留言板

尊敬的读者、作者、审稿人, 关于本刊的投稿、审稿、编辑和出版的任何问题, 您可以本页添加留言。我们将尽快给您答复。谢谢您的支持!

姓名
邮箱
手机号码
标题
留言内容
验证码

2017年  第43卷  第5期

显示方式:
2017年, 第43卷, 第5期
icon下载 (38916) 1130 icon预览
论文
弹道导弹的捷联惯性/天文组合导航方法
钱华明, 郎希开, 钱林琛, 彭宇, 王海涌
2017, 43(5): 857-864. doi: 10.13700/j.bh.1001-5965.2016.0390
摘要:

针对传统的捷联惯性/天文(SINS/CNS)组合导航系统不能精确估计加速度计偏置而导致导航误差发散的问题,提出一种基于星光折射间接敏感地平的捷联惯性/天文(SINS/RCNS)组合导航方法。利用星敏感器测量星光折射角,结合大气折射模型得到的折射视高度来抑制位置误差的发散。推导了基于星光折射新的量测方程,分析了折射星数目与导航精度的关系,当使用多颗折射星时能够精确估计加速计偏置,从而能够完全抑制位置误差的发散,并对系统进行可观测性分析。通过卡尔曼滤波实现了状态估计。仿真结果表明:本文方法的导航精度优于传统方法,有效抑制了位置误差的发散,验证了本文方法的有效性。

交互式多模型粒子滤波优化重采样算法
周卫东, 孙天, 储敏, 崔艳青
2017, 43(5): 865-871. doi: 10.13700/j.bh.1001-5965.2016.0348
摘要:

针对标准交互式多模型粒子滤波(IMMPF)算法中存在粒子退化及多样性匮乏问题,提出了交互式多模型粒子滤波优化重采样(IMMPFOR)算法,利用线性优化理论改善模型中具有小权值的粒子精度。该算法的新颖性体现在给定量测信息条件下,利用线性优化方法及模型交互概率将每个模型中拥有小权值的粒子替换成新的粒子。新的粒子既包含本模型中粒子信息,又包含了本模型与其他模型交互后的粒子信息。目标跟踪的仿真结果证明:每个模型新产生的粒子集合可以准确地近似真实状态后验概率密度函数,系统的估计精度与标准IMMPF算法相比有较大提升。

基于逆虚拟激励法的导弹振动谱设计
吕卫民, 肖阳, 方登建
2017, 43(5): 872-879. doi: 10.13700/j.bh.1001-5965.2016.0335
摘要:

针对导弹在延寿试验过程中振动谱设计精度低、与实际载荷剖面差距大的问题,提出一种基于逆虚拟激励法的导弹振动谱设计方法。首先,建立了导弹-悬架系统四自由度振动模型,推导出系统激励响应关系;然后,对系统时域响应数据进行Fourier变换,得到响应功率谱矩阵并对其进行分解,构造虚拟简谐响应;最后,基于逆虚拟激励法求得系统激励功率谱,并讨论了响应噪声及系统阻尼对识别精度的影响。实验结果表明:本文方法对于随机振动载荷的识别精度较高、鲁棒性好,零噪声识别误差为2.39%,30%噪声条件下识别误差为3.21%。本文方法同样适用于其他装备的振动试验谱的设计。

基于LSTAR的机载燃油泵多阶段退化建模
李娟, 景博, 焦晓璇, 刘晓东, 戴洪德
2017, 43(5): 880-886. doi: 10.13700/j.bh.1001-5965.2016.0347
摘要:

机载燃油泵的性能退化呈现出平稳—加速—平稳的非线性、多阶段模式,针对现有退化模型难以准确描述其全寿命周期性能退化的问题,以逻辑平滑转换自回归(LSTAR)模型为工具,对机载燃油泵出口压力传感器信号进行建模。首先,对转换后的压力传感器信号建立自回归(AR)模型,通过非线性检验说明建立LSTAR模型的必要性;然后,应用非线性最小二乘法完成参数估计;最后,在AIC准则最小及拟合优度最大的原则下,选择转换变量,通过残差进行模型的适应性检验与正态性检验。结果表明:基于LSTAR模型的拟合精度明显优于线性自回归模型。本文提出的方法成功解决了机载燃油泵性能退化的多阶段准确建模问题,为机载燃油泵的预测与健康管理(PHM)奠定了坚实的基础。

结合等值面绘制与体绘制的电磁环境可视化方法
吴玲达, 郝利云, 冯晓萌, 杨超, 于荣欢
2017, 43(5): 887-893. doi: 10.13700/j.bh.1001-5965.2016.0366
摘要:

为提高现有的电磁环境三维可视化效果,提出一种将等值面绘制融合到光线投射体绘制中的网格投影算法。将等值面网格化,利用空间网格表现等值面并融合进体绘制生成的电磁环境图像中。将平面均匀网格平行投影到电磁环境体数据中具有同一数据值的数据采样点上,由此生成网格化的等值面。投影到体数据中的网格沿投射光线的反方向确定其对应于光线投射生成图像上的像素点,并将网格颜色值融合到此像素点中,实现融合绘制电磁环境。在统一计算设备架构(CUDA)下并行实现本文算法后,不仅电磁环境的绘制效果比融合前有提升,而且更新绘制速度能够达到实时,支持用户实时交互控制。

常值推力下面内轨道优化的一种改进间接法
赵国伟, 李德金, 宋婷, 武海雷
2017, 43(5): 894-901. doi: 10.13700/j.bh.1001-5965.2016.0387
摘要:

针对常值推力下航天器面内轨道转移燃耗最省的轨道优化问题,利用极大值原理导出了最优轨迹下推力方向角应满足的控制方程,结合动力学方程建立了一种求解航天器面内最优转移轨道的改进间接法,及其在推力方向角调节能力受限条件下的应用方法。由于避免了协态变量微分方程组的求解,改进间接法相对于传统间接法降低了初值猜测的难度和计算量;与采用Gauss伪谱法求解相比,所建立的改进间接法求解结果精度更高,数值光滑性更好。仿真算例表明:推力方向角调节能力受限会改善推力方向角变化规律,降低推力方向角变化范围;就燃耗而言,推力越大燃耗越多,优化轨道节省燃耗更加显著。

基于多米诺效应的锂离子电池热释放速率分析方法
张青松, 曹文杰, 罗星娜, 姜乃文
2017, 43(5): 902-907. doi: 10.13700/j.bh.1001-5965.2016.0383
摘要:

常用实验手段测得单节锂离子电池热释放速率无法真实反映航空运输包装件内大量锂离子电池因发生多米诺效应导致热量散失及传递过程间歇性变化。本文提出一种基于多米诺效应的锂离子电池热释放速率等效分析方法,即通过自主设计的实验平台对3×3排布的典型18650型锂离子电池热失控后发生的多米诺效应及各节电池表面温度进行分析。利用FLUENT使用标准18650型锂离子电池热释放速率曲线用于同等实验条件下的锂离子电池热失控传播仿真模拟,采用二分法逐次修正标准热释放速率、使仿真和实验的锂离子电池表面温度相符。将获得等效的锂离子电池热释放速率曲线再次应用于仿真,得到各电池的最高温度及达到最高温度的时间和实验数据相吻合,验证了修正后的等效热释放速率模型可靠性。该方法可适用于各型号及不同数量包装件内锂离子电池热释放速率获取,指导航空运输锂离子电池火灾防控工程实际。

超声行波驱动的玻璃表面液滴运动数值模拟
丘华川, 姜立标
2017, 43(5): 908-917. doi: 10.13700/j.bh.1001-5965.2016.0395
摘要:

针对液滴铺展和移动的动力学行为在工业生产和微流控芯片等领域有着重要作用,提出了一种基于超声行波理论的弹性体平板驱动模型,利用压电陶瓷的逆压电效应在弹性体玻璃产生超声行波从而驱动液滴运动。借助多物理场软件COMSOL建立液滴模型,首先进行行波分析,验证了驱动液滴的可行性。在0~60 ms中,液滴在超声行波的驱动下进行收缩-铺展的正弦振荡运动。然后通过液滴内部流场结构分析发现,当液滴半径铺展到最大后开始收缩时,液滴与基底接触面处的速度首先发生变化,表明液滴内部速度场的变化对接触线是否发生移动有着重要作用。液滴内部流场存在一个类似于椭圆形的漩涡,说明液滴运动不是单纯由于收缩-铺展而引起的平动,而是滚动着朝前运动。最后分别探讨了液滴移动速度与驱动电压、驱动频率以及动力黏度的关系,结果表明液滴移动速度受动力黏度影响较为显著。

氧在钒中基本热力学行为的第一性原理研究
桂漓江, 刘悦林
2017, 43(5): 918-926. doi: 10.13700/j.bh.1001-5965.2016.0357
摘要:

钒(V)是核聚变反应堆结构材料的重要候选材料。实验表明杂质氧(O)会对V的结构和力学性能产生极大的影响。采用基于密度泛函理论的第一性原理方法研究了O在V中热力学稳定性、扩散特性以及与缺陷空位的相互作用。O在V中易于占据八面体间隙位,其溶解能为-4.942 eV。O在间隙位的最佳扩散路径为八面体间隙位→四面体间隙位→八面体间隙位,扩散激活能为1.728 eV,在此基础上对不同温度下的扩散系数在文中给出了详细分析。O在V中与空位存在很强的吸引相互作用,1个O原子和2个O原子被空位捕获时的捕获能分别为-0.484 eV和-0.510 eV。当O原子的数量超过3,其捕获能变为正值0.382 eV,因此单空位最多能够结合2个O原子,这意味着“O1-vacancy”和“O2-vacancy”团簇在V中很容易形成。这些研究结果将对V基合金在核聚变反应堆中的最终应用具有一定的参考价值。

吸气式高超声速飞行器多参数灵敏度分析
鞠胜军, 阎超, 叶志飞
2017, 43(5): 927-934. doi: 10.13700/j.bh.1001-5965.2016.0354
摘要:

为实现吸气式高超声速飞行器多参数情况下的灵敏度分析及参数分类,降低设计的复杂度,在吸气式高超声速飞行器参数化建模的基础上,首先采用正交试验设计生成样本,再通过计算流体力学(CFD)进行高精度气动力性能计算,最后运用方差分析法进行气动性能的参数灵敏度分析,在运用较少的试验样本点的情况下,即可完成多参数、复杂构型条件下气动性能的参数灵敏度分析。结果表明,该方法可以正确地分析出参数对飞行器气动性能的敏感程度,得到参数对气动性能的影响规律。同时,通过灵敏度分析的计算样本,还可以初步选出气动性能较优的飞行器构型,为地面试验和优化设计提供参考。

航空铝合金材料腐蚀裂纹扩展性能试验
王池权, 熊峻江, 马少俊, 陈勃
2017, 43(5): 935-941. doi: 10.13700/j.bh.1001-5965.2016.0360
摘要:

腐蚀环境下的裂纹扩展性能是航空金属结构损伤容限设计的重要前提,为此,试验测定了3种航空铝合金材料(即2E12-T3、2E12-T42和7050-T7451) 在2种腐蚀环境(3.5wt% NaCl溶液和油箱积水)下的裂纹扩展性能,在试验数据的基础上进行性能对比,并对试样断口进行SEM分析,研究了腐蚀和载荷联合作用对裂纹扩展的影响机理,研究结果表明:油箱积水环境对航空铝合金材料裂纹扩展的影响比3.5wt% NaCl溶液严重,铝合金2E12-T3和2E12-T42的腐蚀裂纹扩展性能优于铝合金7050-T7451,腐蚀环境下的氢脆效应和阳极溶解机制是造成腐蚀裂纹扩展加速的主要原因。

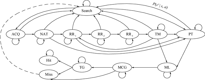
基于MDP的战机对抗导弹措施优化方法
宋海方, 肖明清, 陈游, 胡阳光
2017, 43(5): 942-950. doi: 10.13700/j.bh.1001-5965.2016.0381
摘要:

对战机对抗导弹的措施优化问题进行了研究,将该问题归结为不确定条件下的序贯决策问题,提出了一种基于Markov决策过程(MDP)的导弹对抗措施优化方法。首先, 该方法根据作战过程将作战阶段分为不同的状态,将电子对抗措施(ECM)和战术机动作为可供战机选择的行动;然后, 通过不同战术行动下状态之间的转移概率来反映行动的不确定性,以雷达搜索状态和导弹命中状态的期望值来表征不同策略下的飞机生存力;最后,通过建立Markov决策模型得到飞机生存力最大时各个状态对应的最佳行动。仿真结果表明:飞机生存力随着时间推移而逐渐降低;不同策略下飞机的生存力不同,基于MDP的策略可以有效提高飞机的生存力;单步优化措施不能提高战机的生存力,必须考虑长期状态转移的影响。

非完美特性下的多状态系统检测与维修优化
李志栋, 张涛
2017, 43(5): 951-960. doi: 10.13700/j.bh.1001-5965.2016.0386
摘要:

对于带有周期检测的系统进行维修优化时,不仅需要考虑系统自身可靠性信息,还应该充分利用检测数据并优化检测周期。以多状态并联可修系统为研究对象,考虑非完美检测和非完美维修,以降低系统运行成本率为目标实现系统检测和维修优化。利用非齐次马尔可夫链建立系统可靠性模型,对系统退化、检测和维修进行蒙特卡罗仿真。利用粒子滤波融合系统模型与检测数据并估计系统剩余寿命。设置寿命相关门限触发系统维修,以成本率期望仿真结果为目标函数,使用遗传算法优化检测周期和维修阈值。通过算例证明该方法可有效克服检测误差并实现检测和维修优化。

多弱连接扇形超流体干涉栅陀螺的性能分析
赵玉龙, 沈怀荣, 任元, 邵琼玲
2017, 43(5): 961-968. doi: 10.13700/j.bh.1001-5965.2016.0432
摘要:

针对传统超流体干涉栅陀螺中梯度热相位的引入使得角速度信息被无用信息淹没而不易提取的突出问题,提出了一种无梯度热相位的多弱连接扇形超流体干涉栅陀螺结构,并对该陀螺的精度和灵敏度性能进行了深入的研究。首先在明晰了干涉栅结构中梯度热相位形成机理的基础上,设计了无梯度热相位且相邻干涉环路面积相等的新型干涉栅陀螺结构。其次建立了该陀螺的数学模型,验证了陀螺敏感角速度的过程。最后对该系统的角速度检测范围和灵敏度进行了深入分析,探究了敏感面积、薄膜面积、约瑟夫森频率、微孔数目和弱连接数对超流体干涉栅陀螺检测角速度的影响,通过仿真对比分析,验证了该结构陀螺的超高精度、超高灵敏度性能。

壁面喷射当量比对支板凹腔耦合燃烧的影响
韩啸, 林宇震, 张弛, 王建臣
2017, 43(5): 969-974. doi: 10.13700/j.bh.1001-5965.2016.0352
摘要:

在纯净空气来流条件下,对于全高后掠支板与凹腔耦合的燃烧室,采用分级喷射供油,对比研究了壁面喷射当量比对壁面压力和燃烧性能的影响。结果表明:在支板喷射当量比一定的情况下,随着壁面喷射当量比增加,壁面静压峰值升高,静压开始提升的位置向上游移动,总当量比达到1.1时发生溢流;一维分析表明,马赫数在支板附近降到1以下,在凹腔处达到0.5左右,在出口扩张段恢复至1以上,燃烧室处于亚燃模态;燃烧性能方面,保持支板喷射当量比一定,随着壁面喷射当量比的增加,总压恢复系数提高,出口总温增加,燃烧效率降低。

复杂装备研制项目的风险源识别
张凡, 魏法杰, 李权葆
2017, 43(5): 975-980. doi: 10.13700/j.bh.1001-5965.2016.0368
摘要:

大型复杂装备研制项目高风险与参研单位多的特点使得研制过程中风险传导时有发生。针对风险传导要素风险源的识别问题,提出了一种基于关联规则(AR)与决策实验室分析法(DEMATEL)的风险源识别方法。该方法从数据挖掘的角度,先求解出风险类型与风险因素的关联规则,再求解出风险源之间的影响程度,最后通过DEMATEL得到各风险源相关参数。并且对某参研单位数据库中某阶段的数据用此方法完成了风险源的识别,识别结果显示了各风险类型对应的风险源以及易导致研制项目发生风险传导的风险源。

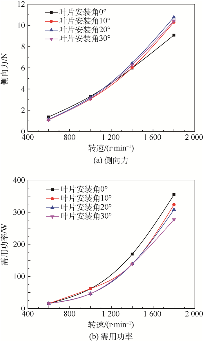
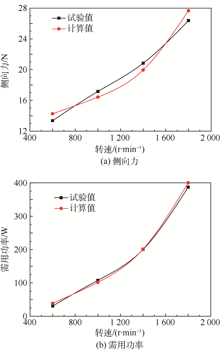
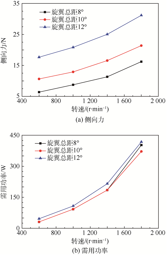
基于横流风扇技术的直升机反扭验证
杜思亮, 吉孟江, 唐正飞, 陈仁良
2017, 43(5): 981-991. doi: 10.13700/j.bh.1001-5965.2016.0394
摘要:

为了提高单旋翼带尾桨直升机的低空飞行安全性,利用横流风扇流动控制技术,设计了一种可以替代单旋翼直升机尾桨的反扭装置。通过风洞试验验证了该装置具有产生侧向力的特性,同时建立了该装置的数值模拟计算方法,得出了横流风扇转速、旋翼下洗流和前飞来流对该反扭装置的气动特性影响较大,初步分析了该反扭装置的侧向力的来源,证明了可以通过控制横流风扇转速来控制反扭装置侧向力的大小,因此应用于直升机的反扭系统是可行的。

激光多普勒测速系统自适应阈值检测算法
黄鑫, 胡姝玲, 牛燕雄, 李晓佩, 李军, 刘冬雪
2017, 43(5): 992-997. doi: 10.13700/j.bh.1001-5965.2016.0320
摘要:

信号检测是激光多普勒测速(LDV)系统实现高精度的关键技术,针对LDV中微弱多普勒信号的检测,本文从噪声在频域中的统计特性出发,对多普勒信号进行带阻滤波,结合雷达的恒虚警(CFAR)检测技术,设计了基于频域的单元平方和自适应阈值检测算法以解决在低信噪比(SNR)的环境中LDV的信号检测问题,提高LDV的信号探测能力,同时降低其虚警概率。仿真与实验的结果表明:该算法与固定阈值相比可以在SNR为-12 dB时实现信号的完全检测,保持低虚警概率,运算简单,工程适用性强。

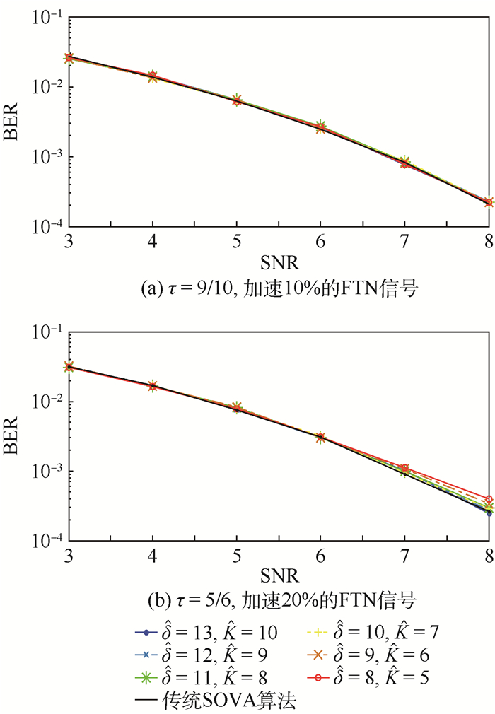
基于SOVA的低复杂度FTN信号接收算法
张晨宇, 刘荣科
2017, 43(5): 998-1003. doi: 10.13700/j.bh.1001-5965.2016.0351
摘要:

超奈奎斯特(FTN)传输技术是一种高频谱效率的信号传输方式。针对FTN信号存在的码间串扰,基于软输出维特比算法(SOVA)提出FTN信号的低复杂度接收算法。根据幸存路径和竞争路径的判决结果,动态地调整每个时刻回溯过程的比较次数,降低比较次数平均值。在实际应用中,根据不影响误码性能的统计经验值直接截短回溯路径的长度。直接截短回溯深度算法可在不恶化误码率(BER)的前提下,降低比较运算次数2/3,同时减少回溯过程所需寄存器资源和延时50%以上。

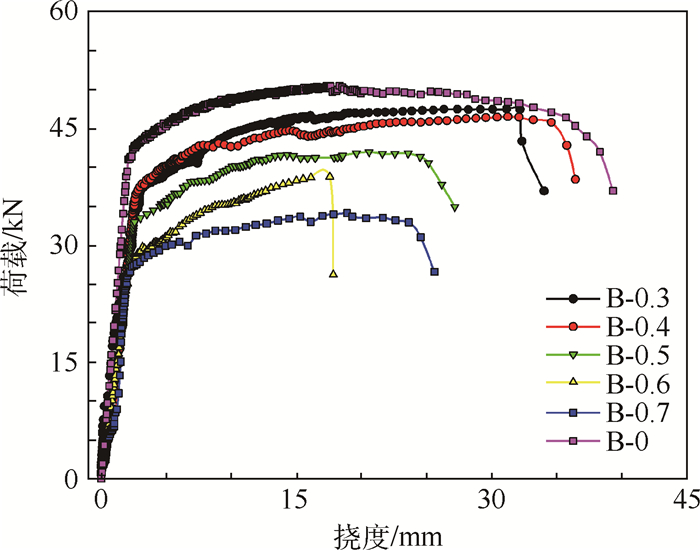
海水干湿循环对初始损伤RC梁力学性能的影响
庞森, 刁波, 叶英华, 王鑫, 陈树鑫
2017, 43(5): 1004-1012. doi: 10.13700/j.bh.1001-5965.2016.0401
摘要:

沿海环境下的钢筋混凝土(RC)结构处于荷载作用和环境作用同时存在的工作状态且在正常条件下会出现不同程度的荷载损伤。为了在实验室内模拟其工作状态,对RC梁试件施加幅值分别为0.3Pu、0.4Pu、0.5Pu、0.6Pu和0.7Pu(Pu为单调加载梁的极限荷载)的初始荷载造成不同程度的损伤,经历120次海水干湿循环作用后,进行单调加载试验测试剩余力学性能,并对梁试件钻芯取样测试不同位置及深度处混凝土的氯离子含量。试验结果表明,不同程度初始损伤RC梁经历120次海水干湿循环后,其屈服荷载、极限荷载和延性均随初始荷载幅值的增加而降低;与无损伤梁试件相比,当初始损伤荷载为0.4Pu时,梁试件的屈服荷载和极限荷载降幅分别为10.4%和7.9%,随着初始荷载增大,屈服荷载和极限荷载快速下降,当初始损伤荷载为0.7Pu时,屈服荷载和极限荷载降幅分别达33.7%和32.4%。氯离子含量测试结果表明,梁试件混凝土受拉区氯离子含量均大于受压区氯离子含量;当初始损伤荷载小于0.5Pu时,受拉钢筋表面混凝土的氯离子含量差别不大且小于0.1%,当初始损伤荷载为0.7Pu时, 钢筋表面氯离子含量最大达到0.14%。可见,初始荷载损伤与海水干湿循环综合作用对RC梁力学性能及耐久性劣化影响显著。

导弹自主编队综合作战效能评估方法
贾翔, 吴森堂, 文永明, 吴晓龙
2017, 43(5): 1013-1022. doi: 10.13700/j.bh.1001-5965.2016.0406
摘要:

针对导弹自主编队协同制导与控制技术的综合作战效能评估问题,引入了协同制导与控制能力等级(CGCL)的概念,并结合层次分析法(AHP)和ADC效能评估模型建立了导弹自主编队综合作战效能的分析模型,分析了导弹自主编队典型作战想定下导弹编队成员的协同突防概率、交班成功率、命中概率和毁伤概率,分析过程充分考虑了导弹自主编队作战的能力和特点,并在搭建的导弹自主编队攻防对抗综合仿真验证系统上分析和验证了其有效性,为定量地分析导弹自主编队的综合作战效能提供了快速可靠的计算方法。

飞翼布局飞机侧风起降特性
丛斌, 王立新
2017, 43(5): 1023-1030. doi: 10.13700/j.bh.1001-5965.2016.0458
摘要:

飞翼布局飞机的动态特性与常规飞机相差较大,在侧风起降过程中呈现出新的运动特性。对侧风起降过程中飞翼布局飞机的配平特性与响应特性进行了计算与分析,掌握了其区别于常规飞机的特点,侧风对飞翼布局飞机起降安全影响最严重为侧翻效应;结合新型操纵舵面的操纵特性与使用特性,对飞翼布局飞机起降阶段的效能需求开展了分析;通过对常用的侧风操纵策略进行了仿真计算与对比分析,提出了适用于飞翼布局飞机的侧风起降操纵策略。

卫星天线复合材料框架的铺层优化设计
陶扬, 王春洁, 付志方
2017, 43(5): 1031-1037. doi: 10.13700/j.bh.1001-5965.2016.0392
摘要:

为了改善卫星天线复合材料框架的结构动力学性能,提出了一种针对卫星天线框架复合材料铺层的两阶段优化设计方法。阶段Ⅰ以各铺层的角度为设计变量进行铺层顺序优化,框架基频的最大化为优化目标,铺层数的最大值为约束条件。其中设计变量用一种多进制码来表示,并将多进制码映射为连续变量,应用粒子群优化(PSO)算法对阶段Ⅰ优化模型进行求解。在阶段Ⅰ优化结果的基础上,阶段Ⅱ主要是优化复合材料的层数,以基频最大化与质量最小化为优化目标建立多目标拓扑优化模型,应用第2代非劣排序遗传算法(NSGA-Ⅱ)进行求解。为了验证该方法的有效性,对某大型卫星天线复合材料框架进行优化设计,结果表明:该方法能有效地减小天线板复合材料框架的质量,并提高基频。

空间大载荷石蜡驱动器研制
张顺杰, 王露斯, 聂超, 何咏, 张小勇, 闫晓军
2017, 43(5): 1038-1044. doi: 10.13700/j.bh.1001-5965.2016.0399
摘要:

石蜡驱动器是当前空间非火工驱动器技术领域的研究热点,现有的空间石蜡驱动器主要采用弹性鞘挤压原理,具有摩擦力大、驱动力小等问题。本文针对这些问题,发展了活塞式空间大载荷石蜡驱动器,该驱动器通过活塞结构有效增大了石蜡液压对驱动杆的作用面积,大幅提高了驱动力;通过双层密封设计和复位弹簧设计,确保了驱动器的密封及复位性能。为了验证该方案,完成了原理样机的制造,开展了摩擦力测试、功能测试、寿命测试等试验。结果表明,采用载荷范围为85~165 N的复位弹簧能推动活塞克服系统摩擦力进行复位,保证了驱动器的自动复位功能;在额定功率40 W(额定电压12 V)下,驱动器的输出位移为6.9 mm,响应时间为20 min,驱动力超过300 N。寿命试验表明,该驱动器寿命超过100次,多次输出位移稳定性好(7 mm左右波动);驱动器密封性能优秀,经历100次作动后,未发现石蜡泄漏。

基于经验模态分解的点云数据平滑与增强
郭立新, 王小超, 郝爱民
2017, 43(5): 1045-1052. doi: 10.13700/j.bh.1001-5965.2016.0370
摘要:

在计算机辅助设计与逆向工程应用中,针对缺乏拓扑连接关系的点云数据,提出了基于经验模态分解(EMD)的点云数据平滑与增强算法。首先,以点云模型的拉普拉斯矩阵坐标与法向的内积作为EMD输入信号,提取点云模型输入信号的极值点作为插值节点计算信号的上下包络;然后,为实现特征保持的EMD信号分解,通过检测点云数据上特征点,并在计算信号上下包络的过程中作为约束,克服传统EMD算法无法保持特征的局限;最后,迭代地从输入信号中减去上下包络的均值得到内蕴模态函数(IMF)和余量,并通过设计滤波器实现了点云数据平滑和增强。实验结果表明, 本文算法有效地将EMD推广到三维散乱点云数据中, 扩大EMD在三维几何中的应用范围,并在点云数据平滑和增强方面取得了很好的效果。

软体弯曲驱动器设计与建模
王华, 康荣杰, 王兴坚, 戴建生
2017, 43(5): 1053-1060. doi: 10.13700/j.bh.1001-5965.2016.0364
摘要:

与传统的“刚性”机器人相比,基于仿生学启发的软体机器人由于其与生俱来的柔顺性和安全性受到广泛关注。然而,此类软体机器人驱动器的设计与控制目前仍缺少理论指导。针对这些问题,设计了一种由气压驱动的可实现弯曲运动的新型软体驱动器,在系统分析其结构和弯曲原理的基础上,利用几何方法和虚功原理建立了其数学模型,并且通过有限元模型和原理样机实验验证了数学模型的有效性,为软体机器人驱动器的优化设计和控制提供了依据。

常见问答