留言板

尊敬的读者、作者、审稿人, 关于本刊的投稿、审稿、编辑和出版的任何问题, 您可以本页添加留言。我们将尽快给您答复。谢谢您的支持!

姓名
邮箱
手机号码
标题
留言内容
验证码

当期目录

2025年 第51卷  第10期

显示方式:
2025年, 第51卷, 第10期
icon下载 (38866) 177 icon预览
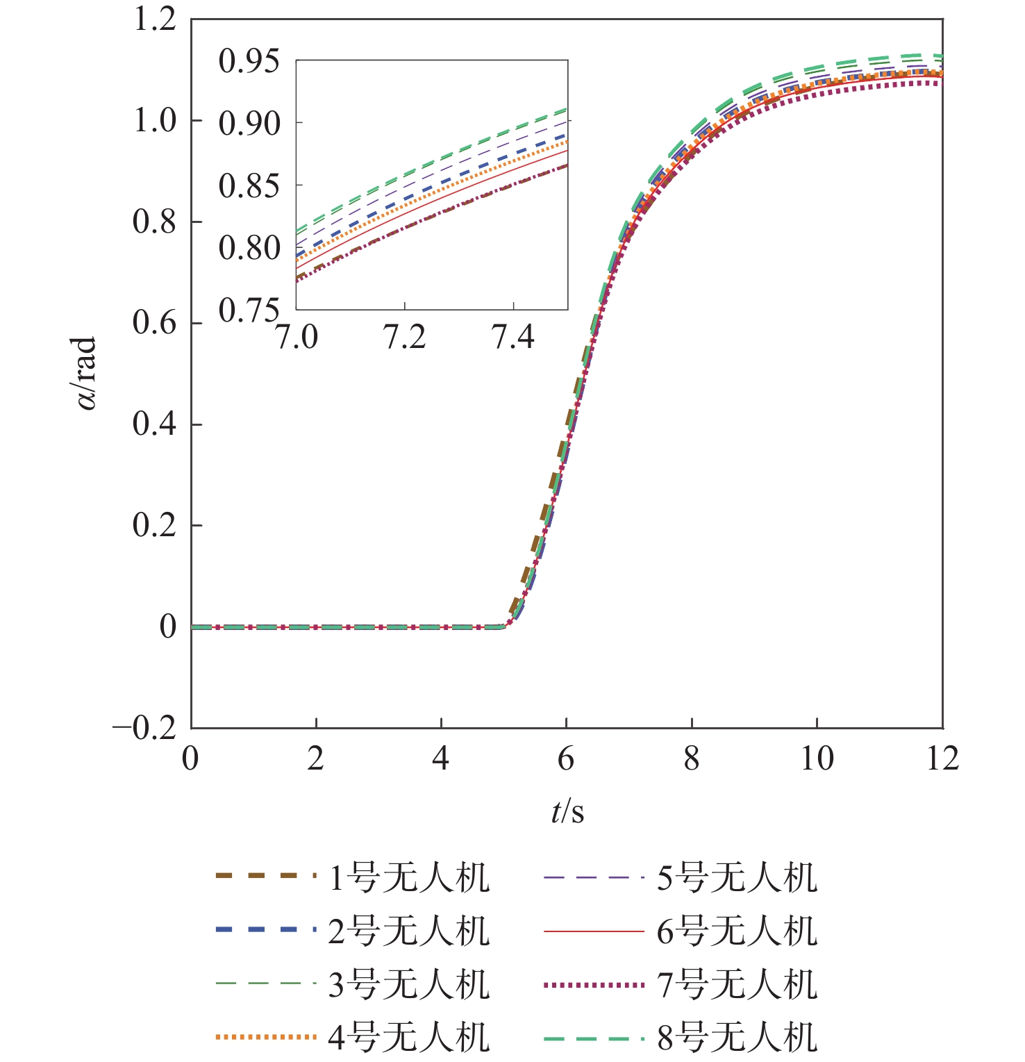
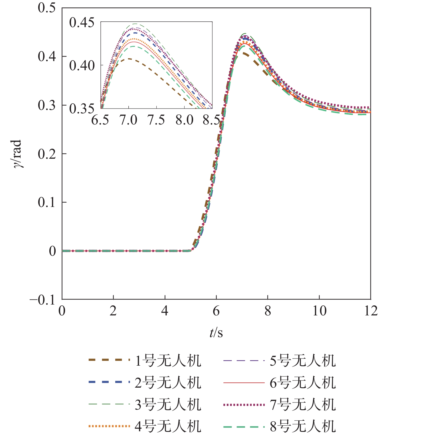
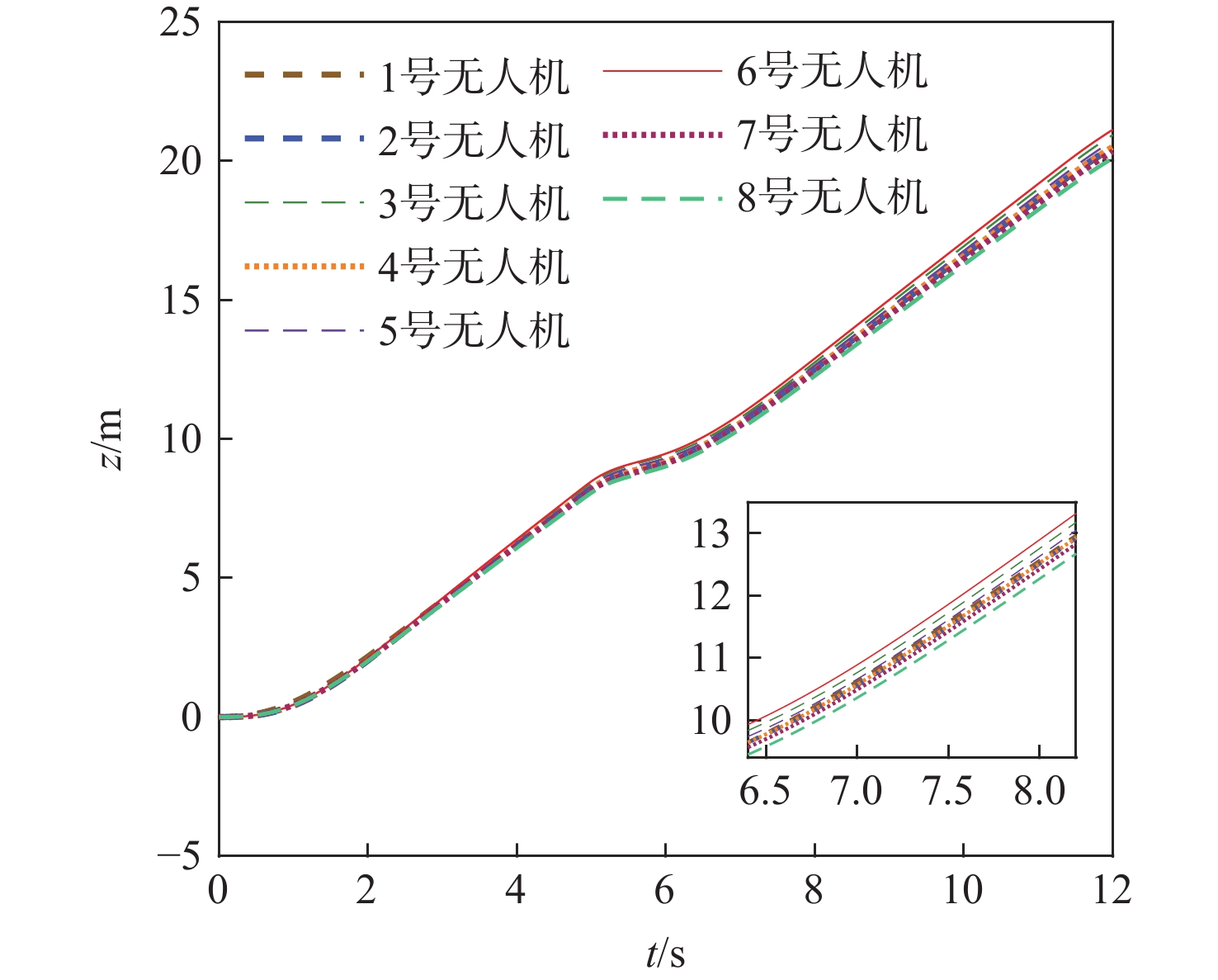
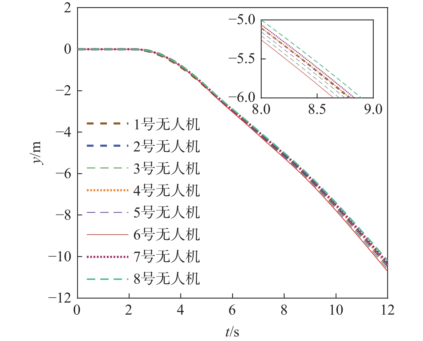
带软时间窗的多调度中心UAV安全运输线路和航迹协同规划
魏明, 孙雅茹, 孙博, 王盛杰
2025, 51(10): 3233-3242. doi: 10.13700/j.bh.1001-5965.2023.0509
摘要:

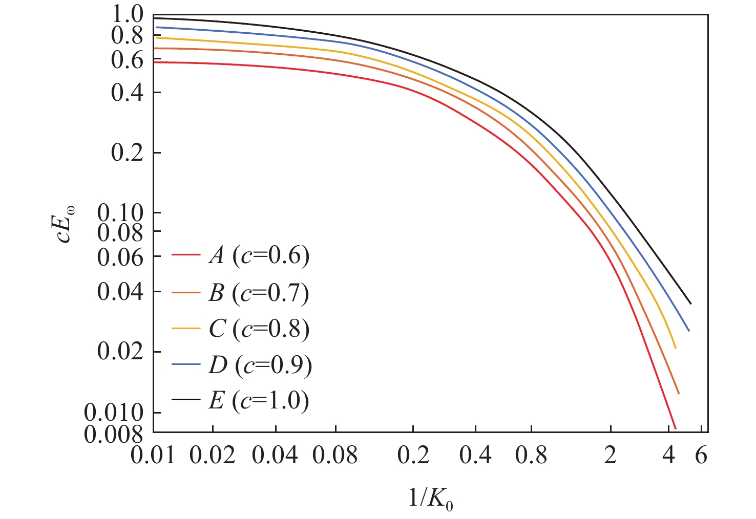
针对面向物流配送的无人机(UAV)运输线路和航迹规划问题,建立了一种协同规划双层模型。上层模型考虑客户时间窗、无人机载重、能耗和路径风险等约束因素,计算无人机的出发时间、调度中心及其访问客户的顺序和调度时间表,实现无人机调度成本最低;下层模型考虑障碍物、无线电干扰与无人机坠落代价等多重安全因素,计算无人机在任意调度中心和客户之间可行的最短飞行航迹。根据问题特征,设计求解该问题的嵌入A*算法和贪婪策略的两阶段深度强化学习(DRL)算法。通过案例计算最佳的无人机运输线路及其航迹规划方案,分析关键参数的变化对调度结果的影响,并与遗传算法(GA)、差分进化(DE)算法及粒子群优化(PSO)算法进行对比,验证所提算法的有效性和正确性。

基于肢体动作预测的动态可变人机协作装配
吴海彬, 宋晨阳, 周世璇
2025, 51(10): 3243-3252. doi: 10.13700/j.bh.1001-5965.2023.0543
摘要:

在复杂的装配领域中,单纯依靠机器人很难完成,进行人机协作装配才能确保装配过程顺利进行,但人机协作过程中,机器人缺乏根据人的不同操作作出响应的能力。针对产品组装过程中存在多种不同的组装方案和顺序的情况,提出一种通过识别和预测操作者肢体动作,使机器人根据操作者不同的选择做出对应配合的装配动作,实现动态可变的人机协作装配方案。利用惯性测量单元(IMU)采集操作者的肢体动作信息,提取惯性测量单元信号特征,为提高识别准确率,提出一种同时利用时域和时频域特征的粒子群优化(PSO)支持向量机(SVM)算法,用于肢体动作识别;同时,提出一种参数可变的隐马尔可夫模型(HMM)实时预测肢体动作序列,在监督训练和零训练状态下,推断出操作者的未来意图,实现装配序列的动态可变性。实验结果表明:在减速器人机协作装配实验中,所提方案肢体动作平均识别率达到96.7%,并且能够有效预测操作者肢体动作,实现装配顺序可变的动态人机协作装配,显著提升了装配系统的适应性,降低了人机协作装配的复杂度。

面向点融合运行的多航空器低碳轨迹协同规划
王超, 李雯清, 孙石磊, 徐晨洋
2025, 51(10): 3253-3261. doi: 10.13700/j.bh.1001-5965.2023.0575
摘要:

为解决在高交通密度终端区实施连续下降运行(CDO)的技术难题,提出一种面向点融合系统(PMS)的多航空器低碳轨迹协同规划方法。分析了基于管制员人工决策的点融合运行的额外碳排放产生机理;以个体航空器低碳4D轨迹为研究对象,建立了一种考虑PMS平飞弧段的CDO多阶段最优控制模型;以总体运行时间最小为目标,考虑进场交通流冲突约束,建立了多航空器CDO 4D轨迹协同规划模型。以实际PMS及航迹数据为例开展验证实验,结果表明:所提方法共减少12.2%的空中飞行时间,降低15.7%的燃油消耗和CO2排放,不仅能给出支持高效运行的航空器排序结果,还能提供达成该排序的可行低碳4D轨迹。

基于FY-3E的星载GNSS-R海面高度反演模型
张云, 鹿麒, 张月维, 秦甘尧, 胡秀清, 杨光林
2025, 51(10): 3262-3272. doi: 10.13700/j.bh.1001-5965.2023.0540
摘要:

海面高度(SSH)在海洋学和气象学等领域中具有重要意义。针对目前缺乏利用中国自主研发风云三号E星(FY-3E)的全球导航卫星掩星探测仪-Ⅱ型(GNOS-Ⅱ)特有的不均匀分布时延-多普勒(DDM)数据实现海面测高研究的问题,采用DDM海面高度反演技术,使用丹麦DTU18模型和海潮模型验证反演精度,综合传统物理模型和机器学习模型,分别对星载北斗导航卫星系统(BDS)和全球定位系统(GPS)反射信号的海面高度反演性能进行评估。结果显示,由于BDS B1Ⅰ信号的码片分辨率高于GPS,使用BDS的物理模型进行全球海面高度反演的最大平均绝对误差(MAE)约为3.0 m,明显优于GPS反演结果(最大MAE约为5.0 m)。通过随机森林(RF)和卷积神经网络(CNN)模型,GPS和BDS均能实现较好的反演结果,最佳MAE均约为0.4 m。与英国TDS-1数据的反演结果相比,GPS反演精度在物理模型上提高约15%,验证了FY-3E GNOS-Ⅱ的全球导航卫星系统反射信号(GNSS-R)遥感数据的有效性。研究成果对于推广国产FY-3E的GNSS-R海面测高应用具有重要意义。

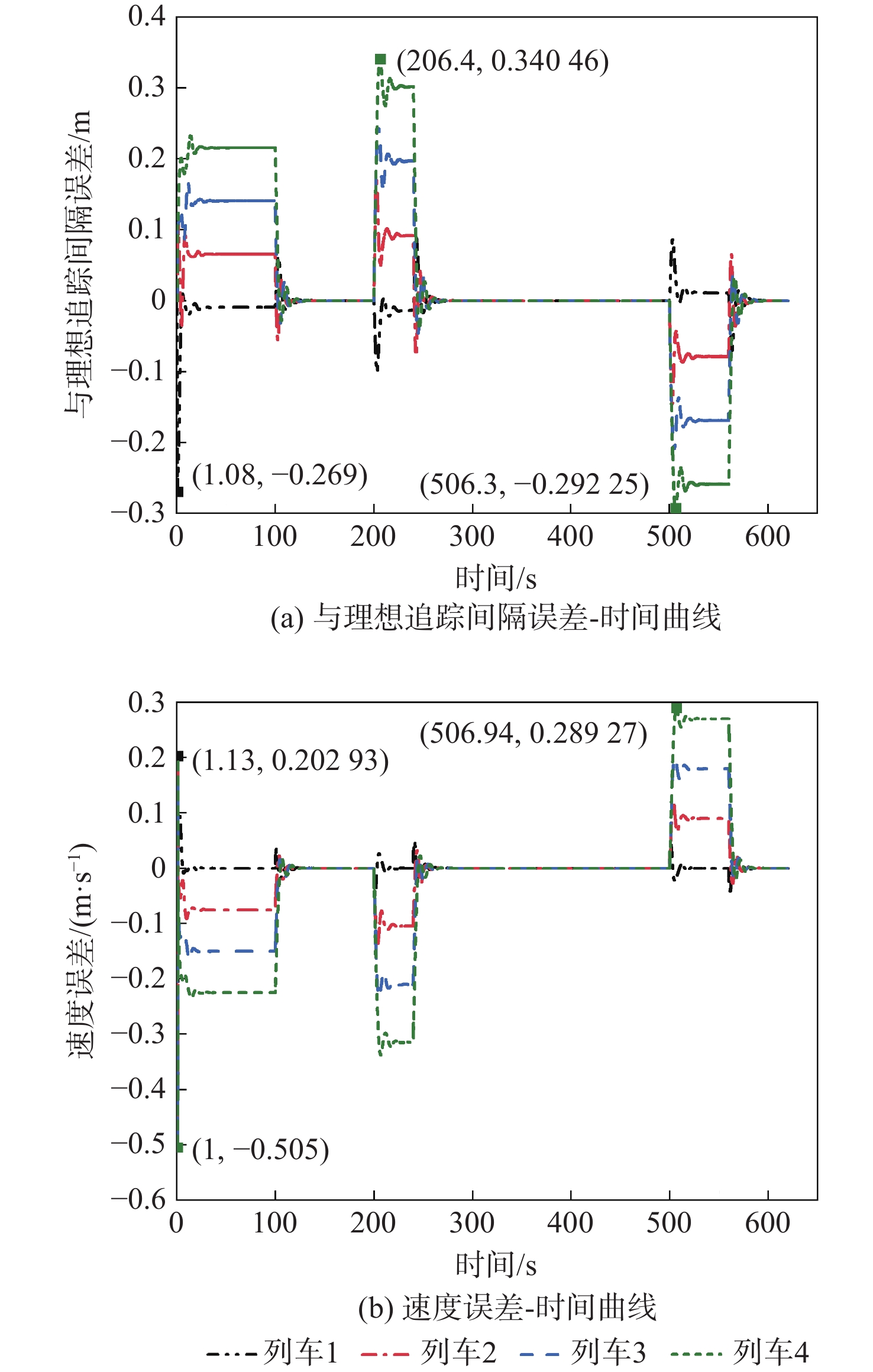
基于人工势场的虚拟编组自适应模型预测控制
林俊亭, 倪铭君
2025, 51(10): 3273-3285. doi: 10.13700/j.bh.1001-5965.2023.0544
摘要:

现今,列车高速度、高密度追踪控制对编队列车运行的安全性提出更高的要求。为满足人们对列车运行过程中自适应性和准确性的需求,提出一种基于人工势场的虚拟编组(VC)自适应模型预测控制(MPC)方法。将VC列车作为研究对象,采用MPC方法建立基于列车平衡态的动力学模型,以控制精度和平稳性、安全性为优化目标,并将基于人工势场设置的防撞函数加入目标函数,从而实现编队的防撞控制;分析不同时域参数对系统控制精度和计算效率的影响作用,设计对应的适应度函数,基于遗传算法(GA)求得不同工况下的最优时域参数组合,并制定时域参数更新策略,在确保列车编组准确控制的同时提高系统的实时性;在MATLAB平台上搭建4列车追踪运行场景,仿真验证所提方法的有效性。结果表明:相较于传统的模型预测控制器,基于人工势场的模型预测控制器在间隔控制上准确度提高了94.8%,可有效避免列车间发生碰撞,保证了列车运行的安全性;另外,采用自适应控制律的控制器可根据列车运行状态对系统进行实时调整,在确保高控制精度的前提下,计算效率提高10%。研究结果验证了所提方法的可行性,提高了控制器的综合控制性能,并为进一步优化编队控制和保障列车安全运行提供参考。

基于子模型的复合材料主承力混杂连接结构失效分析
李星, 黎增山, 邓凡臣, 聂磊, 张田
2025, 51(10): 3286-3298. doi: 10.13700/j.bh.1001-5965.2023.0555
摘要:

以民机复合材料机翼翼根下壁板长桁对接结构为研究对象,通过建立单钉连接三维子模型并考虑材料损伤,分析连接失效机理及非线性载荷-变形关系;通过考虑非线性连接刚度的整体有限元模型,计算试验件非线性钉载分配,并预测破坏载荷。解决了直接建立全尺寸三维模型、考虑损伤等引起的计算效率低、收敛性差等问题。试验结果表明:预测破坏载荷为试验破坏载荷的93.6%,预测破坏模式为单侧多排紧固件同时剪切断裂,与试验破坏模式一致,验证了所提方法的有效性。相比之下,采用线性连接刚度模型预测的破坏载荷为试验破坏载荷的81.9%,预测失效模式为第1排紧固件断裂,预测破坏载荷、预测破坏模式均与试验结果存在较大差异。

点阵结构散热特性及其轻量化评价
胡建军, 窦若尘, 张欣, 姚静, 孔祥东
2025, 51(10): 3299-3306. doi: 10.13700/j.bh.1001-5965.2023.0572
摘要:

航空电静液驱动执行器(EHA)作为航空舵面控制的核心部件,对高功重比的追求要求对其部件进行高效散热与轻量化综合设计。基于此,通过实验方法对4种典型轻量化点阵结构的散热特性进行研究,得到了不同点阵散热模块的温度分布特性,为点阵结构散热与轻量化性能评价提供可靠数据。针对点阵结构散热特性,提出点阵结构散热轻量化系数评价指标,用以定量评估不同散热点阵结构的轻量化特性。根据构建的评价指标对4种点阵结构进行评价,结果表明:OT点阵结构散热性能与轻量化综合特性最优。与翅片结构相比,OT点阵结构散热系数为翅片的1.2倍,但其散热轻量化系数仅约为翅片的1/3。研究结果为综合考虑散热和轻量化要求的点阵结构筛取提供了参考。

多角度偏振成像仪数据校正方法对比与评价
王羿, 孟炳寰, 叶晨, 骆冬根, 姚萍萍, 洪津
2025, 51(10): 3307-3312. doi: 10.13700/j.bh.1001-5965.2023.0527
摘要:

多角度偏振成像仪(DPC)在数据校正过程主要包括本底校正和帧转移校正2部分。光电探测器的图像采集是一个随机抽样的过程,数据校正过程需对抽样结果进行运算,从而引入噪声。结合DPC数据校正过程,主要研究本底校正和帧转移效应校正对信噪比(SNR)的影响,分析2种帧转移效应校正方法的情况,分别对SNR进行建模和仿真,并用大气环境监测卫星DPC实测数据进行验证。结果表明:本底校正和帧转移效应校正均会使噪声增加,降低SNR;本底校正时应选择大于5帧本底探测数据;2种帧转移效应校正方法相比,列总量比例法优于暗行法,最大可以使SNR增加15.8。

复合材料蒙皮搭接结构电气性能分析
杨占刚, 魏宇昊, 石旭东
2025, 51(10): 3313-3323. doi: 10.13700/j.bh.1001-5965.2023.0507
摘要:

现代商业飞机中复合材料的使用率逐步上升,然而较低的电导率限制了其在蒙皮结构中的应用,一般还需搭接额外的导电结构以增强蒙皮内电流的导通性能。为分析复合材料飞机蒙皮电气特性及其影响因素,对蒙皮结构之间的搭接进行建模,并通过建立等效电路分析搭接结构电气特性影响机理。基于所构建的复合材料飞机蒙皮典型搭接结构模型,计算结构件类型、搭接方式对蒙皮电气特性的影响,并分析不同搭接方式受雷电间接效应的影响情况。计算及仿真结果表明:结构件的材质、形状及尺寸对蒙皮电气性能有一定影响,采取恰当的搭接方式可有效减小蒙皮结构阻抗、提升飞机雷电间接效应屏蔽性能。

FAR 25附录C结冰气象探测数据处理方法
张文强, 陈奕屹, 雷国强, 王光雨, 支亚非, 毛雪瑞
2025, 51(10): 3324-3336. doi: 10.13700/j.bh.1001-5965.2023.0569
摘要:

结冰会破坏飞机的气动外形,导致升力下降阻力增加,飞机的操纵性和稳定性下降,严重影响飞行安全。考虑到FAR 25附录C的使用有一定的地区和季节的局限性,同时更多更复杂的结冰环境的发现需要对附录C进行不断地修订,因此,总结和探索气象探测的数据处理方法能够对编制和改进中国的结冰适航审定规章提供指导。介绍附录C的编制背景,总结传统结冰气象探测仪器的测量原理及数据处理方法,重点解释了如何将测量到的气象数据转化为可供查询的包线图;从结冰数据库建立、提升仪器测量精度、无人机防冰3方面给出当前面临的挑战与未来发展趋势,从而为气象探测技术的发展和未来发展方向提供科学的指导。

改进超螺旋滑模自抗扰的PMSM无传感器控制
陈德海, 刘祥, 王海峰
2025, 51(10): 3337-3344. doi: 10.13700/j.bh.1001-5965.2023.0578
摘要:

针对永磁同步电机矢量控制系统中无传感器控制策略的抗扰动动态性能不足的问题。对超螺旋滑模算法(STA)进行研究,提出一种改进超螺旋滑模自抗扰控制(ISTA-ADRC)算法,该算法在原有超螺旋滑模算法的基础上引入改进Sigmoid函数和线性项。相较于传统超螺旋滑模算法,所提算法具有更好的快速性和鲁棒性。将所提算法嵌入自抗扰控制技术中,提出以改进超螺旋滑模自抗扰为核心的无传感器控制策略,提升无传感器控制法的抗扰性能。仿真实验结果表明:所提算法相比于传统的PI、线性自抗扰(LADRC)和滑模自抗扰算法,具有响应速度快、抖振小、抗扰能力强、稳态性能好的优点。

考虑双时间窗特性的机场多车型摆渡车调度优化
张文义, 唐雨拉尔, 王旭兰, 周静, 边可, 刘志硕
2025, 51(10): 3345-3353. doi: 10.13700/j.bh.1001-5965.2023.0579
摘要:

为提升摆渡车运行的灵活性、增强车辆调度方案的能效和实践可操作性,综合考虑多车型和机场摆渡车运输服务的双时间窗特性,从任务点视角构建机场摆渡车调度问题的混合整数线性规划模型。该模型可视为一个考虑多车型和双时间窗且需求可拆分的车辆路径问题,是一个复杂的NP-hard问题,为此,提出一种改进的自适应大邻域搜索(ALNS)算法。以北京首都国际机场东飞行区为背景的案例仿真结果表明:所提算法具有良好的稳定性和优化效果,200次迭代下10轮次计算实验结果的标准差与平均值之比仅为5.6%,优化前后对应的最优目标函数值下降达54%;多车型调度方案显著优于人工和单一车型调度方案,在车辆容量利用能效上较人工、大车型和小车型方案分别提升了98.3%、31.3%和22.2%,在运行总成本上较人工、大车型和小车型方案则分别下降了48.3%、23.4%和23.5%。

双端异步DoS攻击下基于数模联动的ICPS多模态综合安全控制
李亚洁, 李钢, 李炜, 路晨静
2025, 51(10): 3354-3367. doi: 10.13700/j.bh.1001-5965.2024.0818
摘要:

针对一类双端异步拒绝服务(DoS)攻击与执行器故障共存的工业信息物理系统(ICPS),通过将数据驱动技术与模型机理解析方法相融合,对多模态综合安全控制与通讯间的协同设计问题进行研究。设计一种触发阈值可随系统行为动态变化的自适应离散事件触发通讯机制(ADETCS),并构建可同时抵御双端异步DoS攻击与执行器故障的ICPS多模态综合安全控制架构;针对不同能量等级的DoS攻击,采用“分而治之”的思想,借助长短期记忆(LSTM)网络与弹性控制方法,提出基于数模联动的主-被动协同混合容侵策略。基于Lyapunov稳定性理论进行观测器与控制器的推证,进而采用K-Means++聚类算法及模糊融合方法,在线对不同模态下的控制器进行加权融合,实现不同控制模态间的软切换;通过四容水箱实例,验证了双端异步DoS攻击下基于数模联动的多模态综合安全控制方法的正确性。实验结果表明:数模联动的方法增强了ICPS抵御双端异步DoS攻击的能力,多模态综合安全控制器的设计实现了控制模态与ADETCS间的双向自适应协同控制。

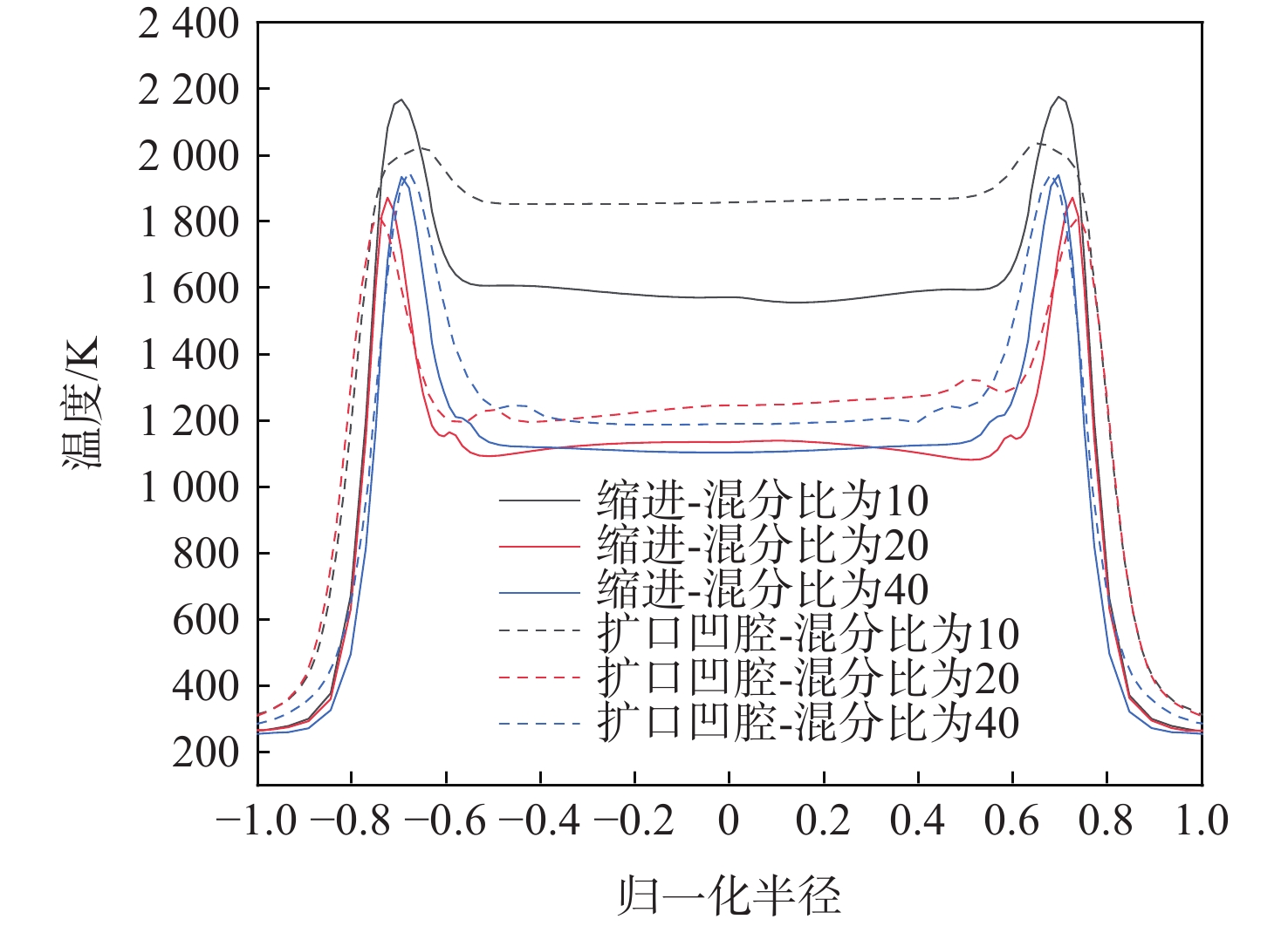
富氧火炬式电点火器出口火焰稳定性研究
杨进慧, 王希杰, 徐世洋, 王晓丽
2025, 51(10): 3368-3373. doi: 10.13700/j.bh.1001-5965.2023.0528
摘要:

富氧火炬式电点火器在低压、宽工况及推进剂入口温度大幅变化等极限工况下存在燃气温度偏低、不均匀及出口流速过快等火焰不稳定性现象。基于此,采用试验仿真方法研究了富氧火炬式电点火器缩进、扩口、扩口凹腔3种火焰稳定结构对出口火焰稳定性的影响。扩口凹腔结构将中心燃气向壁面引流,降低掺混区内流速延长燃气停留时间,并在凹腔结构内形成回流区促进补燃。极限工况下,相较于缩进结构,扩口凹腔结构火焰出口中心燃气温度下限由1 000 K提升至1 200 K,与设计工况温度差由高于100 K降至50 K以内,出口马赫数由1.4降至声速,有效提升了点火器的出口火焰稳定性。

CAD/CAM模型驱动的型腔特征自适应数控工艺设计方法
徐昌鸿, 黄瑞, 张树生, 梁嘉宸, 卞荣
2025, 51(10): 3374-3384. doi: 10.13700/j.bh.1001-5965.2023.0564
摘要:

为实现对已有数控(NC)工艺设计成果的有效重用,提出一种计算机辅助设计/计算机辅助制造(CAD/CAM)模型驱动的型腔特征自适应数控工艺设计方法。基于中轴变换(MAT)提取型腔特征三维CAD模型中隐藏的高层次数控工艺信息,有效表征刀具切削过程;针对已有特征实例进行可重用性分析,构建一个融合多属性数控工艺要素的特征相似性评价模型;基于检索返回的相似特征实例,自适应重用其关联的CAM模型工艺参数生成新特征的数控工艺。实验结果表明:所提方法能够自动、高效地获得特征数控工艺,提升工艺设计效率85%以上,满足企业工艺设计智能化的工程需求。

基于PIV的冲压发动机喷管推力的重构测量方法
刘顺, 孔祥瑞, 徐惊雷, 高波, 刘海龙
2025, 51(10): 3385-3391. doi: 10.13700/j.bh.1001-5965.2023.0535
摘要:

冲压发动机喷管推力系数的准确测量十分重要。传统的测力天平受环境噪声等外界因素的影响较大,因此,考虑通过测量喷管出口截面的速度、压力和密度分布,直接根据定义获得推力系数。以典型过膨胀状态下单边膨胀喷管的复杂超声速内流场为研究对象,提出一套基于粒子图像测速(PIV)的多物理场和推力系数的非接触式重构测量方法。通过PIV虚拟实验,综合评估了所提方法的理论精度。结果表明:基于PIV测得的多物理场,利用定义式直接测得的喷管推力系数约为0.779,相比于参考值0.771,相对误差仅为1.04%,从而验证了所提方法的可行性和准确性。

同质竞争下补贴策略对多机场航线网络演化博弈
吴维, 林芷伊, 王兴隆
2025, 51(10): 3392-3404. doi: 10.13700/j.bh.1001-5965.2024.0477
摘要:

为实现区域内多机场基于差异化定位的高质量协同发展,研究机场差异化补贴策略对多机场航线网络演化影响,进而确定最佳补贴策略。基于旅客、航司、机场间的竞争博弈关系,构建了双层演化博弈模型。在上层博弈模型中,考虑旅客自学能力对票价的影响,构建融合自学习机制的Logit旅客选择模型,利用Hotelling定价模型分析同一航线航司间票价竞争对旅客选择行为的影响,进而确定在竞争条件下航司最佳定价策略;在下层博弈模型中,基于复制动态方程分析各机场补贴与航司间竞争性选择航线优化过程,确定机场间协同补贴策略与航线网络协同效果。结果表明:对于转移航线的航司,吸引“渗流”旅客的优势票价折扣区间为0.6~0.75;同航线竞争的航司票价折扣集中在0.6~0.85之间,可避免出现低价竞争带来的收益共损;通过机场差异化补贴实现航线网络优化,不同机场均存在基于差异化功能定位的最佳补贴区间。

基于高精度算法的二级轻气炮性能分析
项高翔, 伍佳豪, 吴梦佳
2025, 51(10): 3405-3414. doi: 10.13700/j.bh.1001-5965.2023.0580
摘要:

针对超高速发射技术中弹丸速度与能量转换效率的优化问题,采用经典内弹道模型对一维非定常可压缩流动下药室内火药燃烧状态、活塞运动和气室内气体流动状态、弹丸运动进行研究。药室部分通过四阶Runge-Kutta算法求解,气室部分求解Euler方程并采用WENO格式进行高精度激波捕捉。分别对不同初始注气条件、气室尺寸、发射管尺寸、火药质量下的二级轻气炮进行数值模拟,得到相关参数对轻气炮性能影响规律。研究发现:泵管内轻质气体能明显提高轻气炮的性能,气室尺寸、管径及长度对活塞底部压力和速度影响较大,但对弹丸速度影响较小;增加火药质量、发射管尺寸及管径可显著增大弹丸出膛速度;为新型二级轻气炮的设计制造提供重要理论和数据支撑。

火箭推进剂连接器在脉动风载下非合作自动对接策略
李泳峄, 王南, 吴新跃, 吴鹏辉, 姚博丹
2025, 51(10): 3415-3423. doi: 10.13700/j.bh.1001-5965.2023.0506
摘要:

为解决运载火箭推进剂连接器在脉动风载激励干扰下与箭上接口的动态非合作自动对接问题,提高自动对接系统鲁棒性及响应速度。分析连接器自动对接任务剖面,制定了由检测、控制、位姿调整单元等组成的技术路线;分析脐带臂风载激励响应特性,获得了平均风速分别为10 m/s、15 m/s、20 m/s脉动风载激励下脐带臂的摆动情况;通过自动对接仿真模型开展常规PID、PID+干扰观测器、分段PID+干扰观测器控制策略仿真对比分析,搭建自动对接联合试验系统,进行控制策略验证,成功完成了自动对接全流程试验。结果表明:分段PID+干扰观测器控制策略能有效降低脉动风载激励下脐带臂摆动对自动对接的干扰影响,跟踪性能改善效果明显,对接可靠,各工况下对接跟踪误差均在±38 mm以内,完成对接时间不超过3 min。

基于LSTM和海图约束的舰船航迹预测方法
赵汝健, 杨威, 巫震宇, 曾虹程, 陈杰, 马雷
2025, 51(10): 3424-3432. doi: 10.13700/j.bh.1001-5965.2023.0516
摘要:

针对现有方法对舰船航迹尤其是对具有点位稀疏、灵活机动特征的军用舰船进行预测时,航迹特征提取不完整、预测准确性与可靠性不理想的情况,综合考虑航迹的多维度特性、航迹间关联特征及舰船海上航行海图约束(NCC)等,基于船舶自动识别系统(AIS)数据提出一种改进的长短期记忆(LSTM)人工神经网络舰船位置预测方法。针对军用舰船航迹特点,预测时将历史航迹通过三次样条插值的方法生成等间隔点位数据;通过航行区域地图栅格化处理,定义可通航栅格,建立海图约束来提升预测效果。基于LSTM设计网络时,通过设置自定义损失函数、预测点位进行栅格匹配等方法将海图约束融入模型训练和预测过程。基于南海海域AIS数据的仿真实验结果表明:所构建的网络可以有效地预测舰船航迹,尤其是对于具有高度机动性的军用舰船。与传统预测方法相比,所提方法在预测准确性和预测可靠性2个方面均有所改善。

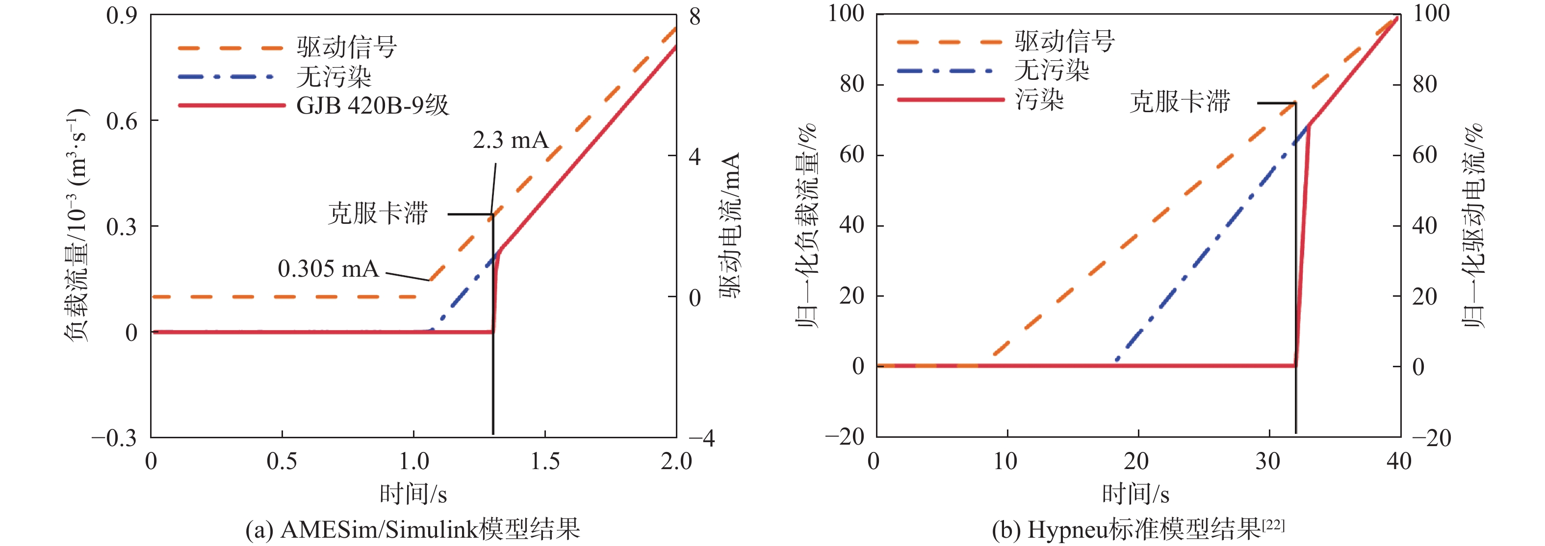
基于OMEGA理论的燃油计量装置污染卡滞特性分析
李文强, 王彬, 杨军杰, 李柯柯, 叶志锋
2025, 51(10): 3433-3442. doi: 10.13700/j.bh.1001-5965.2023.0510
摘要:

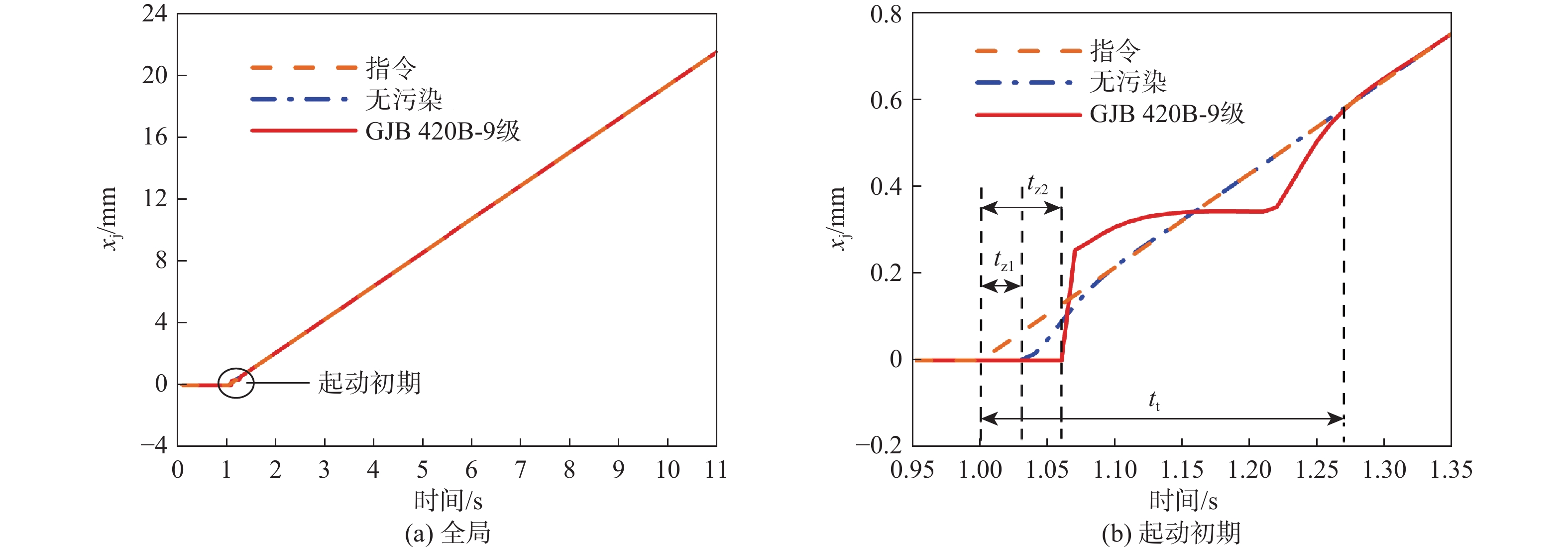
为获得燃油中污染颗粒对燃油计量装置(FMU)工作特性影响的定量规律,并探索一种面向非标燃油部件污染卡滞特性的分析方法,基于OMEGA理论将污染颗粒对燃油部件的作用转化为卡滞力,建立了燃油污染工况下燃油部件和装置的动力学模型。开展了固体污染度等级为GJB 420B-7/8/9级时FMU的工作特性仿真,获得了各等级燃油对其关键部件性能的影响规律。结果表明:所建电液伺服阀污染卡滞模型获得的负载流量响应与标准电液伺服阀污染卡滞模型的结果基本吻合,GJB 420B-9级燃油中计量活门最大卡滞力约140 N,响应时间为无污染时的2倍以上,计量流量最大相对误差增加4倍以上。所提方法可为非标燃油部件和系统的污染卡滞建模提供参考。

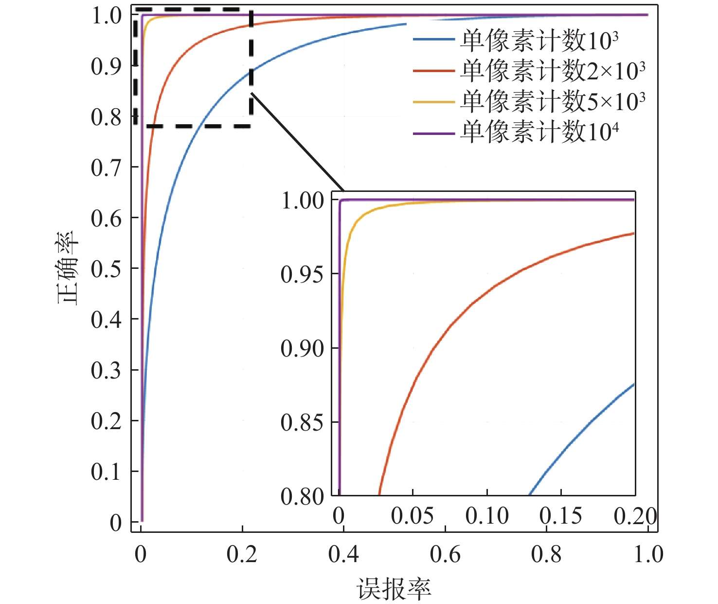
空心涡轮叶片残芯检测的双模成像方法
于洋懿, 杨祎罡
2025, 51(10): 3443-3450. doi: 10.13700/j.bh.1001-5965.2023.0526
摘要:

空心涡轮叶片的残芯检测对于航空发动机的生产制造具有重要价值。目前,基于电子加速器的双模成像方法已经实现了中子与X射线的同光路融合成像,可以从材料属性角度对叶片的基体材料与残芯材料进行分辨。针对双模成像中的射线能谱硬化问题,采用自动分段阈值设定的方法,实现了无需了解叶片几何构造先验知识和人工参与判断,直接检测出叶片中残芯存在区域的自动化无损检测新方法。当单个像素的中子计数不低于104时,双模成像方法对残芯识别的误差不超过1%。

基于分层深度强化学习的无人机混合路径规划
吕超, 李慕宸, 欧家骏
2025, 51(10): 3451-3459. doi: 10.13700/j.bh.1001-5965.2023.0550
摘要:

无人机应用中需要在非净空环境中实现自主安全飞行,其中障碍物存在部分已知、部分未知的特点,需在基于已知障碍物进行全局路径规划的同时,开展针对未知障碍物的自主避障。为实现障碍物半已知环境下的安全飞行,提出基于分层深度强化学习的混合路径规划方法。该方法将自主感知避障和趋向全局路径规划航迹点飞行2个无人机自主飞行中需要执行的子任务,利用分层模型有机结合,实现功能的有效复合。分层深度强化学习模型中,避障和导航2个子任务模型可分别单独训练,并通过2个训练后的模型对系统状态进行抽象,在此基础上训练顶层模型,实现对2个任务输出的有效调度。试验表明:所提分层深度强化学习方法可在趋向全局路径规划航迹点飞行和自主感知避障的子任务控制器基础上,实现功能扩展,完成更为复杂的任务,可在降低模型训练难度的同时,保持模型任务执行能力。

无人机数据采集任务中的航迹规划与资源分配优化
雷耀麟, 丁文锐, 罗祎喆, 王玉峰, 刘思琪, 张芷兰
2025, 51(10): 3460-3470. doi: 10.13700/j.bh.1001-5965.2023.0531
摘要:

针对无人机(UAV)在应急场景中执行数据采集任务时,其电池容量有限、缓存空间有限,以及地面目标优先级动态变化所导致的无人机航迹规划与资源分配效果较差的问题,提出一种基于深度强化学习的无人机航迹规划与资源分配联合优化方法。考虑无人机任务中的通信、计算、飞行、数据缓存过程,构建相应的数学问题模型;针对无人机航迹规划与资源分配问题构建马尔可夫过程模型,设计相应的状态和行为描述及用于平衡无人机能耗和数据采集信息量的加权奖励函数;与贪婪算法和遗传算法等智能优化方法进行仿真对比。结果表明:所提方法能够使无人机在较短的任务时间内,以消耗相似或者较低的能量为代价,较大提升对地面用户的数据采集量。

复杂光照环境下民用飞机飞行员关键点检测方法
刘豪, 孙有朝, 吴红兰, 张海燕
2025, 51(10): 3471-3481. doi: 10.13700/j.bh.1001-5965.2023.0566
摘要:

基于计算机视觉技术对民用飞机飞行员操纵行为进行识别和监控,对于确保民用航空运行安全具有重要的现实意义。提出一种复杂光照环境下的飞行员关键点检测方法。鉴于民用飞机驾驶舱复杂光照环境,提出图像亮度调节模块,该模块分级判断图像亮度均值,实现不同亮度图像特征融合,提升运行速度,并最大化保留图像细节特征;鉴于较多的关键点定位是精确行为识别的基础,提出轻量化的飞行员肢体关键点和手部关键点检测网络,该网络在高分辨率分支运用次序交换注意力模块,以缓解原始视觉注意力计算成本随输入分辨率增加呈二次增长的问题,联合部署飞行员肢体和手部关键点检测网络,选择典型的飞行动作进行实验验证;进行大量消融实验,定量和定性地探讨不同组件(图像亮度调节模块、次序交换注意力模块)对模型性能的影响,建立所提方法与预测结果之间的可解释关系。提出的模型在飞行员关键点检测数据集和MS COCO val2017 数据集上的 AP 分别达到 81.9% 和 72.8%,兼顾精度和实时性。

低压双流体细水雾削减三元锂离子电池热失控风险性能
曾祥淑, 梁家鑫, 孙强, 贺元骅
2025, 51(10): 3482-3491. doi: 10.13700/j.bh.1001-5965.2023.0520
摘要:

为削减气体、高压细水雾等灭火剂抑灭锂离子电池火灾导致二次灾害的短板问题,研究低压双流体细水雾抑灭锂离子电池燃爆技术。以中小型储能系统常用的三元锂离子电池为对象,研究了低压双流体细水雾对锂离子电池在热失控前不同温度下(90 ℃、145 ℃和200 ℃)的外观形貌变化、产热过程抑制和电性能防护的影响。结果表明:在施加低压双流体细水雾情况下,锂离子电池极耳附近鼓包厚度分别减小了0 cm、0.01 cm和0.15 cm,电池直接受热大面的受损状况有所减小;电池非直接受热大面温度降低幅度很大,分别降低了38 ℃、43 ℃和31 ℃;电池充电容量分别提高了487.54 mAh、4116.69 mAh和6 230.06 mAh,放电容量分别提高了565.07 mAh、4 325.11 mAh和6297.45 mAh。因此,低压双流体细水雾不仅可有效防护遭遇热失控锂离子电池的外观形貌、热量抑制和电性能,而且可有效防止锂离子电池热失控灾害传统抑灭技术导致的二次灾害。

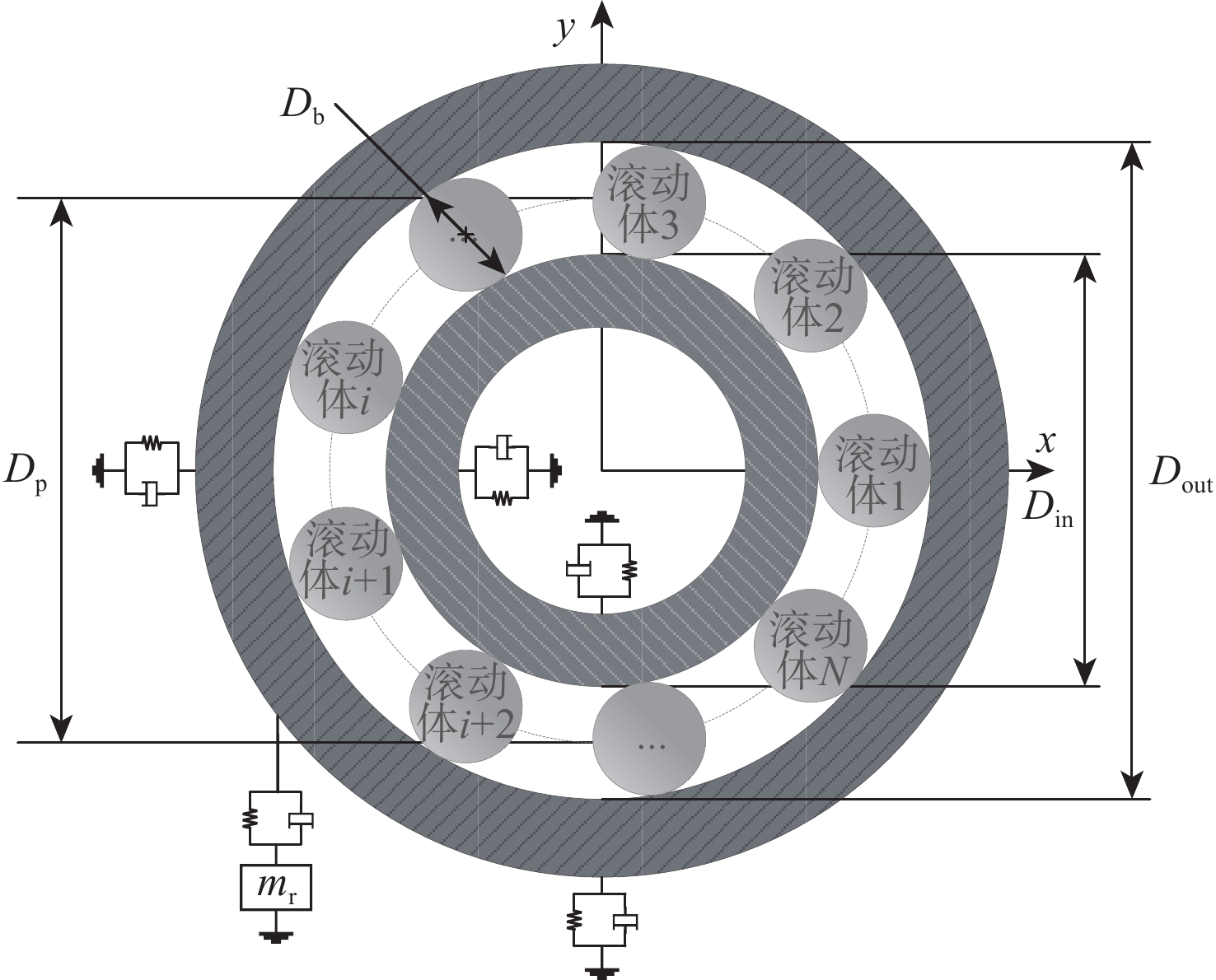
含滚道剥落缺陷的滚动轴承动力学建模及分析
王潇, 马军, 熊新, 陈靖宇
2025, 51(10): 3492-3503. doi: 10.13700/j.bh.1001-5965.2023.0565
摘要:

为了深入分析轴承滚道剥落缺陷引发冲击性振动响应的机理,动力学模型的构建成为必要且有效的手段。针对现有轴承动力学模型中的缺陷激励函数难以准确刻画实际剥落缺陷的问题,提出一种考虑缺陷三维尺寸的激励函数来构建含滚道剥落缺陷的轴承动力学模型。以椭圆形状模拟缺陷三维形貌,在此基础上构建缺陷激励函数,并将其融入动力学模型。分析滚动体通过不同尺寸缺陷过程中产生的额外接触位移量的变化情况。通过仿真和实验验证模型的正确性,并深入探究缺陷尺寸与振动响应间的关系。与矩形激励函数模型对比,证明所提模型的有效性和适用性。实验结果表明:所构建的模型与理论、实测信号误差均在±5%以内;缺陷尺寸的变化将引起额外接触位移的改变,进而使轴承产生不同的振动响应;相比矩形激励函数模型,所提模型可有效模拟滚动轴承在不同尺寸剥落缺陷下的振动响应。相关研究结果可为轴承故障诊断及性能评估提供理论支持。

基于LSTM-DDPG算法的四翼变掠角飞行器主动变形决策
彭余萧, 何真, 仇靖雯
2025, 51(10): 3504-3514. doi: 10.13700/j.bh.1001-5965.2023.0513
摘要:

针对变体飞行器主动变形控制问题,提出一种基于长短期记忆(LSTM)网络深度确定性策略梯度(DDPG)算法的智能变形控制方法;以一种串置翼构型的四翼变掠角飞行器为研究对象,利用OPENVSP软件计算其几何模型和气动参数,并建立了飞行器动力学模型;针对四翼变掠角飞行器的加速爬升过程,设计了基于LSTM-DDPG算法学习框架,并在对称变形条件下,针对纵向轨迹跟踪进行主动变形决策训练。仿真结果表明:应用于主动变形控制过程中的LSTM-DDPG算法可以快速收敛并达到更高的平均奖励,且训练获得的主动变形控制器在四翼变掠角飞行器的轨迹跟踪任务中具有良好的控制效果。

不确定危险区规避神经网络多段式弹道规划方法
谢蕃葳, 王旭刚, 顾镇镇
2025, 51(10): 3515-3523. doi: 10.13700/j.bh.1001-5965.2023.0521
摘要:

基于最优控制的弹道规划方法可以最大程度地发挥出超远程滑翔制导炮弹的飞行能力,然而在面对不确定的战场环境时,这种数值方法耗时、不易收敛的缺点导致其难以在线应用。针对这一问题,提出一种深度神经网络弹道规划方法,利用深度神经网络的非线性映射能力近似伪谱法计算模型以减少弹载计算机的运算负荷。根据弹体和环境的多种随机状态,在3维空间内以多阶段高斯伪谱法(MGPM)基于连续性条件将准接触点连接起来,形成满足路径约束的射程最优弹道样本数据库;以最优弹道数据样本库为基础,深度神经网络离线学习弹体在不同状态下的最优动作,以此映射出最优弹道规划计算模型。仿真结果表明:所提方法可以在随机状态下快速生成近似最优轨迹,具有良好的实时性和鲁棒性,可适用于解决在线弹道规划问题。

运载火箭助推段大攻角剖面高精度弹道解析解
张珂洋, 王鹏, 于琦, 余文斌, 陈万春
2025, 51(10): 3524-3534. doi: 10.13700/j.bh.1001-5965.2023.0529
摘要:

针对运载火箭助推段预测校正制导方法中在线快速轨迹预测困难的问题,提出一种适用于大攻角剖面的运载火箭助推段高精度弹道解析解。推导得到以质量为自变量的纵平面简化动力学模型,并创新性地将攻角的正弦值设计为关于质量的多项式。因为大攻角机动的影响,简化动力学模型依旧是高度非线性的,无法直接求得解析解。通过受力分析,构造近似多项式替代原方程中非线性强但模值较小的项,并将真实值与近似值之差作为摄动小量。根据摄动理论可以对动力学模型进行分阶以获得可以解析求解的子系统。对子系统积分可以得到速度、弹道倾角、航程和高度的解析解。仿真实验表明:在大攻角条件下,所提出解析解的精度比现有解析解至少提升了85%。

加权几何平均组合预测方法对数均方误差的分解
朱双磊, 陈华友, 张琦, 王一帆
2025, 51(10): 3535-3546. doi: 10.13700/j.bh.1001-5965.2023.0553
摘要:

针对非线性的加权几何平均组合预测模型,引入对数均方误差,并提出了对数均值偏差、模型解释力系数、对数离差误差方差及预测方法差异性测度等概念。在此基础上,将组合预测对数均方误差分解为对数均值偏差、因模型解释力不足而产生的对数方差以及基于模型解释力系数的对数离差方差3个组成部分,从理论上探讨了对数均方误差的来源。同时,将组合预测对数均方误差分解为单项预测方法对数均方误差的加权平均和预测方法差异性测度的加权平均两部分,获得了有益的结论:提高单项预测方法的精度和预测方法差异性测度水平有利于减少加权几何平均组合预测方法的对数均方误差,为组合预测单项方法的遴选提供了理论支持。通过实际案例,分析了各组成部分以及单项预测方法之间的差异性测度对组合预测对数均方误差的影响。

耗氧型催化惰化系统整体式反应器性能研究
郭晨阳, 刘祎, 刘豪正, 王俊杰, 高经诚, 冯诗愚
2025, 51(10): 3547-3554. doi: 10.13700/j.bh.1001-5965.2023.0562
摘要:

对Pd/γ-Al2O3催化剂进行了实验测量,拟合得到了其反应动力学方程,建立了整体式反应器二维瞬态模型,并采用Modelica语言编程求解,开展动态性能仿真,分析了耗氧型惰化系统中飞温和催化剂高温失活现象对整体式反应器性能的影响,研究了飞行过程中氧气体积分数变化对反应器的影响。研究结果表明:壁面冷却可有效降低飞温现象,但同时会降低反应器催化效率。飞温现象导致的催化剂涂层不可逆失活发生在反应最剧烈的反应器出口侧壁面上,小面积的失活会导致催化效率降低80%。飞机爬升阶段油箱内的氧浓度增加可有效提升反应器内的燃油蒸汽转化率,但也需要避免高氧浓度对反应器涂层加速失活的影响。

基于改进一致性算法的无人机编队队形保持控制器设计
万茹, 马梓元, 龚华军, 王新华, 张帅
2025, 51(10): 3555-3566. doi: 10.13700/j.bh.1001-5965.2023.0505
摘要:

针对传统一致性算法中存在的大增益收敛振荡以及当编队队形受到平动转动同时施加的问题进行了深入研究。在传统一致性编队算法基础上引入虚拟长机,定义新的范数来扩展原有的一致性算法,以解决线性一致性算法中大增益收敛振荡的问题。针对传统一致性编队过程中平动转动的施加导致队形无法保持的问题,引入最大距离作为参考控制器的反馈,修正参考输入轨迹,以确保编队队形的同时,实现平动转动过程中的良好跟踪队形。结合开源飞控Ardupilot和开源仿真平台Airsim进行了联合半物理仿真,进一步验证了改进算法的可行性。研究结果表明:所提算法在解决传统一致性协议中存在的问题方面具有显著的改进,并在实际应用中具有较好的可行性。

微型直接甲醇燃料电池多级退化参量融合预测
董杰, 苏雨临, 张大骋
2025, 51(10): 3567-3577. doi: 10.13700/j.bh.1001-5965.2023.0517
摘要:

微型直接甲醇燃料电池(µDMFC)膜电极性能会随运行时间和工况衰退,影响其效率和使用寿命。准确的健康状态(SOH)估计与剩余使用寿命(RUL)预测可以确保µDMFC安全运行。输出电压的退化趋势受运行工况影响而波动,传统基于退化趋势回归的预测方法无法准确捕获这种随机变化。在数据驱动和机理模型相结合的思路下,提出基于输出电压和等效电路模型(ECM)的RUL融合预测方法。针对动态工况,引入负载电流这一退化协变量,利用随机过程重构了未来时刻的负载变化,结合ECM参量的退化趋势,实现对输出电压的准确估计和RUL预测,并在中国轻型汽车测试工况(CLTC)下进行验证。实验结果表明:基于多级退化参量的融合预测方法能更好地适应变工况,RUL预测精度、准确度分别为88.18%和85.71%,高于单一退化模型最优值3.27%和14.28%。

一种考虑滑流效应的螺旋桨设计方法及应用
陈胜久, 杨佑绪, 张兴翠, 吴逸飞
2025, 51(10): 3578-3588. doi: 10.13700/j.bh.1001-5965.2023.0533
摘要:

分布式电推进飞机大量采用螺旋桨,存在显著的桨-翼气动耦合效应。通过改变轴向诱导速度分布控制螺旋桨滑流,从而得到螺旋桨弦长和扭转角分布,提出一种考虑滑流效应的高效螺旋桨设计方法,并验证方法的可行性。计算所设计螺旋桨在孤立和分布式构型的巡航和悬停气动特性,并和最小诱导损失方法进行对比。结果表明:巡航升力系数相同时,所设计螺旋桨效率比最小诱导损失法高3.4%~6.6%;不同转速时,单独螺旋桨悬停效率比最小诱导损失法高10.4%~13.5%;分布式构型,设计螺旋桨悬停效率为比最小诱导损失法高13%。设计螺旋桨在巡航和悬停状态都能满足其设计要求,且都保持较高的效率运行。

基于注意力机制改进的PSO-BiLSTM刀具磨损预测
杨沛东, 黄华, 尉卫卫, 郭宝岛
2025, 51(10): 3589-3598. doi: 10.13700/j.bh.1001-5965.2023.0545
摘要:

针对刀具磨损故障诊断中存在的监测数据单一和特征信号处理效果差的问题,提出了一种基于注意力机制(AM)改进的粒子群算法(PSO)优化双向长短时记忆(BiLSTM)神经网络来实现端到端的刀具磨损预测方法。根据传感器信号进行多域特征提取,构建优质的信号输入样本;利用卡尔曼滤波对输入样本进行多传感器数据融合,得到鲁棒性更高的融合数据样本,在此基础上,通过PSO对BiLSTM网络进行超参数寻优,根据优化的超参数建立神经网络模型;基于注意力机制赋予输入影响权重,改进PSO-BiLSTM以获得更好的刀具磨损预测效果。对比实验结果验证了所提模型在刀具磨损预测中的可行性,其精度相比传统深度学习方法有较大的提升。