Volume 44 Issue 12
Dec.  2018
Turn off MathJax
Article Contents
XIANG Kaiheng, LI Renjie, CHEN Yanget al. Launch window of space fly-by based on surrogate model[J]. Journal of Beijing University of Aeronautics and Astronautics, 2018, 44(12): 2613-2620. doi: 10.13700/j.bh.1001-5965.2018.0264(in Chinese)
Citation: XIANG Kaiheng, LI Renjie, CHEN Yanget al. Launch window of space fly-by based on surrogate model[J]. Journal of Beijing University of Aeronautics and Astronautics, 2018, 44(12): 2613-2620. doi: 10.13700/j.bh.1001-5965.2018.0264(in Chinese)

Launch window of space fly-by based on surrogate model

doi: 10.13700/j.bh.1001-5965.2018.0264
More Information
  • Corresponding author: XIANG Kaiheng, E-mail: xiangkaiheng@spacechina.com
  • Received Date: 08 May 2018
  • Accepted Date: 28 Jul 2018
  • Publish Date: 20 Dec 2018
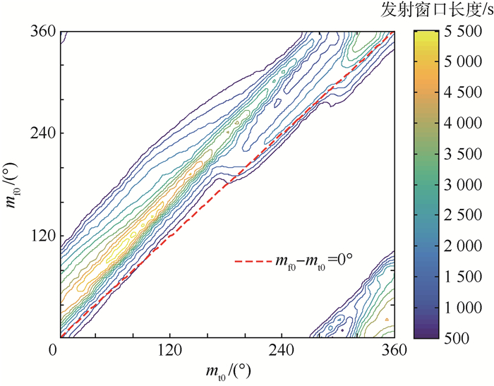
  • In order to analyze the influence of initial positions on the launch window in space fly-by problem efficiently, the process of space fly-by was studied firstly in this paper. Then, a numerical method to calculate the launch window under different initial conditions was proposed. For improving calculation efficiency, surrogate model technology was studied, including sample points selection methods, surrogate models construction methods, and accuracy assessment methods. On the basis, two models, radial basis function (RBF) model and Kriging model, were compared. The results show that RBF model is more accurate for the problem in this paper. So it was applied to calculate launch windows under different conditions, which costs only 0.29% of the time that the true model costs, and the accuracy meets requirement. The results prove that using surrogate models can efficiently analyze the influence of initial conditions on the launch window, which will provide valuable theoretical foundation and reference for the orbital planning and design of space fly-by missions.

     

  • loading
  • [1]
    田野.空间目标飞越式抵近观察制导方法研究[D].长沙: 国防科学技术大学, 2010: 1-2.

    TIAN Y.Study on guidance methods of fly-by approaching observation of space target[D].Changsha: National University of Defense Technology, 2010: 1-2(in Chinese).
    [2]
    黄江川, 王晓磊, 孟林智, 等.嫦娥二号卫星飞越4179小行星工程参数分析[J].中国科学:技术科学, 2013, 43(6):596-601.

    HUANG J C, WANG X L, MENG L Z, et al.Analysis of engineering parameters of CE-2 fly-by 4179 asteroid[J].Science China:Technology Science, 2013, 43(6):596-601(in Chinese).
    [3]
    李广华.近旁飞越航天器末制导方法研究[D].长沙: 国防科学技术大学, 2011: 1.

    LI G H.Study on terminal guidance of flyby spacecraft[D].Changsha: National University of Defense Technology, 2011: 1(in Chinese).
    [4]
    MATSUMOTO S, DUBOWSKY S, JACOBSEN S, et al.Fly-by approach and guidance for uncontrolled rotating satellite capture[C]//AIAA Guidance Navigation and Control Conference and Exhibit.Reston: AIAA, 2003: 1-10.
    [5]
    郝瑞, 孟云鹤, 郭胜鹏.多约束航天器飞越式接近的两级运动规划方法[J].上海航天, 2015, 32(3):16-21. doi: 10.3969/j.issn.1006-1630.2015.03.004

    HAO R, MENG Y H, GUO S P.Two-stage motion planning method for fly-by approach of spacecraft with multiple constraints[J].Aerospace Shanghai, 2015, 32(3):16-21(in Chinese). doi: 10.3969/j.issn.1006-1630.2015.03.004
    [6]
    刘磊, 刘勇, 曹建峰, 等."嫦娥二号"探测小行星任务转移轨道设计[J].宇航学报, 2014, 35(3):262-268. doi: 10.3873/j.issn.1000-1328.2014.03.003

    LIU L, LIU Y, CAO J F, et al.Mission design of the CHANG'E-2 asteroid exploration[J].Journal of Astronautics, 2014, 35(3):262-268(in Chinese). doi: 10.3873/j.issn.1000-1328.2014.03.003
    [7]
    闫循良, 廖守亿, 张金生, 等.天基发射方案与规划策略仿真研究[J].计算机仿真, 2013, 30(9):83-87. doi: 10.3969/j.issn.1006-9348.2013.09.019

    YAN X L, LIAO S Y, ZHANG J S, et al.Space-based launch scheme and planning strategy simulation[J].Computer Simulation, 2013, 30(9):83-87(in Chinese). doi: 10.3969/j.issn.1006-9348.2013.09.019
    [8]
    王宇.基于不确定性的优化方法及其在飞机设计中的应用[D].南京: 南京亚洲成人在线一二三四五六区, 2010: 18.

    WANG Y.Uncertainty-based optimization method and its application in aircraft design[D].Nanjing: Nanjing University of Aeronautics and Astronautics, 2010: 18(in Chinese).
    [9]
    王琦, 丁运亮, 陈昊.基于多级代理模型的优化算法[J].南京亚洲成人在线一二三四五六区学报, 2008, 40(4):501-506. doi: 10.3969/j.issn.1005-2615.2008.04.017

    WANG Q, DING Y L, CHEN H.Simulation optimization based on multilevel-surrogate models[J].Journal of Nanjing University of Aeronautics & Astronautics, 2008, 40(4):501-506(in Chinese). doi: 10.3969/j.issn.1005-2615.2008.04.017
    [10]
    周须峰, 唐硕, 高小五.空间目标可拦截区与可遭遇区确定[J].航天控制, 2006, 24(1):33-38. doi: 10.3969/j.issn.1006-3242.2006.01.008

    ZHOU X F, TANG S, GAO X W.Determination of interceptable section and encounter section for space target[J].Aerospace Control, 2006, 24(1):33-38(in Chinese). doi: 10.3969/j.issn.1006-3242.2006.01.008
    [11]
    李人杰, 陈杨, 向开恒.考虑初始相位角影响的空间飞越发射窗口研究[J].现代防御技术, 2018, 46(3):171-176.

    LI R J, CHEN Y, XIANG K H.Study of launch window of space fly-by under influence of initial phase angle[J].Modern Defense Technology, 2018, 46(3):171-176(in Chinese).
    [12]
    王琦.MDO优化算法研究[D].南京: 南京亚洲成人在线一二三四五六区, 2008: 39.

    WANG Q.Research on arithmetic of MDO[D].Nanjing: Nanjing University of Aeronautics and Astronautics, 2008: 39(in Chinese).
    [13]
    胡添元.飞翼布局飞机总体多学科设计优化研究[D].南京: 南京亚洲成人在线一二三四五六区, 2010: 30.

    HU T Y.Multidisciplinary design optimization for flying wing aircraft preliminary design[D].Nanjing: Nanjing University of Aeronautics and Astronautics, 2010: 30(in Chinese).
    [14]
    龙腾, 刘建, WANG G G, 等.基于计算试验设计与代理模型的飞行器近似优化策略探讨[J].机械工程学报, 2016, 52(14):79-105.

    LONG T, LIU J, WANG G G, et al.Discuss on approximate optimization strategies using design of computer experiments and metamodels for flight vehicle design[J].Journal of Mechanical Engineering, 2016, 52(14):79-105(in Chineses).
    [15]
    姚雯.不确定性MDO理论及其在卫星总体设计中的应用[D].长沙: 国防科学技术大学, 2007: 27-28.

    YAO W.Research on uncertainty multidisciplinary design optimization theory and application to satellite system design[D].Changsha: National University of Defense Technology, 2007: 27-28(in Chinese).
    [16]
    LIANG B.Radial basis functions for solving PDEs[J].Mathematic Applicata, 2004, 17(2):227-233.
    [17]
    李靖.基于改进量子粒子群算法的运载火箭弹道优化[D].湘潭: 湘潭大学, 2014: 19-23.

    LI J.Launch vehicle trajectory optimization based on improved quantum particle swarm algorithm[D].Xiangtan: Xiangtan University, 2014: 19-23(in Chinese).
  • 加载中

Catalog

    通讯作者: 陈斌, bchen63@163.com
    • 1. 

      沈阳化工大学材料科学与工程学院 沈阳 110142

    1. 本站搜索
    2. 百度学术搜索
    3. 万方数据库搜索
    4. CNKI搜索

    Figures(9)  / Tables(3)

    Article Metrics

    Article views(742) PDF downloads(292) Cited by()
    Proportional views
    Related

    /

    DownLoad:  Full-Size Img  PowerPoint
    Return
    Return