留言板

尊敬的读者、作者、审稿人, 关于本刊的投稿、审稿、编辑和出版的任何问题, 您可以本页添加留言。我们将尽快给您答复。谢谢您的支持!

姓名
邮箱
手机号码
标题
留言内容
验证码

2017年  第43卷  第7期

显示方式:
2017年, 第43卷, 第7期
icon下载 (40587) 936 icon预览
论文
冲压空气涡轮泵的温控节流孔计算方法
王岩, 殷亚峰, 陈金华, 江培
2017, 43(7): 1287-1292. doi: 10.13700/j.bh.1001-5965.2016.0545
摘要:

冲压空气涡轮(RAT)泵将涡轮输出的机械能转换为液压能用以操控飞机舵面,其快速起动是飞机安全的最后保证。长时间处于低温大气环境,液压油的高黏性阻碍了液压泵的快速起动,将飞机主液压系统的高压油液引入RAT泵是解决该问题的有效方法。本文以RAT泵为研究对象,探究RAT泵的最小温控节流孔计算方法。首先,阐述RAT泵待机状态下通过温控节流孔保温原理,提出温控节流孔的孔径计算方法;其次,建立RAT泵热力学模型,推导温控节流孔的孔径计算公式;然后,基于MATLAB平台搭建RAT泵温控系统热力学模型;最后,通过仿真计算,由仿真结果验证本文所提出的温控节流孔计算方法的正确性,且节能效果显著。

基于矢量对消的缺陷类目标散射试验改进方法
高旭, 杨硕, 柴建忠, 赵京城
2017, 43(7): 1293-1299. doi: 10.13700/j.bh.1001-5965.2016.0517
摘要:

缺陷类目标散射在高隐身飞行器总体散射中占有重要地位。目前常用的缺陷类目标散射评估方法是基于低散射载体,将有无缺陷类目标的载体测试结果进行对比,获得缺陷类目标散射的增幅,以分析目标的散射特性。这种方法存在载体影响大、可测量目标尺寸小、成本高等不足。本文提出一种基于矢量对消的改进试验方法,将载体视为目标背景的一部分,通过矢量对消分离出载体散射,从而提取出完全独立于载体之外的全角域范围的缺陷类目标散射特性,结果更为完整、精确。通过文献对比和验证分析,本文方法可以得到缺陷类目标的全角域散射特性,且测试结果、目标尺寸均不受载体限制,具有精确度高、成本低的优点。

基于低相干光的光子晶体光纤熔点背向反射测量
徐小斌, 闫明, 滕飞, 吴春晓
2017, 43(7): 1300-1305. doi: 10.13700/j.bh.1001-5965.2016.0499
摘要:

光子晶体光纤(PCF)与传统单模光纤熔接时斜切熔接可以大大减小熔点处反射,但是仍然存在微弱的残余背向反射,为了精确测量该残余背向反射大小,本文基于低相干光干涉测量原理提出了一种Mach-Zehnder与Michelson混合型干涉仪。基于该干涉仪,对包层直径125 μm实芯光子晶体光纤与传统单模光纤斜8°熔点,以及包层直径100 μm实芯光子晶体光纤与传统单模光纤斜8°熔点处的背向反射进行了测量,得到背向反射率分别为-52.12 dB和-49.35 dB,并获得了熔点的位置信息。该干涉仪为光子晶体光纤斜切熔点残余背向反射的精确定位和测量提供了工具和手段,为熔点质量的改善奠定了基础。

基于遗传算法的飞行管理系统余度配置优化方法
霍琳, 费思邈
2017, 43(7): 1306-1312. doi: 10.13700/j.bh.1001-5965.2016.0512
摘要:

余度设计是飞行管理系统研制过程中提升其安全性的主要手段之一。针对余度设计受制造预算(经济性)与使用阶段维修保障资源消耗(可靠性)的制约问题,基于飞行管理系统的安全性、基本可靠性及经济性数学模型,利用改进后适用于整数优化的遗传算法,提出了一种以安全性为目标、基本可靠性与经济性为约束的余度配置优化方法,并以实例说明其适用于较为复杂系统的余度配置优化。经过敏感性分析发现,安全性指标最优值随着基本可靠性约束下限的提高而降低,随着经济性约束上限的增加而增加。2种约束条件对优化目标竞争约束,在同一时刻只有1种约束条件起主要约束作用。

基于变迹滤波的MIMO-SAR图像分辨率增强技术
徐光耀, 刘永泽, 许小剑
2017, 43(7): 1313-1320. doi: 10.13700/j.bh.1001-5965.2016.0514
摘要:

针对多输入多输出合成孔径雷达(MIMO-SAR)在近场目标散射特征诊断成像中,非正交旁瓣难以通过常规方法进行有效抑制的问题,分析了MIMO-SAR图像非正交旁瓣的产生机理,提出了基于空间变迹滤波(SVA)和三变迹处理相结合的旁瓣抑制方法。仿真和实验结果表明,本文方法不仅能很好地抑制距离向旁瓣,而且对于方位向非正交旁瓣也具有较好的抑制效果,提高了MIMO-SAR图像的二维分辨率和动态范围。

刚弹耦合动力学初值问题拟变分原理及其应用
周平, 李海波, 梁立孚
2017, 43(7): 1321-1329. doi: 10.13700/j.bh.1001-5965.2016.0849
摘要:

刚弹耦合动力学在国防和民用经济建设中有着广阔的应用前景,但目前还没有完全成熟的理论研究成果。鉴于此,针对刚弹耦合特性,建立初值问题拟变分原理;应用变分方法,推导拟变分原理的拟驻值条件,即得到刚弹耦合动力学的控制方程;给出刚弹耦合动力学初值问题拟变分原理应用的2个算例,1个是应用控制方程求得自由梁的奇数阶振型的解析解,1个是应用变分直接方法Ritz方法求得自由梁的偶数阶振型的解析解。研究表明,刚弹耦合动力学初值问题拟变分原理为建立有限元计算模型提供了依据。

共轴共聚焦干涉式表面等离子体显微成像技术
张蓓, 闫鹏, 王乐, 高枫, 袁梅
2017, 43(7): 1330-1335. doi: 10.13700/j.bh.1001-5965.2016.0526
摘要:

表面等离子体(SPs)显微成像技术能够在纳米尺度上对材料折射率的局部变化以及材料的表面形貌进行检测,这一特性使其在生物医疗及半导体材料等领域有很多的应用。提出一种新型共轴共聚焦干涉式表面等离子体显微成像技术,该技术可以定量地对折射率变化进行检测,而且具有实现简单、成本低、对环境条件要求低、信噪比高等优点。采用压电陶瓷微纳米移动平台在显微物镜的焦面附近对样品进行扫描,SPs信号与参考光的相对相位会改变从而产生一个周期性的振荡信号即Vz)曲线。同时该技术能够通过控制样品的离焦距离来实现图像对比度的可控,而且这一举措不会显著地降低图像的分辨率及对比度。也分别从理论仿真和实验结果上证明了该技术的可行性。

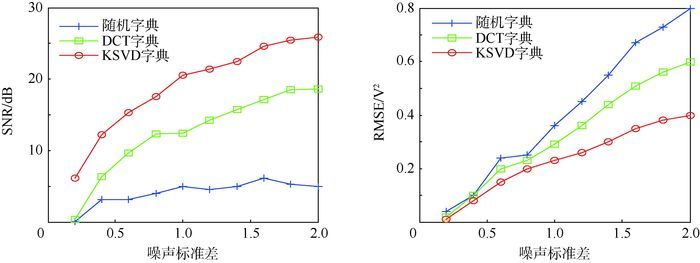
电路测试响应信号的GP-KSVD稀疏重构算法
聂静, 苏东林, 李红裔, 赵迪
2017, 43(7): 1336-1347. doi: 10.13700/j.bh.1001-5965.2016.0518
摘要:

电路系统测试响应信号具有周期性强、分布较稀疏的特点,针对电路系统测试响应信号的压缩重构问题进行了研究,提出了基于梯度方向追踪的K奇异值分解(GP-KSVD)稀疏重构算法。结合单一响应信号以及混合信号其自身特点进行字典训练,利用更新后字典对含噪信号进行梯度追踪稀疏表征,通过对含噪信号的重构,实现了去噪的目的,算法计算复杂度低,储存量小,具有较好的重构效果。仿真中将GP-KSVD表征与使用随机字典、离散余弦字典(DCT)的表征进行比较,从信噪比(SNR)以及相对均方误差(RMSE)2项指标中得出使用KSVD字典具有更好的重构去噪效果;此外将GP-KSVD稀疏重构算法与正交匹配追踪正交匹配追踪(OMP)-KSVD、预处理共轭梯度追踪(PCGP)算法进行比较,得出GP-KSVD的计算时间最短、重构精度更高的结论,并且进行了实测验证。算法可用来对测试响应信号进行预处理,为电路系统设备性能的评估分析提供了理论依据。

高空风对大型客机航线性能的量化影响
黄成涛, 王立新, 钟伯文
2017, 43(7): 1348-1354. doi: 10.13700/j.bh.1001-5965.2016.0542
摘要:

高空风会影响大型客机航线飞行的油耗和飞行时间。本文提出了一种计算高空风对航线性能量化影响的方法,并分析了高空风对航线性能的量化影响。建立了有风条件下飞机的飞行仿真模型,提出了针对飞机航线飞行的驾驶员建模方法,基于“驾驶员-飞机”闭环数字虚拟飞行仿真方法,提出了一种计算高空风条件下飞机航线性能的方法。对算例飞机在典型航线下的油耗、飞行距离、飞行时间进行了计算与分析。结果表明:在飞行距离相同时,顺风可以减少飞机的航线飞行时间并降低油耗,逆风会增加飞机的航线飞行时间并增加油耗;由于高空风的影响,部分航线往返飞行时,油耗和飞行时间相差较大;对于部分远程航线,由于高空风的影响,为满足最大起飞重量限制,飞机需要减小商载以装载更多燃油,确保能够飞抵目的机场。

一种航天器太阳电池阵供电能力计算方法
李涛, 李伟, 杨雷
2017, 43(7): 1355-1363. doi: 10.13700/j.bh.1001-5965.2016.0600
摘要:

太阳电池阵为航天器提供能源,在型号研制和在轨运营过程中需对其供电能力进行计算,为此提出了一种航天器太阳电池阵供电能力的计算方法。首先,利用太阳电池片的地面测试数据得到标准测试条件(STC)下的电池片伏安模型,并利用电池片在轨等效光强和温度修正电池片伏安模型的光生电流、串联电阻和并联电阻等参数,得到电池片在轨伏安模型,然后,根据基尔霍夫定律推导出电池阵中电池片工作电压、电流以及旁路二极管和隔离二极管的输出情况,从而得到太阳电池阵的伏安模型。仿真结果表明,本文方法可以精确计算航天器在任意光强、温度和遮挡下的太阳电池阵伏安模型,可以精确分析旁路二极管和隔离二极管对太阳电池阵供电能力的影响,较已有方法计算精度提高20%。

基于目标性权值度量的多示例学习目标跟踪
滑维鑫, 慕德俊, 郭达伟, 刘航
2017, 43(7): 1364-1372. doi: 10.13700/j.bh.1001-5965.2016.0527
摘要:

针对多示例学习(MIL)跟踪算法在包概率计算过程中对示例样本不加以区分导致分类器性能下降,及采用最大化似然函数选择相应的弱分类构造强分类增加了算法复杂度的问题,提出了一种基于目标性权值学习的多示例目标跟踪算法,该算法利用目标性测量每个示例样本对包概率的重要性,根据其目标性测量结果对每个正示例样本赋予相应的权值,从而判别性地计算包概率,提高跟踪精度。同时在弱分类器选择过程中,采用最大化弱分类器与似然函数概率内积的方法从弱分类器池中选择弱分器构造强分类器,减少算法的计算复杂度。通过对不同复杂场景下视频序列的跟踪,实验结果表明,本文所提出的目标性权值学习的多示例目标跟踪算法优于其对比算法,表现出较好的跟踪精度和鲁棒性能。

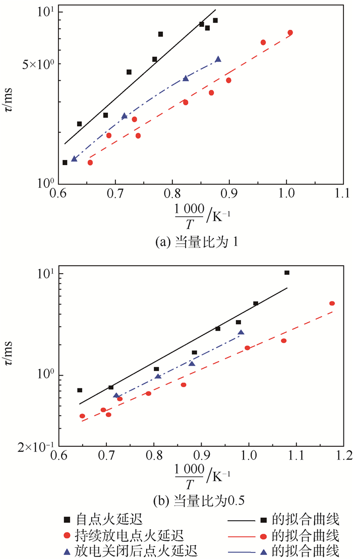
不同稀释气体下等离子体辅助甲烷点火
沈双晏, 金星, 邓同晔
2017, 43(7): 1373-1379. doi: 10.13700/j.bh.1001-5965.2016.0544
摘要:

等离子体由于可以同时在燃料反应中增加化学效应与热效应,有望成为辅助点火的有效技术途径。构建了基于激波管的等离子体辅助甲烷点火实验系统,测量了甲烷自点火、持续放电以及放电后断电条件下的点火延迟时间,分析了不同稀释气体下等离子体对甲烷点火延迟的缩短效果。构建了等离子体发射光谱测量系统,测量了放电单元中的发射光谱。在实验条件下,点火温度越高,持续放电下活性粒子的浓度越高。较小的放电功率( < 4 W)即可将甲烷的点火延迟时间缩短30%~95%。稀释气体为Ar时,等离子体在点火温度小于1 000 K或大于1 400 K时对甲烷点火延迟时间缩短作用更好。稀释气体为N2时,随着点火温度的升高,等离子体对甲烷点火延迟时间作用效果随之降低。

钛合金旋转超声辅助钻削的出口毛刺
李哲, 张德远, 姜兴刚
2017, 43(7): 1380-1386. doi: 10.13700/j.bh.1001-5965.2016.0556
摘要:

针对航空航天领域钛合金难加工材料采用普通麻花钻传统钻削过程中孔出口毛刺大、导致去毛刺困难及影响紧固件装配质量的问题,提出了一种基于新刃型刀具(八面钻)的钛合金旋转超声辅助钻削(RUAD)的新技术。分析了RUAD原理,采用文中所设计的RUAD主轴结合CA6140车床平台、测力系统、测温系统、高速摄影系统以及非接触激光测量系统进行了钛合金RUAD制孔试验和孔出口毛刺研究,对比普通钻削(CD)分析了RUAD降低孔出口毛刺的机理,并建立了基于八面钻的CD和RUAD的毛刺形成模型。试验结果表明:相比于CD,RUAD明显降低钻削力、孔出口最高切削温度和毛刺高度,分别降低了16.79%~20.2%,18.54%~ 21.68%和82.27%~89.18%,极大降低了钛合金孔出口去毛刺的困难和制造成本,提高了生产进度。

基于微多普勒的空间锥体目标微动分类
束长勇, 张生俊, 黄沛霖, 姬金祖
2017, 43(7): 1387-1394. doi: 10.13700/j.bh.1001-5965.2016.0500
摘要:

空间锥体目标在飞行时存在多种微动,具体可分为章动、进动及自旋,准确获取目标微动形式是弹道目标微动及结构参数估算的前提。首先分析了3种微动形式下锥体目标锥顶及锥底滑动型散射源微多普勒及其频谱分布特性,发现自旋锥体目标散射源微多普勒为0 Hz,章动锥体目标任意散射源微多普勒谱的峰值非等间距分布,进动锥体目标任意散射源微多普勒谱的峰值等间距分布。据此提出利用微多普勒阈值识别自旋、利用微多普勒谱峰值是否等间距分布识别章动和进动的分类方法。最后通过仿真说明了本文分类方法的有效性,可为空间锥体目标微动分类提供一定的参考。

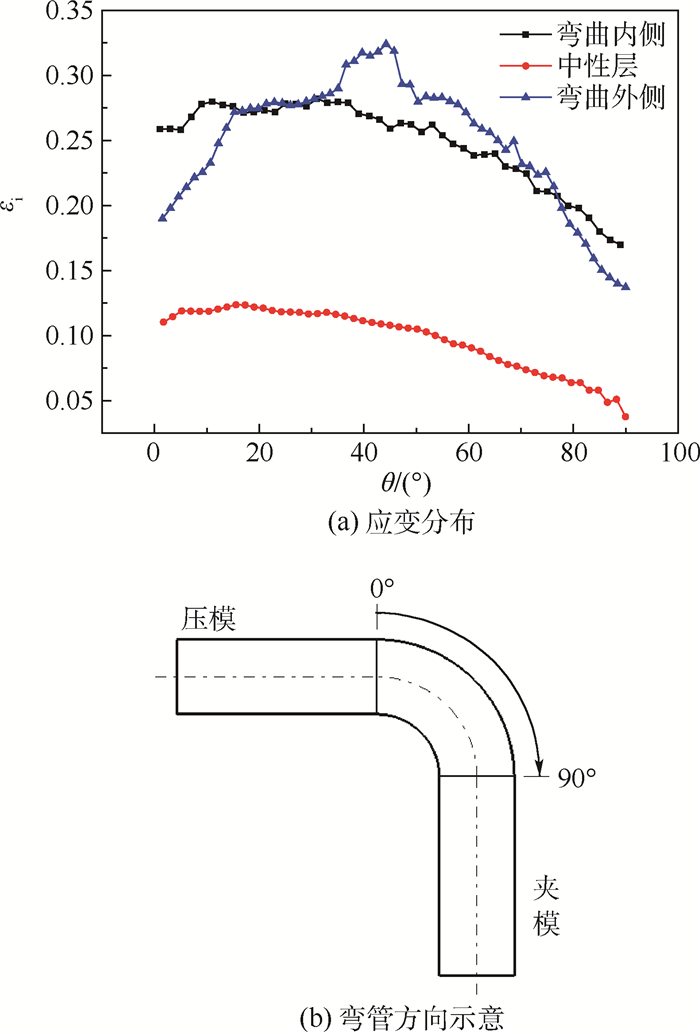
基于自由胀形的弯曲管材变形行为
孔德帅, 郎利辉, 阮尚文
2017, 43(7): 1395-1402. doi: 10.13700/j.bh.1001-5965.2016.0525
摘要:

随着制造业轻量化的发展趋势,复杂弯曲异形充液成形管件的应用日益广泛。为了更好地研究弯曲异形复杂管件在充液成形过程中的变形规律,进行可靠的工艺设计。本文通过结合薄膜理论和塑性变形理论对弯曲管件在自由胀形状态下的应力应变进行了理论解析,并通过有限元(FE)分析对理论计算模型进行了验证。FE分析结果与理论模型基本吻合。同时分析了管材在绕弯过程的硬化行为,并探索了在不同的弯曲硬化状态下弯曲管材在自由胀形过程下的破裂位置的规律,并且用实验进行了验证,实验结果与FE分析结果吻合。

重点区域入侵安防设备系统可靠性建模方法
查国清, 徐亚妮, 康锐
2017, 43(7): 1403-1409. doi: 10.13700/j.bh.1001-5965.2016.0905
摘要:

为了评估重点区域入侵安防系统设备可靠度,首先给出了重点区域安防系统可靠度的定义,以收集到的安防设备故障信息为基础,对这些数据进行指数分布检验与估计,得出安防设备的故障分布。然后对重点区域中各子区域以及安防系统中各类设备的具体功能进行分析,描述了区域及设备功能间的备份关系以及区域间、区域与设备间的可靠性关系,建立重点区域安防系统、子区域与设备的可靠性框图模型,运用混联可靠性框图计算方法得出重点区域安防系统可靠度。最后进行了实例验证,表明该模型可方便计算重点区域入侵安防系统的可靠度,验证了模型的有效性。

大攻角状态压气机分离流及叶片动力响应特性
倪奇峰, 侯安平, 刘若阳, 周拜豪, 张明明
2017, 43(7): 1410-1418. doi: 10.13700/j.bh.1001-5965.2016.0912
摘要:

为研究大攻角状态压气机转子内部分离区的脱落和传播过程及转子叶片对其动力响应问题,对某跨声速压气机级进行了非定常数值模拟和双向迭代流固耦合数值模拟。研究结果表明,在近失速状态,转子叶片通道内会周期性地发生2次叶背分离区的脱落和传播现象。第1个分离区主要表现出轴向传播特性,其会对下游流场产生影响;第2个分离区主要表现出周向传播特性,其会作用于周向相邻的转子叶片,对转子叶排自身产生激励作用,进而影响叶片表面压力分布,引起叶片较强的动力响应,对叶片结构强度的影响不可忽略。非定常/流固耦合计算手段能够较全面地预测流场中激励源的频率、幅值与位置等,在压气机设计阶段应对此类预测工作予以重视,以期更准确地预测叶片共振及动力响应等问题。

免疫支持向量机用于航空发动机磨损故障诊断
张建, 李艳军, 曹愈远, 张丽娜
2017, 43(7): 1419-1425. doi: 10.13700/j.bh.1001-5965.2016.0553
摘要:

航空发动机在使用寿命周期内会不断磨损最终出现故障,通过对发动机油液监测铁谱分析数据的挖掘可实现磨损故障的诊断。本文研究免疫算法优化的支持向量机(SVM)在航空发动机磨损故障诊断中的运用。首先,总结了支持向量机和免疫算法的运行流程和关键算法。然后,用改进的免疫算法优化支持向量机惩罚因子、松弛变量及核函数参数。某型航空发动机的油液铁谱分析数据和加入噪声数据验证结果表明,该方法可有效实现航空发动机磨损故障诊断且具有较好的鲁棒性。最后,研究了核函数、多分类决策方法、初始种群大小、亲和力计算公式、支持向量机优化方法和归一化方法对磨损故障诊断准确率的影响,得到了最佳诊断方法。

一种基于非视距误差补偿的协同定位算法
张然, 宋来亮, 冉龙俊
2017, 43(7): 1426-1432. doi: 10.13700/j.bh.1001-5965.2016.0557
摘要:

非视距(NLOS)误差对超宽带(UWB)室内定位技术的定位精度有很大影响。针对此问题,根据NLOS环境下附加时延和由信道决定的均方根时延扩展的联合统计特性,估计NLOS误差的均值和方差,对定位算法测量值和系统测量误差协方差进行修正,并采用时变权重的粒子群算法与Chan算法相结合的协同定位算法进行定位计算,具有良好的全局搜索与局部搜索最优解的能力。仿真结果表明,在NLOS环境下,相比于单一算法,协同算法定位精度提高30%左右,在一定程度上抑制了NLOS误差的影响,满足室内定位的要求。

腐蚀环境下铜薄膜传感器金属结构裂纹监测
谭翔飞, 何宇廷, 侯波, 崔荣洪, 冯宇
2017, 43(7): 1433-1441. doi: 10.13700/j.bh.1001-5965.2016.0534
摘要:

铜薄膜传感器在飞机金属结构损伤监测过程中,将长期面临大气腐蚀环境的影响。针对此背景,研究了铜薄膜传感器在腐蚀环境下的耐蚀性能,及腐蚀后的疲劳裂纹监测性能。首先,采用脉冲偏压多弧离子镀技术在不同弧电流和基体负偏压水平下制备了一系列铜薄膜,对其耐蚀性能进行了对比研究。结果表明,在弧电流60 A和基体负偏压250 V时沉积的铜薄膜耐蚀性能最佳。然后,结合耐蚀性能最佳的沉积工艺参数,在2A12-T4铝合金中心孔板试件上制备了同心环状铜薄膜传感器阵列,并开展了盐雾腐蚀试验。最后,对腐蚀试验后的铜薄膜传感器进行了疲劳裂纹监测试验。结果表明:铜薄膜传感器在腐蚀环境下具有良好的耐蚀性能,耐蚀时间达1 000 h;腐蚀试验后的铜薄膜传感器对裂纹变化敏感,能实现对裂纹定量监测,监测精度为1 mm,监测结果具有良好的可重复性。

AVB网络流量整形帧模型端到端延迟计算
李二帅, 何锋, 熊华钢
2017, 43(7): 1442-1449. doi: 10.13700/j.bh.1001-5965.2016.0539
摘要:

音视频桥接技术(AVB)以传统以太网为基础,通过基于信用量的整形(CBS)算法进行流量整形,提供了音视频流确定性传输的基础保障。在CBS流模型的延迟分析计算基础上,考虑了AVB网络中数据帧实际排队和调度的离散特性,提出了一种改进的CBS帧模型来计算音视频流量的排队传输延迟,并推导了帧模型下最坏延迟计算公式。采用典型的车载网络应用场景对2种模型进行演算验证,结果表明:同流模型相比,CBS帧模型中得到的端到端延迟更小,显示出更好的紧性评估效果,同时这种紧性评估在针对低优先级流量的延迟分析时,差异会更加显著。

基于深度置信网络的近距空战态势评估
张彬超, 寇雅楠, 邬蒙, 左家亮
2017, 43(7): 1450-1459. doi: 10.13700/j.bh.1001-5965.2016.0956
摘要:

针对传统态势评估方法权值确定困难、大规模数据处理和特征提取能力不足的问题,结合当前空战数据特征,将深度置信网络(DBN)应用于近距空战态势评估。通过密度峰值算法对空战特征数据进行聚类分析,并结合态势函数和专家判读进行修正,建立标准空战态势样本库;以重构误差和测试错误率为基础,建立网络拓扑结构和最优参数确定方法,提高模型的训练效率,并通过样本数据,对模型进行训练和验证。实验表明,模型态势分类正确率达到92.7%,模型运行时间满足应用需求,实例评估结果与客观态势一致性强。

动态系统失效的不确定性分析及其高效算法
巩祥瑞, 吕震宙, 刘辉, 周易成
2017, 43(7): 1460-1469. doi: 10.13700/j.bh.1001-5965.2016.0533
摘要:

为了分析在不确定性元器件失效率影响条件下动态系统的失效问题,提出了满足工作时间要求的系统失效概率和满足失效概率限制的系统正常工作时间的分析方法。同时,为了研究元器件失效率对动态系统失效的影响程度,提出了元器件失效率对系统失效概率以及系统正常工作时间不确定性影响的重要性分析方法,建立了元器件失效率对系统失效概率和系统正常工作时间方差贡献的重要性测度指标。首先给出了指标求解的直接蒙特卡罗方法,然后采用基于分数矩的极大熵方法来高效估计系统失效的概率密度函数,采用乘法降维积分建立了2种重要性测度指标的高效解法。阀门控制系统和民用飞机电液舵机系统的算例结果表明所提方法的合理性和算法的高效性。

基于核主成分分析的多输出模型确认方法
胡嘉蕊, 吕震宙
2017, 43(7): 1470-1480. doi: 10.13700/j.bh.1001-5965.2016.0519
摘要:

目前对于不确定性环境下多个相关的复杂计算模型进行确认的方法存在计算困难及稳定性较差的问题。针对这类复杂计算模型,提出了一种新的基于核主成分分析(KPCA)的多输出模型确认方法。该方法将核主成分分析与面积法的思想相结合,构造了一个新的易于计算且稳定性高的模型确认指标。所提方法通过核主成分分析将相关的输出变量转化为不相关的核主成分,再对每一核主成分进行模型与实验的对比,从而避免了传统多输出模型确认方法中需要求解多个输出的联合累积分布函数的困难。由于核主成分分析(PCA)方法能够有效提取分析对象的非线性成分,因此基于核主成分分析的多输出模型确认方法较基于主成分分析的模型确认方法更为稳定,这表现在相同的实验样本数据下核主成分分析的方法具有更低的出错率。另外核主成分分析通过核主成分提取,可以实现多输出模型的降维,从而降低多输出模型确认的复杂度。所提方法既可以用于一般的多输出模型的确认,也可以用于多确认点的输出模型的确认。最后通过数值算例和工程算例证明了该方法的正确性与有效性。

自适应引导长度的无人机航迹跟踪方法
李樾, 陈清阳, 侯中喜
2017, 43(7): 1481-1490. doi: 10.13700/j.bh.1001-5965.2016.0522
摘要:

为保证无人机安全稳定的飞行,实现高精度的航迹跟踪,基于引导点的非线性制导算法,提出了一种引导长度自适应的航迹跟踪方法。首先建立无人机运动学模型,依此对非线性的制导算法进行理论分析与试验验证,建立无人机飞行速度与引导长度之间的关系。之后引出引导长度自适应的航迹跟踪方法,详细讨论方法的具体实现过程。最后通过各种情况下的仿真对比试验,验证所提出方法的有效性。仿真结果表明,所提出的方法能较精确地跟踪各种复杂航迹,同时在较大的初始偏差和航路点临时切换的情况下能稳定、快速地收敛到期望航迹,更好地满足各种实际飞行任务的需求。

微射流作用下的超声速流场控制机理研究
刘平超, 刘艳明, 陈思成, 秦洋
2017, 43(7): 1491-1500. doi: 10.13700/j.bh.1001-5965.2016.0515
摘要:

以24°压缩拐角为流场模型,针对不同注入总压微射流作用下来流马赫数为2.9的超声速压缩拐角流场进行了数值研究,喷射方向与来流垂直。研究表明,微射流阻挡作用下,其下游速度被减小,而减弱了分离激波强度。此外,微射流与来流耦合会产生正反向旋转流向涡对,在其下洗作用下,高能量流体被带入到边界层底部近壁面处,使此处低能流体被激活,进而增强了边界层的抗逆压能力不易发生分离,且这种激活能力会随注入总压的增加而增强。权衡控制效果和注入能量认为,注入压比(注入总压/来流总压)为0.60的微射流为最优方案,在其作用下,拐角区分离面积被减小了近70%、激波交汇点与壁面的距离被降低了近37%、分离激波强度被削弱近12%。

常见问答