留言板

尊敬的读者、作者、审稿人, 关于本刊的投稿、审稿、编辑和出版的任何问题, 您可以本页添加留言。我们将尽快给您答复。谢谢您的支持!

姓名
邮箱
手机号码
标题
留言内容
验证码

2019年  第45卷  第5期

显示方式:
2019年, 第45卷, 第5期
icon下载 (21691) 934 icon预览
论文
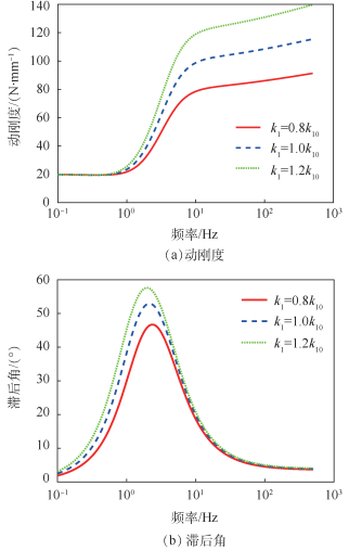
复杂转子系统支点动载荷模型及其优化设计
洪杰, 栗天壤, 倪耀宇, 吕春光, 马艳红
2019, 45(5): 847-854. doi: 10.13700/j.bh.1001-5965.2018.0484
摘要:

针对高推重比涡扇发动机中带中介轴承复杂转子系统的支点动载荷振动响应及优化设计问题,建立了转子系统支点动载荷力学模型,研究在不同转速下,不平衡量、转子弯曲变形及轮盘惯性载荷等因素对支点动载荷的影响。计算分析了双转子系统支点动载荷随转速变化规律,揭示了高速双转子系统中介支点动载荷与转子弯曲变形及轮盘惯性载荷的关系,并提出了基于转子弯曲变形弹性线斜率控制的双转子系统支点振动响应优化设计方法。结果表明,通过优化高压涡轮后轴颈结构、调整低压涡轮后支点靠近中介支点,可以有效减小中介支点动载荷的大小和不平衡量对其影响的敏感度,为具有中介支点的复杂转子系统支点振动响应优化设计提供了理论方法。

高速柔性转子系统动力特性稳健设计方法
洪杰, 杨哲夫, 吕春光, 马艳红
2019, 45(5): 855-862. doi: 10.13700/j.bh.1001-5965.2018.0492
摘要:

高速柔性转子系统为控制其转子变形和多阶临界转速分布,常采用多支点支承方案,而转子-支承结构力学参数的分散性,使得转子动力特性设计成为多变量多目标非确定性优化问题。通过Lagrange法建立柔性转子运动方程,定义罚函数以定量描述多阶临界转速的分布特征,采用区间数学分析方法和遗传算法结合的方式,建立了基于临界转速分布特征优化及连接结构刚度损失控制的转子系统动力特性稳健设计方法。算例表明,通过将多阶临界转速集中于一定转速区间,并控制连接结构弯曲应变能分布比例,可有效减小转子通过多阶临界转速时的振动响应,降低转子动力特性对连接结构受力状态变化的敏感度,提高高速柔性转子系统动力特性的稳健性。

军航飞机流穿越民航航线冲突探测与解脱问题
吴明功, 蒋旭瑞, 温祥西, 陈彬
2019, 45(5): 863-872. doi: 10.13700/j.bh.1001-5965.2018.0504
摘要:

针对军航飞机穿越民航航线的飞行冲突问题,对飞机流汇聚飞行场景进行建模分析,提出了基于滑动窗口的汇聚飞行冲突探测方法和基于合作博弈的多机冲突解脱方法。当飞机流进入预先划设的汇聚控制区,通过滑动窗口判断向前看时间内飞行冲突。基于此,潜在冲突机间组成一个联盟,以解脱边界条件为安全约束,以合作博弈理论中联盟福利最优解均衡各机效益,在保证安全的前提下实现效益均衡。根据最优机动方向特点,利用免疫粒子群优化算法快速求解策略。仿真结果表明,该场景下提出的方法能有效解算出满足要求的解脱策略,并均衡军民航飞机解脱效益。

一种高效的油液磨粒图像自适应分割方法
任松, 徐雪茹, 赵云峰, 王小书
2019, 45(5): 873-882. doi: 10.13700/j.bh.1001-5965.2018.0547
摘要:

为了提高油液磨粒图像的分割效果,优化磨粒自动识别工作的重要环节,提出了一种结合分水岭算法及区域相似度合并的油液磨粒图像自适应分割方法。对于待分割图像,首先通过形态学重构和基于形态学的自适应H-minima技术对梯度图像进行修正,利用分水岭算法完成磨粒图像的一次分割;其次提取分水岭分割后同质区域的Lab颜色特征、局部二值模式(LBP)纹理特征作为区域的量化指标,基于Bhattacharyya系数分别计算区域间的颜色、纹理相似度,设计可以实现权重自适应调整的颜色、纹理特征融合规则,以此来获取同质区域的综合相似度矩阵,实现过分割区域的合并;最后基于统一的后处理算法完成磨粒图像的完整分割。选择60幅磨粒图像对所提方法的分割效果进行测试,结果表明,单幅图像的平均分割速度在12 s左右,分割正确率稳定在90%以上,所提方法避免了用户在分割过程中对图像的交互式处理,较好地平衡了分割效率和分割精度,自适应程度明显提高。

端部带质量和弹簧约束悬臂梁振动响应的解析解
马斌捷, 周书涛, 贾亮, 侯传涛, 荣克林
2019, 45(5): 883-892. doi: 10.13700/j.bh.1001-5965.2018.0482
摘要:

根据端部带质量和弹簧约束悬臂梁的特征值条件,提出了一种特征变换方法,获得了带约束悬臂梁广义质量和振动响应的解析解。通过分析根部弯矩、端部位移、速度和加速度放大系数的变化特征可知,端部弹簧的刚度对静态和一阶载荷响应有明显的影响,减载设计时可以放宽对端部质量的限制,载荷响应分析阶次介于速度和加速度的分析阶次之间。提出的特征变换方法可应用于求解其他载荷分布、边界条件和端部约束悬臂梁的振动响应解析解。

CCD器件用机械泵驱动两相流体回路仿真与试验
赵振明, 孟庆亮, 张焕冬, 赵慧
2019, 45(5): 893-901. doi: 10.13700/j.bh.1001-5965.2018.0519
摘要:

电荷耦合元件(CCD)作为航天光学遥感器的核心部件之一,其工作性能受温度影响很大,传统的热控产品难以满足大功率CCD的精密控温需求。通过仿真与试验系统研究了机械泵驱动两相流体回路(MPTL)用于CCD控温时的启动特性、运行状态、内部工质的流动及传热特性。结果表明:MPTL可以通过干度的调节来吸收冷凝器外热流和CCD工作模式的影响;MPTL的控温精度可以达到±1℃,蒸发器并联支路、蒸发器负载和冷凝器温度在一定范围内变化等均不会对系统运行稳定性产生影响,其仍可将CCD器件控制在所需温度;通过仿真与试验对比,发现仿真模型的误差在±1℃以内,验证了模型的有效性和准确度。MPTL可以很好地满足航天光学遥感器CCD的控温要求,能够保证CCD始终具有较好的温度稳定性和均匀性,且系统具有良好的运行特性和鲁棒性,其在CCD精密控温方面具有很好的应用前景。

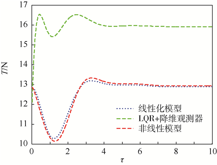
基于矩阵分解的空间系绳系统不完全反馈控制
王长青, 付立春, 扎波罗特诺夫·尤里, 李爱军
2019, 45(5): 902-911. doi: 10.13700/j.bh.1001-5965.2018.0533
摘要:

针对利用空间系绳系统(STS)进行面内捕获过程中系绳展开后状态保持阶段及捕获完成后系统面内运动抑制等问题,在面内角和面内角速率信号丢失情况下,基于矩阵分解采用不完全状态反馈控制方法,设计出能够抑制系绳展开完成后所出现的非标称行为、捕获后面内摆动的张力控制律,进而使系统回稳。将所设计的控制律与线性二次调节器(LQR)+降维观测器方法对比,在参数不确定的条件下检验该控制律的控制效果。仿真结果表明,所设计的控制律在超调量和调节时间上优于LQR+降维观测器方法,能够有效控制系绳的展开误差及捕获过程所带来的面内扰动。所设计的控制律结构简单,控制效果良好,且设计过程无需参数调整。

基于状态量扩维的旋转式捷联惯导系统精对准方法
叶文, 翟风光, 蔡晨光, 李建利
2019, 45(5): 912-918. doi: 10.13700/j.bh.1001-5965.2018.0545
摘要:

初始对准是旋转式捷联惯导系统(SINS)的关键技术之一。传统旋转式捷联惯导精对准方法多采用10维模型,该模型的精对准精度不能满足导航精度要求。针对此问题,提出了一种基于状态量扩维的旋转式捷联惯导系统精对准方法。首先,将陀螺和加速度计标度因数误差、安装误差扩展为状态变量,建立了28维的精对准模型;然后,对旋转过程中各状态量的可观测度进行分析,根据分析结果将模型优化为13维;最后,采用卡尔曼滤波实现了旋转式捷联惯导系统的精对准。仿真结果表明,与传统初始对准方法相比,该方法能有效提高姿态对准精度,并估计出更多陀螺误差项。

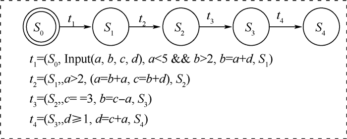
基于无关变量分离的EFSM测试数据进化生成
潘雄, 郝帅, 苑政国, 宋凝芳
2019, 45(5): 919-929. doi: 10.13700/j.bh.1001-5965.2018.0531
摘要:

扩展有限状态机(EFSM)相比于有限状态机(FSM)能够更加精确地刻画系统的动态行为,因而广泛作为各种控制流与数据流系统的测试模型。在EFSM模型的测试中,使用搜索的方法获得触发目标测试路径的测试数据是近年来的一个研究热点。为进一步提高搜索效率,在遗传算法(GA)的基础上提出一种自动分离测试路径中无关输入变量的方法,该方法通过分析模型中变量与迁移间的关系,判定不影响子路径中谓词条件的无关输入变量,进而从个体中将其分离以实现搜索空间的自动缩减,提升测试数据生成效率。对几种具有不同复杂度的基准EFSM模型进行实验后的结果表明,该方法生成有效测试数据的成功率均达到98.2%以上,且与未分离输入变量的遗传算法相比,所需平均迭代次数减少44.7%~85.9%,平均运行时间减少24.1%~85.5%。

一种面向模块化可重构机翼的分步补偿优化方法
罗利龙, 王立凯, 聂小华
2019, 45(5): 930-935. doi: 10.13700/j.bh.1001-5965.2018.0510
摘要:

针对模块化可重构机翼结构的优化设计问题,以沿展向分布的3个翼段模块为研究对象,研究了不同翼展方案机翼的载荷相关性,通过在优化迭代过程中自动调整设计空间,解决了模块化可重构机翼优化设计时复杂的变量-约束耦合影响问题,建立了适用于模块化可重构机翼结构的分步补偿优化方法。以某无人机模块化可重构机翼结构优化设计问题为例,建立了优化模型,并分别采用所提分步补偿优化方法和传统单方案优化方法进行了优化设计。结果表明:所提方法能够稳定收敛,与单方案优化结果相比较,所提方法以较小的重量代价满足了3种重构方案的所有设计要求,且优化结果具有较好的工程实用性。

高空太阳能无人机三维航迹优化
王少奇, 马东立, 杨穆清, 张良
2019, 45(5): 936-943. doi: 10.13700/j.bh.1001-5965.2018.0511
摘要:

为提升高空太阳能无人机的飞行性能和载荷能力,综合考虑无人机运动状态和能量获取、存储、消耗之间的耦合关系,建立了三维航迹优化模型。采用高斯伪谱法在离散点上近似状态变量和控制变量,且在一系列配点上满足动力学方程的约束,将最优控制问题转化为非线性规划问题。针对典型的点到点飞行任务开展了航迹优化,并与常规定高定速航迹进行了对比。结果表明:通过调整飞行姿态,可以使高空太阳能无人机的净吸收能量提高9.2%;综合调整飞行姿态和改变飞行高度两种措施可以获得更大的能量优势,使储能电池剩余电量提高18.8%。

基于多子块协同单尺度Retinex的浓雾图像增强
高原原, 胡海苗
2019, 45(5): 944-951. doi: 10.13700/j.bh.1001-5965.2018.0528
摘要:

针对现有算法增强雾气分布不均匀的浓雾图像效果不理想的问题,提出了一种基于多子块协同单尺度Retinex的浓雾图像增强算法。该算法不同于传统的利用全局统计量获取动态截断值的Retinex算法,首先将图像划分为多个子块,计算出适合不同浓度雾气的动态截断值;然后,利用动态截断值对高频细节信息进行动态范围调整,得到多幅局部最优的图像;最后,融合多幅局部最优图像生成高质量的结果,从而实现浓雾图像每个区域细节的增强。实验结果表明,所提算法能够有效去除不均匀浓雾,并保证去雾后图像的亮度保持在适合人眼观察的范围。

基于FFS故障行为模型的等效故障注入方法
邱文昊, 黄考利, 连光耀, 张西山
2019, 45(5): 952-960. doi: 10.13700/j.bh.1001-5965.2018.0486
摘要:

针对测试性验证试验中部分故障模式不可注入,或注入后易导致装备出现不可修复的损坏等问题,提出了基于“故障模式-功能-状态”(FFS)故障行为模型的等效故障注入方法。首先,对FFS总体建模思路进行了描述,提出将“功能”作为基本建模要素,在分析装备自身多元建模信息的基础上,建立了故障行为模型。其次,对各相关矩阵和行为状态向量进行了定义,研究了故障模式、功能、状态间的不确定信息表征方法,提出了故障模式-状态相关矩阵的求解方法。最后,给出了等效故障模式的定义和基于FFS故障行为模型的等效故障注入流程。将所提方法应用于某装备发射控制系统,结果表明,所提方法能够实现等效故障注入,故障注入率提高约16.7%。

LPV模型的动态压缩测量辨识算法
邱棚, 李鸣谦, 姚旭日, 翟光杰, 王雪艳
2019, 45(5): 961-969. doi: 10.13700/j.bh.1001-5965.2018.0487
摘要:

在解决线性参变(LPV)模型的辨识问题上,最小二乘算法以结构简单、计算复杂度低等优点被大量使用。但最小二乘算法辨识结果受制于计算精度和模型近似精度,而这两者在同一个系统中是互斥的。因此,该算法的辨识结果与真值总是存在一定的误差。另外,在高阶LPV模型辨识或采样成本高的情况下,一般模型参数要多于辨识数据,而此时最小二乘算法很难得到稳定的辨识结果。本文提出的动态压缩测量辨识(DCMI)算法从两个方面提高在该情况下的系统辨识精度。其一,利用“匀速变化”及“非匀速变化”模型表示参变函数,以提高模型近似精度。其二,利用压缩感知理论的欠采样能力,在同等数据量的情况下提高参数的计算精度、扩大模型的计算规模。仿真结果表明,基于“匀速变化”模型DCMI算法可以准确地辨识出LPV函数,而且该算法在辨识数据不足的情况下仍然能够获得稳定的辨识结果。

基于硬脂酸复合相变材料的被动热沉性能
赵亮, 邢玉明, 刘鑫, 罗叶刚, 芮州峰
2019, 45(5): 970-979. doi: 10.13700/j.bh.1001-5965.2018.0513
摘要:

固液相变储能材料的被动热沉广泛应用于航空航天及军事装备领域。针对高热流密度电子芯片的被动温控问题,对比实验验证了单温度和双温度2种数值模拟方法对基于泡沫铜/硬脂酸复合相变材料被动热沉控温过程模拟的准确性。结合基于Maxwell-Garnett模型的EMT建立了石墨烯纳米片/硬脂酸复合相变材料物性,采用更为精确的双温度数值模拟方法分析了不同导热强化方式的控温效果,并研究了环境温度对热沉控温效果的影响。结果表明:高热流密度下的相变温控过程采用双温度数值模拟更为精确;当导热增强体的体积组分相同时,提高泡沫金属的孔密度对相变温控效果提升有限,而同时采用泡沫金属与石墨烯纳米片能更有效改善相变控温效果;环境温度的剧烈变化对温控时间和控温温度均能产生影响。

基于智能优化算法和有限元法的多线圈均匀磁场优化设计
吕志峰, 张金生, 王仕成, 赵欣, 李婷
2019, 45(5): 980-988. doi: 10.13700/j.bh.1001-5965.2018.0524
摘要:

针对多线圈均匀磁场优化设计中的高阶求导及优化结果可信度评估问题,提出一种基于智能优化算法和有限元法相结合的多线圈均匀磁场优化设计方法。首先,确定待优化参数,并以磁场偏差率作为目标函数;然后,采用智能优化算法对目标函数进行寻优;最后,基于优化得到的结构参数,建立相应的有限元仿真模型,检验优化结果的可信度。以2组亥姆霍兹线圈的结构参数优化为例,仿真结果表明,本文方法求得的最优参数优于传统的求导方法寻优得到的参数,且经过有限元法检验后,该优化结果的可信度得到了确认。

进气道结构对固体冲压发动机补燃室燃烧及内壁流场的影响
王金金, 查柏林, 张炜, 惠哲, 苏庆东, 何齐
2019, 45(5): 989-998. doi: 10.13700/j.bh.1001-5965.2018.0525
摘要:

为研究进气道结构对固体冲压发动机补燃室燃烧及内壁烧蚀的影响,采用标准k-ε湍流模型,单步涡耗散燃烧模型与KING硼粒子点火燃烧模型,开展了双下侧90°进气结构和双侧180°进气结构固体冲压发动机补燃室内燃气燃烧数值模拟,对比分析了补燃室燃气燃烧流场特征和内壁烧蚀环境特征。结果表明:双侧180°进气结构在补燃室中形成大漩涡,有利于燃气与空气的掺混燃烧,至补燃室出口位置,总燃烧效率超过90%,且该结构有效减少了粒子对内壁的冲刷侵蚀;在双下侧90°进气结构补燃室中,凝聚相粒子和燃气贴近补燃室一侧运动,导致氧气浓度和温度分布不均,不利于燃气的掺混燃烧,总燃烧效率为74%,在远离补燃室进气道一侧形成高温热烧蚀、高浓度粒子侵蚀、高速射流冲刷和热应力集中的综合破坏;双侧180°进气结构的固体冲压发动机补燃室总体性能优于双下侧90°进气结构的冲压发动机补燃室。

卫星微振动液阻隔振器建模与试验研究
刘巧斌, 史文库, 柯俊, 陈志勇, 曹飞, 闵海涛
2019, 45(5): 999-1007. doi: 10.13700/j.bh.1001-5965.2018.0534
摘要:

卫星微振动隔振器建模是进一步整星振动仿真、优化和控制的基础。针对五参数分数阶导数模型无法描述液体阻尼式卫星隔振器幅变特性的缺点,根据试验数据,分别对各位移振幅激励下的隔振器的动特性曲线进行参数识别,根据参数识别结果,对五参数分数阶导数模型进行幅值相关性修正,引入幅变因子。由仿真结果与试验结果的对比可知,引入了幅变因子的分数阶导数模型可以很好地预测隔振器的幅变特性。在提出的改进型分数阶导数模型的基础上,进行了模型参数影响分析。所提出的建模方法可为微振动隔振器的设计和分析提供参考。

基于平流层风场预测的浮空器轨迹控制
李魁, 邓小龙, 杨希祥, 侯中喜
2019, 45(5): 1008-1018. doi: 10.13700/j.bh.1001-5965.2018.0538
摘要:

平流层风场环境对浮空器设计和轨迹控制具有重要影响。针对平流层风场建模,以长沙地区2005—2010年的风场数据为例,首先采用本征正交分解(POD)方法对风场数据进行降阶处理;然后分别采用Fourier级数与BP神经网络算法对平流层风场进行预测,并对2种模型的预测精度进行比较分析;最后通过建立临近空间浮空器的动力学模型和高度调控模型,分析2种风场预测模型对浮空器轨迹控制的影响。研究结果表明,相对于Fourier预测模型,基于BP神经网络预测模型的预测精度更高,可信度更强,能够更好地为浮空器飞行轨迹控制提供参考价值。

航空替代燃料低温点火关键物质研究
臧雪静, 周冠宇, 杨晓奕
2019, 45(5): 1019-1025. doi: 10.13700/j.bh.1001-5965.2018.0559
摘要:

液体燃料低温条件下挥发的燃油组分对于点火启动有显著影响。通过对航空煤油RP-3和煤基费托F-T燃料低温条件气相组分分析,得到了-40℃到15℃燃料挥发组分及含量分布规律,确定低温条件发动机点火关键物质并进行点火边界测试及分析。通过加入轻烃物质煤基费托燃料点火性能有显著提高作用,其改善顺序为环烷烃最优,其次是支链烷烃,直链烷烃。对航空替代燃料应用于发动机低温冷启动及高空再点火过程有一定指导意义。

圆弧翼型跨声速流动的动态模态分析
胡万林, 于剑, 刘宏康, 阎超
2019, 45(5): 1026-1032. doi: 10.13700/j.bh.1001-5965.2018.0468
摘要:

跨声速翼型的激波周期性自激振荡会给机翼结构带来附加的脉动载荷,从而加剧飞行器表面结构的疲劳损伤。使用动态模态分解(DMD)方法研究了跨声速下绕厚度18%的对称双圆弧翼型的压力脉动场,分析了DMD提取的各阶主模态的频率特征、压力脉动的空间分布以及压力脉动随激波振荡的时间演化过程,并使用DMD模态进行流场重构。结果表明,DMD方法能准确捕捉流场各特征频率的模态,第1阶模态是激波抖振的主频,在激波的自激振荡过程中占主导作用,前7阶模态重构的流场损失函数降低至4%以内,误差主要分布于激波间断处。

基于降阶模型的翼型结冰冰形预测方法
刘藤, 李栋, 黄冉冉, 张振辉
2019, 45(5): 1033-1041. doi: 10.13700/j.bh.1001-5965.2018.0474
摘要:

翼型结冰冰形的数值模拟预测通常比较复杂耗时,为了更加快速准确地预测冰形以减少计算资源消耗,建立了基于本征正交分解(POD)和Kriging模型的冰形快速预测方法。利用CFD数值模拟结果来构建样本空间,以飞行迎角为例详述了降阶模型的冰形预测的实现手段,并结合试验设计方法,完成了多参数的结冰冰形快速预测,同时研究了先进的Blind-Kriging模型的相关方法以及对于预测结果的改进。结果表明,降阶模型预测翼型结冰冰形与CFD数值模拟结果吻合较好,表明降阶模型可以快速、精确地应用于翼型结冰冰形预测。

基于MBSE的民用飞机功能架构设计方法
梅芊, 黄丹, 卢艺
2019, 45(5): 1042-1051. doi: 10.13700/j.bh.1001-5965.2018.0494
摘要:

基于模型的系统工程(MBSE)理论越来越广泛地应用于民用飞机设计与功能需求分析领域。研究起始于基于用户需求的自顶向下的民机系统产品顶层用例,辨识相关关键子用例,进一步基于对象用例展开“需求—功能分析”,构建黑盒活动图、顺序图表达实现相关飞机级需求的黑盒功能流,从而明确系统接口和辨识子系统,构建经验证可靠的可进行逻辑仿真的黑盒状态机。在黑盒功能架构的基础上驱动基于人机交互系统模型仿真的民机功能架构“正向设计”过程,对黑盒进行解白,基于建模分析和数值仿真结果,构建实现相关飞机级需求的系统功能白盒架构的“正向设计”。为充分演示上述方法,选择了对民用飞机产品安全性具有关键影响的最后进近着陆场景用例作为案例模型。研究表明,基于MBSE的民用飞机功能架构设计方法充分保证了需求分析和功能架构设计的紧密结合,正向构建了以满足民机产品需求为导向的结构化系统设计方法。

基于切比雪夫混沌映射和生物识别的身份认证方案
董晓露, 黎妹红, 杜晔, 吴倩倩
2019, 45(5): 1052-1058. doi: 10.13700/j.bh.1001-5965.2018.0512
摘要:

云计算中访问控制和安全性是两大问题,且与传统的身份认证存在一定区别。利用切比雪夫多项式的半群特性、混沌特性,提出了一种基于切比雪夫混沌映射和生物识别的口令认证密钥协商方案。用户和服务器首先在云服务提供商(CSP)处进行注册,随后无需CSP的参与即可完成认证,建立会话密钥。安全性分析和性能比较表明,方案满足许多安全因素,如双向认证、用户隐私保护、多因素安全、前向安全性,即使CSP的主密钥被泄露,前向安全性也能确保用户会话密钥的机密性;此外,方案还能抵抗中间人攻击、离线口令猜测攻击和仿冒攻击等,并且支持多服务器环境中用户口令和生物特征的高效变更。

常见问答