Volume 43 Issue 12
Dec.  2017
Turn off MathJax
Article Contents
ZHOU Liang, LI Qingmin, PENG Yingwu, et al. Applicability of steady-state availability model and unsteady-state time-varying availability model[J]. Journal of Beijing University of Aeronautics and Astronautics, 2017, 43(12): 2422-2430. doi: 10.13700/j.bh.1001-5965.2016.0872(in Chinese)
Citation: ZHOU Liang, LI Qingmin, PENG Yingwu, et al. Applicability of steady-state availability model and unsteady-state time-varying availability model[J]. Journal of Beijing University of Aeronautics and Astronautics, 2017, 43(12): 2422-2430. doi: 10.13700/j.bh.1001-5965.2016.0872(in Chinese)

Applicability of steady-state availability model and unsteady-state time-varying availability model

doi: 10.13700/j.bh.1001-5965.2016.0872
Funds:

National Defense Pre-research Foundation 51327020105

National Defense Pre-research Foundation 51304010206

More Information
  • Corresponding author: LI Qingmin, E-mail:licheng0001@hotmail.com
  • Received Date: 15 Nov 2016
  • Accepted Date: 15 Feb 2017
  • Publish Date: 20 Dec 2017
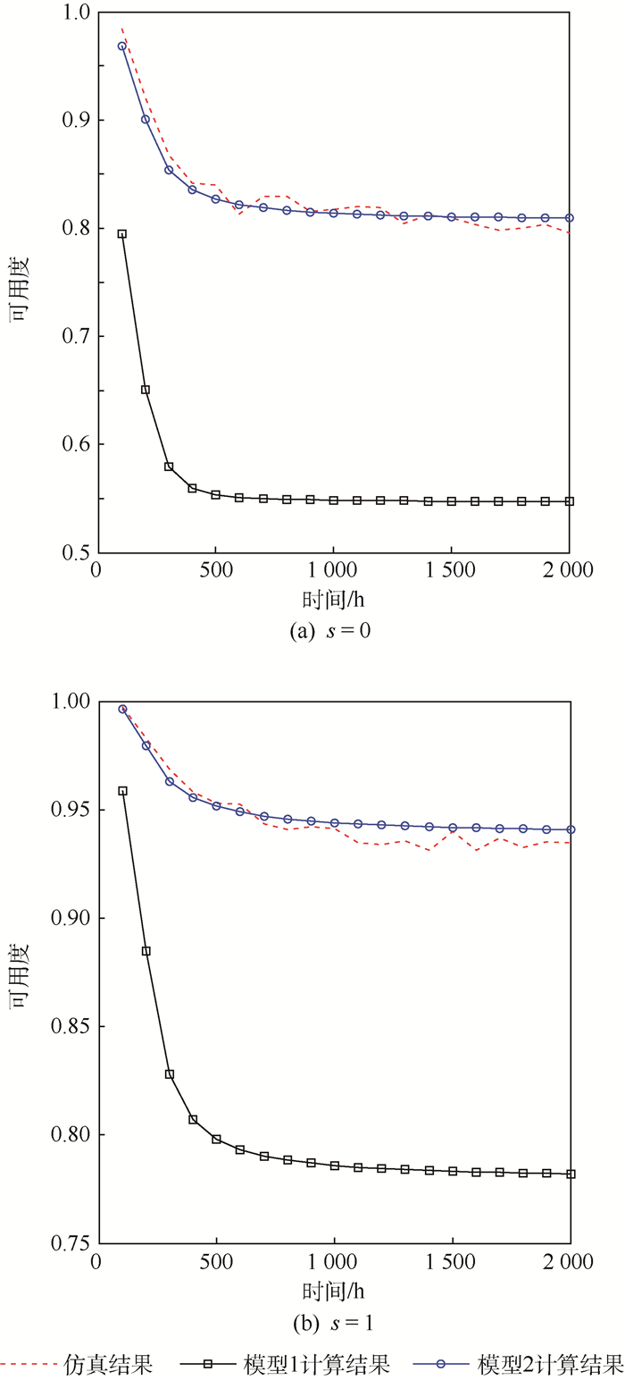
  • Aimed at whether the steady-state availability model of METRIC model can be directly applied to the unsteady-state time-varying availability model, by extending the METRIC theory, a time-varying availability model based on the expected order of spare parts and a time-varying availability model based on the expected back order and variance of spare parts have been built. In the case that the system reaches steady state (repair probability is 1) and is in unstable state (repair probability is less than 1), two time-varying availability models are used to calculate the availability of voting structural unit and serial structural unit, and the results are compared with Monte Carlo simulation model. The results show that:when the equipment structure is a series relation and the system is stable, the time-varying availability model based on the expected number of spare parts is consistent with the simulation model, and it is suitable for the calculation of spare parts configuration optimization in the whole life cycle of the equipment; the model of time-varying availability, which is based on the expected order and variance of spare parts, is suitable for the optimization calculation of the spare parts configuration of the combat unit, regardless of the steady state and unsteady state of the support system.

     

  • loading
  • [1]
    任敏, 陈全庆, 沈震, 等.备件供应学[M].北京:国防工业出版社, 2013:278-289.

    REN M, CHEN Q Q, SHEN Z, et al.Spare parts supply[M].Beijing:National Defence Industry Press, 2013:278-289(in Chinese).
    [2]
    SHERBROOKE C C.Metric:A multi-echelon technique for recoverable item control[J].Operations Research, 1968, 16(1):122-141. doi: 10.1287/opre.16.1.122
    [3]
    MUCKSTADT J A.A model for a multi-item multi-echelon multi-indenture inventory system[J].Management Science, 1973, 20(4):472-481.
    [4]
    SHERBROOKE C C.VARI-METRIC:Improved approximations for multi-indenture multi-echelon availability models[J].Operations Research, 1986, 34(2):311-319. doi: 10.1287/opre.34.2.311
    [5]
    AXSATER S.A new decision rule for lateral transshipments in inventory systems[J].Management Science, 2003, 49(9):1168-1179. doi: 10.1287/mnsc.49.9.1168.16568
    [6]
    王慎, 李庆民, 彭英武, 等.串件拼修对策下两级备件维修供应系统动态管理模型[J].航空学报, 2013, 34(6):1326-1335. http://www.cnki.com.cn/Article/CJFDTotal-HKXB201306012.htm

    WANG S, LI Q M, PENG Y W, et al.Dynamic management model of two-echelon maintence supply system for spare parts with cannibalization[J].Acta Aeronautica et Astronautica Sinica, 2013, 34(6):1326-1335(in Chinese). http://www.cnki.com.cn/Article/CJFDTotal-HKXB201306012.htm
    [7]
    SLEPTCHENKO A, VAN DER HEIJDEN M C, VAN HARTEN A.Effects of finite repair capacity in multi-echelon, multi-indenture service part supply systems[J].International Journal of Production Economics, 2002, 79(3):209-230. doi: 10.1016/S0925-5273(02)00155-X
    [8]
    聂涛, 盛文.K:N系统可修复件两级供应保障优化研究[J].系统工程与电子技术, 2010, 32(7):1452-1455.

    NIE T, SHENG W.Research on two-echelon supply support optimizing for repairable spare parts of K:N system[J].Systems Engineering and Electronics, 2010, 32(7):1452-1455(in Chinese).
    [9]
    ISAACSON B.Dynametric version 4:A capability assessment model including constrained repair and management adaptations:R3389AF[R].Santa Monica:The RAND Corperation, 1988.
    [10]
    SLAY F, BACHMAN T C, KLINE R C, et al.Optimizing spares support:The aircraft sustainability model:AF501MR1 s[R].Virginia:Logistics Management Institute, 1996.
    [11]
    LAU H C, SONG H, SEE T C, et al.Evaluation of time-varying availability in multi echelon spare parts systems with passivation[J].European Journal of Operational Research, 2006, 170(1):91-105. doi: 10.1016/j.ejor.2004.06.022
    [12]
    徐立, 李庆民, 李华, 等.有限维修能力下作战单元时变可用度评估模型[J].国防科技大学学报, 2016, 38(1):114-121. doi: 10.11887/j.cn.201601019

    XU L, LI Q M, LI H, et al.Evaluation model of time-varying availability for combat units under finite repair capacity[J].Journal of National University of Defense Technology, 2016, 38(1):114-121(in Chinese). doi: 10.11887/j.cn.201601019
    [13]
    周亮, 彭英武, 李庆民, 等.串件拼修策略下不完全修复件可用度评估建模[J].系统工程与电子技术, 2017, 39(5):1065-1071. doi: 10.3969/j.issn.1001-506X.2017.05.18

    ZHOU L, PENG Y W, LI Q M, et al.Time-varying availability evaluation modeling of incomplete repair parts under cannibalization[J].Systems Engineering and Electronics, 2017, 39(5):1065-1071(in Chinese). doi: 10.3969/j.issn.1001-506X.2017.05.18
    [14]
    蔡芝明, 金家善, 陈砚桥, 等.非稳态及多约束下多层级系统器材配置优化方法[J].北京亚洲成人在线一二三四五六区学报, 2017, 43(1):36-46.

    CAI Z M, JIN J S, CHEN Y Q, et al.Optimization method of multi-echelon system equipment configuration under unsteady state and multi-constraint[J].Journal of Beijing University of Aeronautics and Astronautics, 2017, 43(1):36-46(in Chinese).
    [15]
    周亮, 李庆民, 王睿, 等.K/N(G)冗余结构下随舰备件配置方案[J].系统工程与电子技术, 2015, 37(12):2785-2790. doi: 10.3969/j.issn.1001-506X.2015.12.19

    ZHOU L, LI Q M, WANG R, et al.Spare parts allocation scheme with ship for K/N(G) redundant structure[J].Systems Engineering and Electronics, 2015, 37(12):2785-2790(in Chinese). doi: 10.3969/j.issn.1001-506X.2015.12.19
    [16]
    SHERBROOKE C C.Optimal inventory modeling of systems multi-echelon techniques[M].2nd ed.Boston:Artech House, 2004.
    [17]
    周亮, 彭英武, 李庆民, 等.面向任务的备件保障评估通用模型研究[J].系统工程与电子技术, 2017, 39(9):2046-2051. doi: 10.3969/j.issn.1001-506X.2017.09.18

    ZHOU L, PENG Y W, LI Q M, et al.Research on the general evaluation model of task oriented spare parts supply[J].Systems Engineering and Electronics, 2017, 39(9):2046-2051(in Chinese). doi: 10.3969/j.issn.1001-506X.2017.09.18
    [18]
    李华, 李庆民, 刘任洋.任务期内多层级不完全修复件的可用度评估[J].系统工程与电子技术, 2016, 38(2):476-480. doi: 10.3969/j.issn.1001-506X.2016.02.35

    LI H, LI Q M, LIU R Y.Evaluation of availability for multi-indenture partial repairable spares during the mission[J].Systems Engineering and Electronics, 2016, 38(2):476-480(in Chinese). doi: 10.3969/j.issn.1001-506X.2016.02.35
  • 加载中

Catalog

    通讯作者: 陈斌, bchen63@163.com
    • 1. 

      沈阳化工大学材料科学与工程学院 沈阳 110142

    1. 本站搜索
    2. 百度学术搜索
    3. 万方数据库搜索
    4. CNKI搜索

    Figures(6)  / Tables(4)

    Article Metrics

    Article views(879) PDF downloads(338) Cited by()
    Proportional views
    Related

    /

    DownLoad:  Full-Size Img  PowerPoint
    Return
    Return