Volume 45 Issue 11
Nov.  2019
Turn off MathJax
Article Contents
MENG Qingliang, ZHANG Huandong, ZHAO Zhenming, et al. Transient numerical simulations of flow rate into and out of two-phase temperature control accumulator[J]. Journal of Beijing University of Aeronautics and Astronautics, 2019, 45(11): 2160-2169. doi: 10.13700/j.bh.1001-5965.2019.0094(in Chinese)
Citation: MENG Qingliang, ZHANG Huandong, ZHAO Zhenming, et al. Transient numerical simulations of flow rate into and out of two-phase temperature control accumulator[J]. Journal of Beijing University of Aeronautics and Astronautics, 2019, 45(11): 2160-2169. doi: 10.13700/j.bh.1001-5965.2019.0094(in Chinese)

Transient numerical simulations of flow rate into and out of two-phase temperature control accumulator

doi: 10.13700/j.bh.1001-5965.2019.0094
Funds:

National Natural Science Foundation of China 51806010

More Information
  • Corresponding author: MENG Qingliang.E-mail: qlmeng@mail.ustc.edu.cn
  • Received Date: 12 Mar 2019
  • Accepted Date: 21 Apr 2019
  • Publish Date: 20 Nov 2019
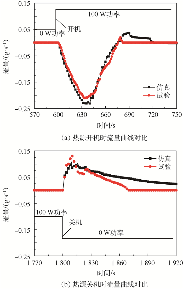
  • Two-phase temperature control accumulator (hereinafter referred to as accumulator) is the key component of mechanically pumped two-phase loop (MPTL) system, which acts like the brain of MPTL system. The accumulator has the functions of storage and supplying of working fluid, gas-liquid separation and precise temperature controlling. In order to study the dynamic behavior of heat and mass transfer between accumulator and MPTL system in response to heat load variations, a transient numerical simulation model is developed for MPTL system by using the Navier-Stokes equations. By comparison between simulation and test results, it is found that the flow rate error of numerical model is in the range of ±10%, which verifies the validity and accuracy of the model. The simulation results show that accumulator will exchange fluid with the main loop in response to heat load variations. In this case, the temperature and pressure of two-phase fluid in accumulator, and the total system flow resistance will be affected. The rate and amount of mass transfer between accumulator and main loop will increase with the increase of heat power, and the same increase will occur for the variation trend of temperature and pressure of two-phase fluid in the accumulator. The model can be used to study the variation characteristics of flow rate, temperature, and quality under different operating conditions, which can also be used to design MPTL system and to predict the system characteristics before a system has been built.

     

  • loading
  • [1]
    JOHANES V E, GERNER V H J, BENTHEM V R C, et al.Component developments in Europe for mechanically pumped loop systems(MPLS) for cooling applications in space[C]//46th International Conference on Environmental Systems, 2016: 1-14.
    [2]
    鲁盼, 赵振明, 颜吟雪.高分辨率遥感相机CCD器件精密热控制[J].航天返回与遥感, 2014, 35(4):59-66. doi: 10.3969/j.issn.1009-8518.2014.04.008

    LU P, ZHAO Z M, YAN Y X.Precise thermal control of CCD in high resolution remote sensing[J].Spacecraft Recovery & Remote Sensing, 2014, 35(4):59-66(in Chinese). doi: 10.3969/j.issn.1009-8518.2014.04.008
    [3]
    童叶龙, 李国强, 余雷, 等.CCD组件的热分析和热实验[J].航天返回与遥感, 2014, 35(5):46-53. doi: 10.3969/j.issn.1009-8518.2014.05.007

    TONG Y L, LI G Q, YU L, et al.Heat dissipation and precise temperature control for high-power CCD assembly[J].Spacecraft Recovery & Remote Sensing, 2014, 35(5):46-53(in Chinese). doi: 10.3969/j.issn.1009-8518.2014.05.007
    [4]
    ELLIS M C, KURWITZ R C.Development of a pumped two-phase system for spacecraft thermal control[C]//46th International Conference on Environmental Systems, 2016: 1-16.
    [5]
    OREN J A.Study of thermal management for space platform applications: NASA CR-165307[R].Washington, D.C.: NASA, 1981.
    [6]
    STALMACH D D, OREN J A.Systems evaluation of thermal bus concepts: NASA CR-167774[R].Washington, D.C.: NASA, 1982.
    [7]
    HASLETT B.Space station technology 1983: NASA CP-2293[R].Washington, D.C.: NASA, 1983.
    [8]
    DELIL A A M.Some considerations concerning two-phase flow thermal bus systems for spacecraft: NLR-RL-84-028[R].Amsterdam: NLR, 1984.
    [9]
    RYOSUKE F, MASATAKA Y, MASAYUKI N, et al.Experiment configuration and preliminary results of two-phase fluid loop experiment (TPFLEX)-STS-85 mission payload[J].Acta Astronautica, 2002, 50(4):217-224. doi: 10.1016/S0094-5765(01)00159-X
    [10]
    BLECLNOV S M, DESYATOV A K, VEZHNEVETS P D, et al.Experimental flight facility-two-phase heat transfer model in the Russian segment of the international space station[C]//Proceedings of Aviation and Spacecraft Industry and Technology, 1999: N13.
    [11]
    JOHANES V E, PAUW A, DONK G V.AMS02 tracker thermal control cooling system test results of the AMS02 thermal vacuum test in the LSS at ESA ESTEC[C]//42nd International Conference on Environmental system, 2012: 1-14.
    [12]
    于新刚, 徐侃, 苗建印, 等.高热流散热泵驱两相流体回路设计及飞行验证[J].宇航学报, 2017, 38(2):192-197. doi: 10.3873/j.issn.1000-1328.2017.02.011

    YU X G, XU K, MIAO J Y, et al.Design and on-board validation of pumped two-phase fluid loop for high heat flux removal[J].Journal of Astronautics, 2017, 38(2):192-197(in Chinese). doi: 10.3873/j.issn.1000-1328.2017.02.011
    [13]
    JONI T.Modeling a two-phase mechanically pumped loop[D].Enscheda: University of Twente, 2014: 14-26.
    [14]
    HUANG Z C, HE Z H, MO D C, et al.Coupling between an accumulator and a loop in a mechanically pumped carbon dioxide two-phase loop[J].Microgravity Science and Technology, 2011, 21(Supp1):23-29.
    [15]
    莫冬传, 黄臻成, VAN ES J, 等.机械泵驱动两相环路热控系统的储液器与主回路耦合特性分析[C]//中国工程热物理学会多相流学术会议, 2012: 1206124.

    MO D C, HUANG Z C, VAN ES J, et al.Coupling properties between accumulator and main loop of mechanically pumped two phase loop[C]//Chinese Society of Engineering Thermophysics Multiphase Flow Conference, 2012: 1206124(in Chinese).
    [16]
    VAN GERNER H J, BRAAKSMA N.Transient modelling of pumped two-phase cooling systems: Comparison between experiment and simulation[C]//46th International Conference on Environmental Systems, 2016: 1-15.
    [17]
    VAN GERNER H J, BOLDER H J, BOLDER R, et al.Transient modelling of pumped two-phase cooling systems: Comparison between experiment and simulation with R134a[C]//47th International Conference on Environmental Systems, 2017: 1-10.
    [18]
    庄礼贤, 尹协远, 马晖扬.流体力学[M].2版.合肥:中国科学技术大学出版社, 2009:65-89.

    ZHUANG L X, YIN X Y, MA H Y.Fluid mechanics[M].2nd ed.Hefei:University of Science and Technology of China Press, 2009:65-89(in Chinese).
    [19]
    陶文铨.数值计算传热学的近代进展[M].北京:科学出版社, 2000:181-192.

    TAO W Q.Advances in computational heat transfer[M].Beijing:Science Press, 2000:181-192(in Chinese).
    [20]
    FRIEDEL L.Improved friction pressure drop correlation for horizontal and vertical two-phase pipe flow[C]//European Two-Phase Flow Group Meeting, 1979: 485-492.
    [21]
    弗兰克P.英克鲁佩勒, 大卫P.德维特, 狄奥多尔L.伯格曼, 等.传热和传质基本原理[M].葛新石, 叶宏, 译.北京: 化学工业出版社, 2011: 297-332.

    INCROPERA F P, DEWITT D P, BERGMAN T L, et al.Fundamentals of heat and mass transfer[M].GE X S, YE H, translated.Beijing: Chemical Industry Press, 2011: 297-332(in Chinese).
    [22]
    SHAH M M.Prediction of heat transfer during boiling of cryogenics fluids flowing in tubes[J].Cryogenics, 1984, 24(5):231-236. doi: 10.1016/0011-2275(84)90148-6
    [23]
    LEONID V J, MARCO M, CLAUDIO F.Advanced design of a "low-cost" loop heat pipe[C]//39th International Conference on Environmental Systems, 2009: 1-12.
  • 加载中

Catalog

    通讯作者: 陈斌, bchen63@163.com
    • 1. 

      沈阳化工大学材料科学与工程学院 沈阳 110142

    1. 本站搜索
    2. 百度学术搜索
    3. 万方数据库搜索
    4. CNKI搜索

    Figures(13)  / Tables(1)

    Article Metrics

    Article views(1482) PDF downloads(551) Cited by()
    Proportional views
    Related

    /

    DownLoad:  Full-Size Img  PowerPoint
    Return
    Return