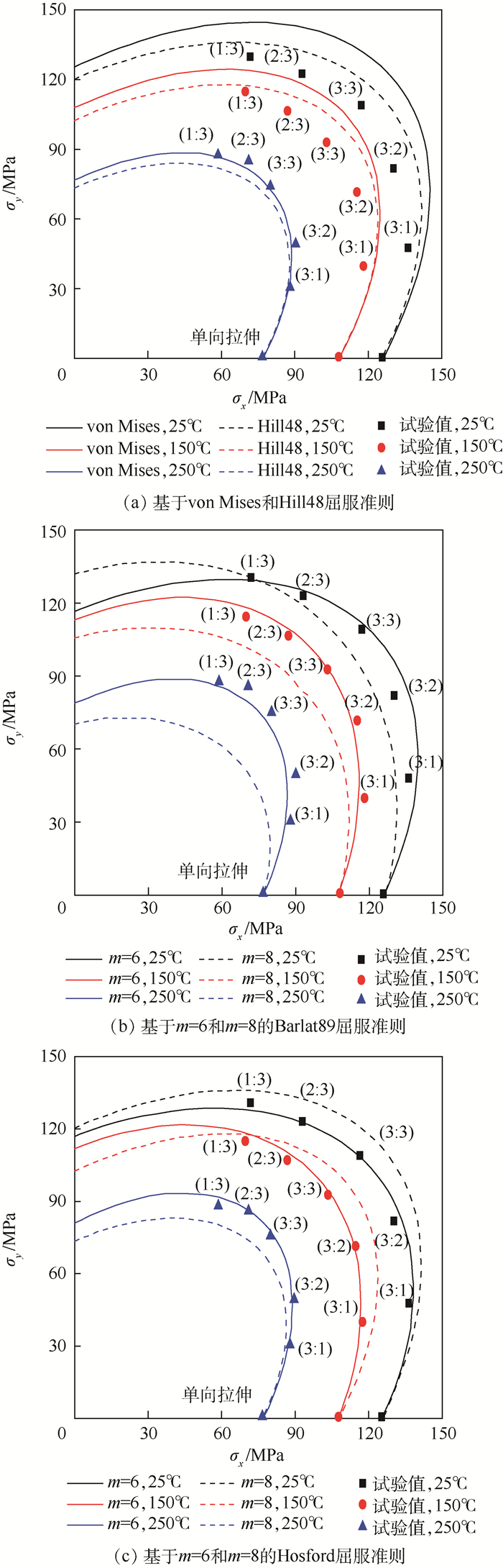
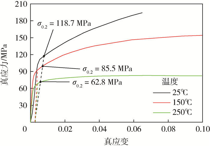
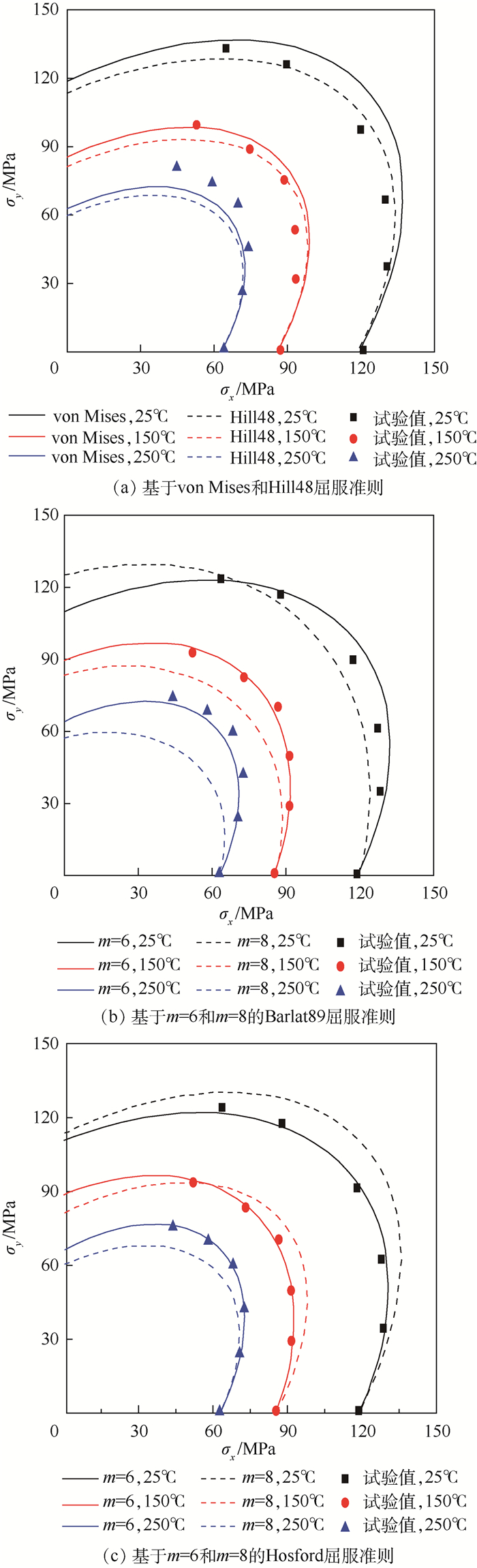
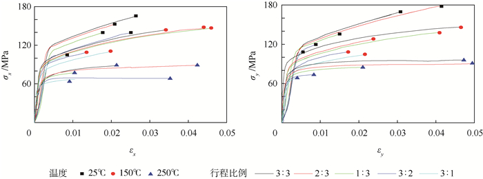
基于双向拉伸的热环境铝合金性能获取和分析
房涛涛, 李晓星, 肖瑞
2019, 45(6): 1195-1202. doi: 10.13700/j.bh.1001-5965.2018.0625
摘要:

板材成形加工时通常承受复杂载荷,一般采用单拉试验获取材料性能,由于材料变形时仅承受单向载荷,与实际情况差距较大。为获取更加真实的复杂加载时材料性能,通过十字形试件双向拉伸试验,研究了热环境双向变比例加载时AA6016铝合金材料力学性能和变形行为,包括优化设计十字形试件、相关试验方法和设备以及结果分析等。在25、150和250℃温度下进行了拉伸速率比例为1:1、3:2、2:3、1:3和3:1的双向拉伸试验和单向拉伸试验,得到了不同拉伸速率比例和温度下的应力应变关系、屈服规律和各向异性,建立了屈服准则,并且通过与试验结果对比,讨论分析了几个典型屈服准则及其适用性。

垂直旋转圆盘边缘液体形态
覃文隆, 樊未军, 石强, 徐汉卿, 张荣春
2019, 45(6): 1203-1210. doi: 10.13700/j.bh.1001-5965.2018.0615
摘要:

为了解重力对旋转圆盘表面液体流动的影响,利用高速摄影,对垂直旋转圆盘边缘液体形态进行了试验研究。结果表明,与水平旋转圆盘边缘液体分为直接液滴、液柱和液膜3种形态不同,垂直旋转圆盘边缘液体分为液柱、液膜和柱膜纠缠3种形态。垂直旋转圆盘底部与顶部液体形态并不一致。底部未出现液膜形态,当流量不大于24 g/s时,为液柱形态;当流量大于等于30 g/s时,为柱膜纠缠形态。当流量为12~21 g/s、转速为1 000~2 100 r/min,顶部出现液膜形态;当流量小于12 g/s时,顶部为液柱形态;当流量大于12 g/s时,液柱形态消失,由柱膜纠缠形态取代。由于重力影响,垂直旋转圆盘边缘液体形态变化程度远大于水平旋转圆盘;在流量大到一定程度后,圆盘底部形成液柱形态需要的转速会大大增加。

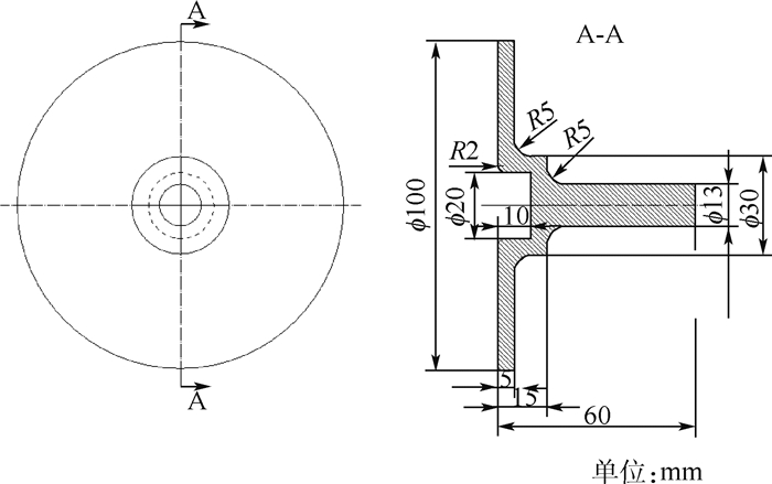
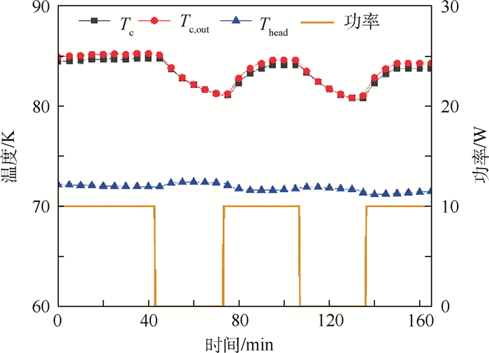
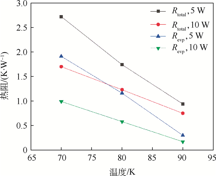
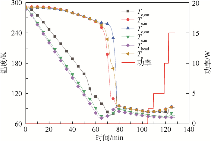
液氮温区平板蒸发器环路热管实验研究
张畅, 谢荣建, 张添, 鲁得浦, 吴亦农, 洪芳军
2019, 45(6): 1211-1217. doi: 10.13700/j.bh.1001-5965.2018.0623
摘要:

深低温环路热管是一种高效的深低温两相传热器件,未来可广泛应用于红外探测等空间项目的低温热控系统。为有效减小热管与热负荷间的接触热阻及热管的背向漏热,采用氧化锆作为毛细芯材料,研发了氮工质平板蒸发器环路热管,重点研究了热管的自启动特性、传热性能以及在间歇性热负荷下的运行情况。结果表明:在无辅助情况下,液氮温区平板蒸发器环路热管自启动性能良好,可依靠工质扩散从室温迅速降温至液氮温区。环路热管能够在70~100 K温区稳定运行,热阻随运行温度和热负荷的上升而减小,最大传热功率为15 W,最小热阻为0.8 K/W。在蒸发器间歇性加热的情况下,环路热管可以保持温度稳定,热响应迅速,无需二次降温。液氮温区平板蒸发器环路热管有效满足了空间低温光学系统的热控制系统的热传输需求。

城市中心区非机动车系统设计优化与探索
张骏, 郑楠, 黄崇轩
2019, 45(6): 1218-1231. doi: 10.13700/j.bh.1001-5965.2018.0577
摘要:

随着社会经济的发展与城市规模的扩张,城市交通需求大幅度增加,自行车和电力驱动非机动车数量急剧增加,与传统非机动车以及机动车的运行冲突显著。因此,探究非机动车系统运行特性,进而设计优化道路设施,建立新形势下安全、高效的绿色非机动车系统十分必要。首先,针对非机动车系统中的主要参与模式,即电动车与自行车之间的冲突以及共用非机动车道空间的局限性,提出了车道分隔设置以及车道平面抬升的核心改善思路;然后,针对非机动车道改善方案定量分析方法的缺失,提出了基于层次分析法和熵理论的定量指标评价体系及计算方法;最后,以焦作市非机动车系统为案例,分析其现状及主要问题,设计并评价改善方案的可行性和合理性。结果显示,某主干路非机动车道经过优化设计,其运行服务质量大幅提升,改善方案行之有效。对城市道路规划和城市道路断面设计以及改善后非机动车道的评价有积极的参考意义。

基于多传感器测量的航天器舱段自动对接位姿调整方法
陈冠宇, 成群林, 张解语, 洪海波, 何军
2019, 45(6): 1232-1239. doi: 10.13700/j.bh.1001-5965.2018.0593
摘要:

针对航天器舱段对接通常采用的手工操作方式效率低、精度差和可靠性难以保证的问题,研发了一种基于多传感器测量的舱段自动对接装置,其中舱体位姿的测量和调整是保证对接质量和效率的关键因素。提出了一种基于激光轮廓传感器和CCD图像传感器等多传感器协同测量的舱段六自由度位姿估计和调整方法。首先,采用激光轮廓传感器对舱体进行扫描,获取位姿三维点云信息,并采用改进的最小二乘法对被测舱段位姿进行求解;然后,通过CCD图像传感器获取舱段对接孔位置,通过圆拟合计算角度偏差,求解和拟合的结果将反馈至控制系统进行调姿和对接。采用Gocator 2350激光轮廓传感器及大恒MER-1810-21U3C工业相机进行舱体测量和对接实验,结果表明,舱体位姿调整精度和效率均达到对接要求。该方法结合了激光轮廓传感器的可靠性和机器视觉的灵活性,有效提高了自动对接系统的效率、稳定性和一致性,足以满足未来军用以及民用的需求。

基于ADMM算法的航空发动机模型预测控制
单睿斌, 李秋红, 何凤林, 冯海龙, 管庭筠
2019, 45(6): 1240-1247. doi: 10.13700/j.bh.1001-5965.2018.0599
摘要:

为了提升航空发动机非线性模型预测控制(MPC)的实时性,将交替方向乘子法(ADMM)应用于模型预测控制的滚动优化中。基于状态空间模型构造预测方程,通过引入辅助变量和对偶变量,将二次型性能指标和发动机约束改写为适合ADMM算法求解的形式。在航空发动机部件级模型上开展的仿真结果表明,基于ADMM算法的单变量模型预测能够实现对指令信号的高性能跟踪和约束的有效管理。相比于内点法(IPM),ADMM算法在滚动优化过程中,在不同控制指令下,均具有更高的实时性,且在预测时域增加的情况下,计算耗时增加更少,验证了其在模型预测控制中应用的有效性。

GNSS-IR双频数据融合的土壤湿度反演方法
荆丽丽, 杨磊, 汉牟田, 洪学宝, 孙波, 梁勇
2019, 45(6): 1248-1255. doi: 10.13700/j.bh.1001-5965.2018.0555
摘要:

目前全球导航卫星系统反射信号干涉测量(GNSS-IR)土壤湿度反演研究仅针对单一频点展开,提出用熵值法将2个频点数据进行融合以改进土壤湿度反演精度。首先,利用频谱分析法分别解析出各频点的信噪比(SNR)序列的振荡频率,计算出对应的等效天线高度,并利用最小二乘法求解各频点信噪比序列相位;然后,通过熵值法进行2个频点的相位观测量融合;最后,利用融合结果与实测土壤湿度建立经验模型,实现土壤湿度反演。利用地基观测实验获得的全球定位系统(GPS)L1和L2信噪比数据对该方法进行了验证,结果表明:L1和L2双频融合反演结果平均标准差为0.6%,比L1单频反演结果提高64.73%,比L2单频反演结果提高32.12%;均方根误差为0.37%,比L1频点降低72.8%,比L2频点降低73.4%。

基于凯恩方程的无人机伞降回收动力学建模与仿真
吴翰, 王正平, 周洲, 王睿
2019, 45(6): 1256-1265. doi: 10.13700/j.bh.1001-5965.2018.0602
摘要:

在无人机的伞降回收过程中,无人机与降落伞一直都处于实时的动平衡状态,两者在伞降回收过程中的耦合关系及其复杂,因此很难建立精准的无人机伞降回收动力学模型。针对该问题,将伞降回收系统划分为降落伞和无人机分别进行处理。针对时变对象降落伞,通过阻力面积随充气时间的变化关系建立其动力学模型。针对无人机,首先,基于多体动力学思路,将其划分为左右机翼和机身的多体系统,通过平板绕流系数优化其伞降过程中的大迎角动力学模型;然后,通过偏速度矩阵将各体的动力学模型引入伞降回收系统质心;最终,基于凯恩方程推导并建立了伞降回收系统六自由度模型,并引入海拔高度和风力对无人机伞降回收的影响。通过数值仿真与实验数据的对比,可以发现两者具有较好的一致性,该动力学模型能够为无人机的伞降回收提供指导。

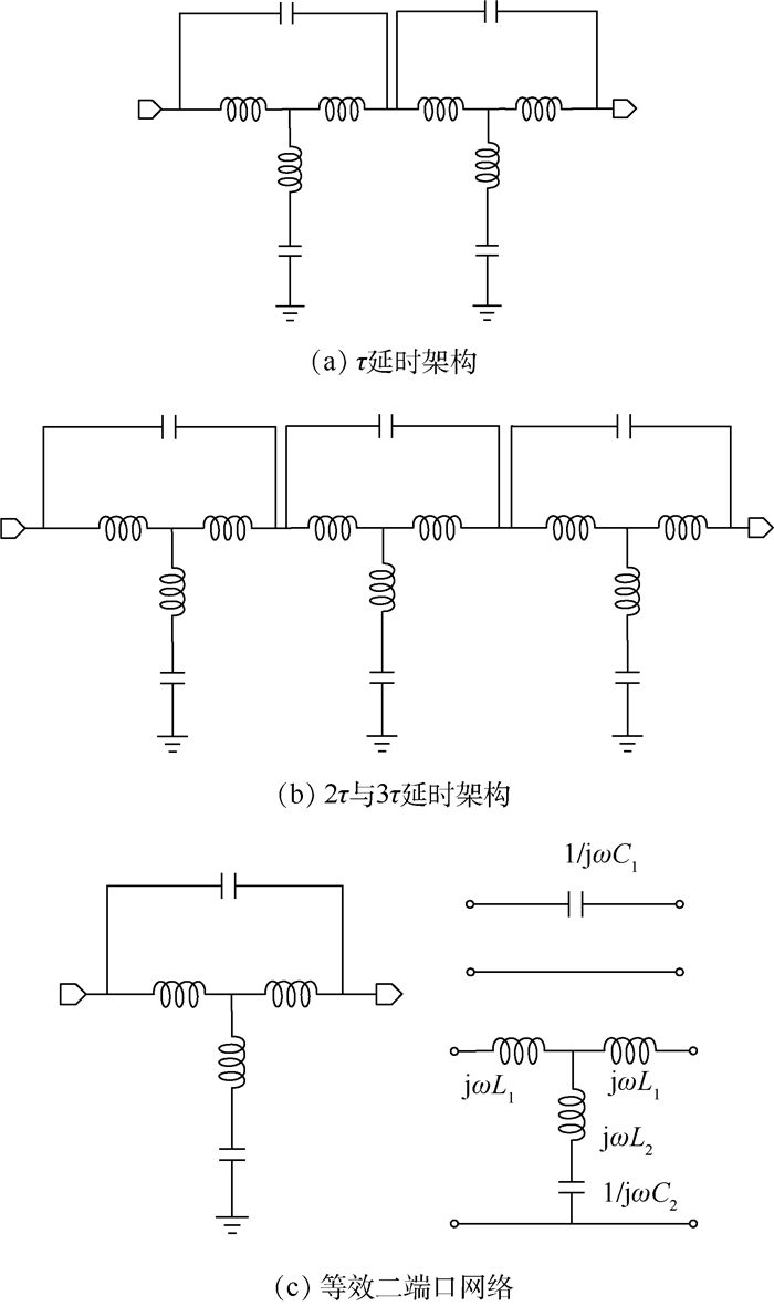
一种新型路径共享真时延波束合成架构的设计
党艳杰, 梁煜, 张为
2019, 45(6): 1266-1272. doi: 10.13700/j.bh.1001-5965.2018.0626
摘要:

为满足宽带天线通信系统多输入多输出的要求,提出了一种新型路径共享真时延波束合成架构。通过真时延单元提供的一定延时差弥补信号到达天线的时间差,合成多路信号来提高输出能力。相比于传统的波束合成架构,该架构通过真时延单元共享,节省芯片面积。该架构具有中心对称性与可扩展性,可支持2M个输入和2K个输出。基于HHNEC 0.18 μm CMOS工艺设计四入四出波束合成器单元,对提出的架构加以验证。仿真结果表明,工作频带为0.5~1.5 GHz,延时分辨率为80 ps、最大延时为720 ps。在天线间距为10.5 cm的情况下,能够提供±43°和±13°四个扫描角度。输入输出回波损耗≤-10 dB,带内整体增益为约26 dB,增益平坦度≤3 dB。版图面积(包括I/O焊盘和ESD)为3.69 mm×3.62 mm。

常见问答