Volume 51 Issue 1
Jan.  2025
Turn off MathJax
Article Contents
PANG B W,ZHU J W,BAO W M,et al. High dynamic cooperative topology online optimization and distributed guidance method[J]. Journal of Beijing University of Aeronautics and Astronautics,2025,51(1):333-339 (in Chinese) doi: 10.13700/j.bh.1001-5965.2022.1025
Citation: PANG B W,ZHU J W,BAO W M,et al. High dynamic cooperative topology online optimization and distributed guidance method[J]. Journal of Beijing University of Aeronautics and Astronautics,2025,51(1):333-339 (in Chinese) doi: 10.13700/j.bh.1001-5965.2022.1025

High dynamic cooperative topology online optimization and distributed guidance method

doi: 10.13700/j.bh.1001-5965.2022.1025
Funds:

National Natural Science Foundation of China (62173336) 

More Information
  • Corresponding author: E-mail:zhujianwen1117@163.com
  • Received Date: 31 Dec 2022
  • Accepted Date: 04 Mar 2023
  • Available Online: 07 Apr 2023
  • Publish Date: 06 Apr 2023
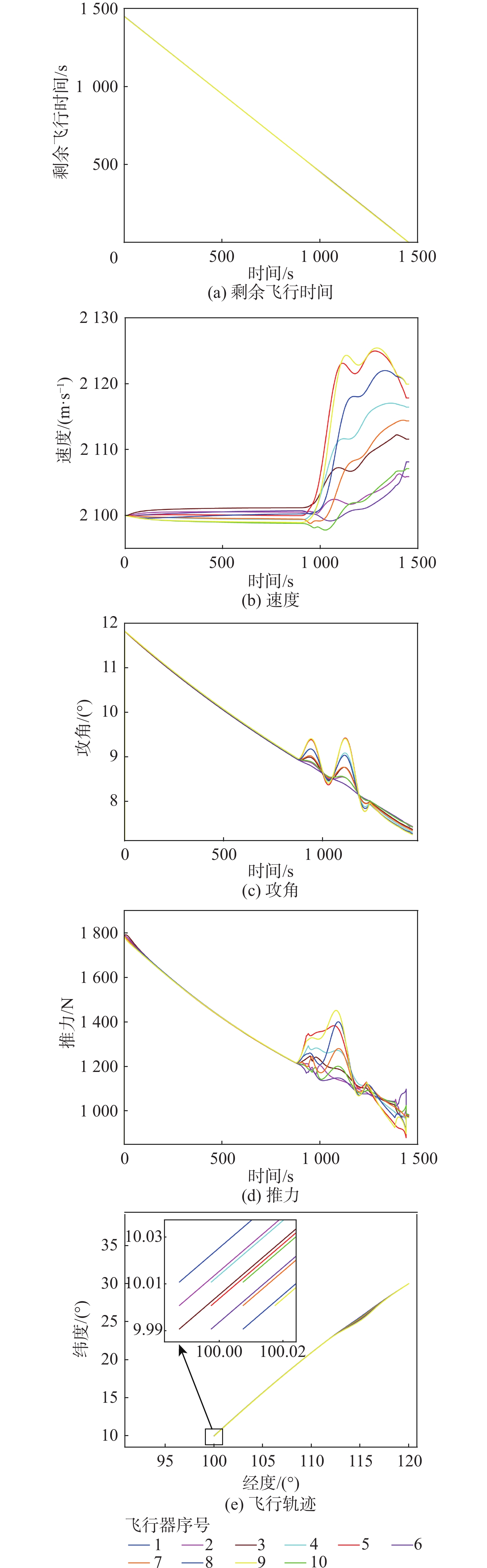
  • In order to solve the distributed cooperative guidance problem in the flight process of a high-velocity aircraft swarm, this paper proposed an adaptive topology optimization and guidance algorithm based on a minimum spanning tree. The algorithm constructed the topology graph of the communication link of the aircraft swarm, quantified the distance as the weight according to the communication cost, and generated the optimal communication topology graph in real time through the idea of the Kruskal algorithm in the minimum spanning tree. This paper adopted the distributed two-layer cooperative guidance framework and multi-center distributed topology optimization decision-making method and compensated for the consistent variables in the consensus cooperative control law, so as to realize the topology adaptive optimization and control in the cooperative flight of aircraft swarm. Simulation results verify the effectiveness and excellent performance of the proposed algorithm.

     

  • loading
  • [1]
    陈新庄, 郭志伟, 李江荣. 一阶一致性收敛速率的拓扑优化方法综述[J]. 延安大学学报(自然科学版), 2022, 41(2): 42-51.

    CHEN X Z, GUO Z W, LI J R. An overview of topology optimization for improving the convergence rate of first-order consensus protocols[J]. Journal of Yanan University (Natural Science Edition), 2022, 41(2): 42-51(in Chinese).
    [2]
    杨彦祥. 无人机集群拓扑构型关键技术研究[D]. 成都: 电子科技大学, 2022.

    YANG Y X. Research on key technologies of UAV cluster topology configuration[D]. Chengdu: University of Electronic Science and Technology of China, 2022(in Chinese).
    [3]
    马丹, 张宝峰, 王璐瑶. 多智能体系统一致性问题的控制器与拓扑协同优化设计[J]. 控制理论与应用, 2019, 36(5): 720-727. doi: 10.7641/CTA.2018.70950

    MA D, ZHANG B F, WANG L Y. Controller and topology co-optimization for consensus of multi-agent systems[J]. Control Theory & Applications, 2019, 36(5): 720-727(in Chinese). doi: 10.7641/CTA.2018.70950
    [4]
    REN W. Consensus strategies for cooperative control of vehicle formations[J]. IET Control Theory & Applications, 2007, 1(2): 505-512.
    [5]
    GIULIETTI F, POLLINI L, INNOCENTI M. Autonomous formation flight[J]. IEEE Control Systems Magazine, 2000, 20(6): 34-44. doi: 10.1109/37.887447
    [6]
    董文奇, 何锋. 大规模 UAV编队信息交互拓扑的分级分布式生成[J]. 航空学报, 2021, 42(6): 452-462.

    DONG W Q, HE F. Hierarchical and distributed generation of information interaction topology for large scale UAV formation[J]. Acta Aeronautica et AstronauticaSinica, 2021, 42(6): 452-462(in Chinese).
    [7]
    冉华明, 熊蓉玲. 空战中机群编队分层优化算法[J]. 航空学报, 2020, 41(S2): 44-52.

    RAN H M, XIONG R L. Hierarchical optimization algorithm for air fleet formation in air-combat[J]. Acta Aeronautica et Astronautica Sinica, 2020, 41(S2): 44-52(in Chinese).
    [8]
    罗小元, 杨帆, 李绍宝, 等. 多智能体系统的最优持久编队生成策略[J]. 自动化学报, 2014, 40(7): 1311-1319.

    LUO X Y, YANG F, LI S B, et al. Generation of optimally persistent formation for multi-agent systems[J]. Acta Automatica Sinica, 2014, 40(7): 1311-1319(in Chinese).
    [9]
    WANG G Q, LUO H, HU X X. Generation of optimal persistent formations for heterogeneous multi-agent systems with a leader constraint[J]. Chinese Physics B, 2018, 27(2): 028901. doi: 10.1088/1674-1056/27/2/028901
    [10]
    WANG G Q, LUO H, HU X X, et al. Communication topology optimization for three-dimensional persistent formation with leader constraint[J]. Optimization Letters, 2021, 15(2): 513-535. doi: 10.1007/s11590-018-1308-0
    [11]
    罗贺, 李晓多, 王国强. 能耗均衡的三维最优持久编队通信拓扑生成[J]. 航空学报, 2022, 43(1): 514-531. doi: 10.7527/j.issn.1000-6893.2022.1.hkxb202201039

    LUO H, LI X D, WANG G Q. Energy-balanced communication topology generation of three-dimensional optimally persistent formation[J]. Acta Aeronautica et Astronautica Sinica, 2022, 43(1): 514-531(in Chinese). doi: 10.7527/j.issn.1000-6893.2022.1.hkxb202201039
    [12]
    徐星光, 王晓峰, 姚璐, 等. 固定翼无人机编队构型与通信拓扑优化[J]. 系统工程与电子技术, 2022, 44(9): 2936-2946. doi: 10.12305/j.issn.1001-506X.2022.09.29

    XU X G, WANG X F, YAO L, et al. Formation configuration and communication topology optimization for fixed-wing UAVs[J]. Systems Engineering and Electronics, 2022, 44(9): 2936-2946(in Chinese). doi: 10.12305/j.issn.1001-506X.2022.09.29
    [13]
    崔亚妮, 任佳, 杜文才, 等. 多无人船通信网络拓扑优化控制算法[J]. 控制理论与应用, 2016, 33(12): 1639-1649. doi: 10.7641/CTA.2016.60473

    CUI Y N, REN J, DU W C, et al. Network topology optimization control algorithm for multiple unmanned surface vehicle[J]. Control Theory & Applications, 2016, 33(12): 1639-1649(in Chinese). doi: 10.7641/CTA.2016.60473
    [14]
    QU G N, LI N. Accelerated distributed nesterov gradient descent[J]. IEEE Transactions on Automatic Control, 2020, 65(6): 2566-2581. doi: 10.1109/TAC.2019.2937496
    [15]
    庞博文, 朱建文, 包为民, 等. 通信长时间中断的分布式自主协同制导策略[J]. 战术导弹技术, 2022(4): 69-77.

    PANG B W, ZHU J W, BAO W M, et al. Distributed autonomous cooperative guidance strategy for long time communication interruption[J]. Tactical Missile Technology, 2022(4): 69-77(in Chinese).
    [16]
    BONDY J A, MURTY U S R. Graph theory[M]. London: Springer London, 2008.
    [17]
    ZHU J W, LIU L H, TANG G J, et al. Optimal guidance with multi-targets for hypersonic vehicle in dive phase[C]// 2013 6th International Conference on Recent Advances in Space Technologies (RAST). Piscataway: IEEE Press, 2013: 341-346.
  • 加载中

Catalog

    通讯作者: 陈斌, bchen63@163.com
    • 1. 

      沈阳化工大学材料科学与工程学院 沈阳 110142

    1. 本站搜索
    2. 百度学术搜索
    3. 万方数据库搜索
    4. CNKI搜索

    Figures(6)  / Tables(1)

    Article Metrics

    Article views(700) PDF downloads(21) Cited by()
    Proportional views
    Related

    /

    DownLoad:  Full-Size Img  PowerPoint
    Return
    Return