2017 Vol. 43, No. 12

Display Method:
Volume 43 Issue122017
iconDownload (28339) 1055 iconPreview
Comparison of real-time anti-jamming transmission for avionics AFDX and AVB
ZHAO Lin, HE Feng, XIONG Huagang
2017, 43(12): 2359-2369. doi: 10.13700/j.bh.1001-5965.2016.0908
Abstract:

AVB is considered to meet the demands of audio video transmission in future avionics system, which is a real-time multimedia network and has become a candidate for in-vehicle embedded systems. Comparative study on AFDX and AVB is implemented. First, standards of AVB and AFDX are compared. Second, the method for end-to-end delay in AVB and AFDX is discussed by network calculus. Then the elements interfering real-time transmission are analyzed depending on different transmission scenarios. Conclusions are verified by simulation. In typical networking with 1 000 virtual links, the results show that the end-to-end delay of high priority traffic in AFDX is smaller than that in AVB; the advantage and disadvantage of end-to-end delay for low priority traffic exist in both AVB and AFDX. But influenced by the burst 50 low priority streams (each with 0.22 Mbit/s bandwidth), the variation rate of average end-to-end delay for high priority traffic is 0.25% in AVB and 0.38% in AFDX; influenced by the burst 50 high priority streams (each with 0.22 Mbit/s bandwidth), the variation rate of low priority traffic is 5.17% in AVB and 10.25% in AFDX. Real-time anti-jamming transmission of time-sensitive information in AVB is superior to AFDX.

Distribution method of jamming resource based on IFS and IPSO algorithm
WU Hua, SHI Zhongya, SHEN Wendi, CHEN You, CHENG Siyi
2017, 43(12): 2370-2376. doi: 10.13700/j.bh.1001-5965.2016.0870
Abstract:

In order to solve the problem of distribution method of jamming resource when several jamming systems jam several radar systems, a distribution method of jamming resource based on intuitionistic fuzzy sets (IFS) and improved particle swarm optimization (IPSO) algorithm was proposed. With the parameters of hostile radar detected by passive detecting systems, IFS theory was used to get the threat coefficient of hostile radars. Integrating the data of jamming systems and hostile radars in the database of the battlefield, the paper defines the matched-degree between radar and jamming system to describe jamming efficiency from four aspects:airspace, frequency domain, polarization mode and jamming mode. Combining matched-degree matrix and hostile radar threat coefficient, the jamming target function was obtained. An ISPO algorithm, which adjusts weight self-adaptively, changes learning factors asynchronously and introduces compensating particle to search the blind area, was proposed to get the best jamming distribution method. The simulation shows that the proposed method has better performance in accuracy of best solution and real-time.

Direct kinematics of a spatial parallel mechanism based on conformal geometric algebra
HUANG Xiguang, HUANG Xu
2017, 43(12): 2377-2381. doi: 10.13700/j.bh.1001-5965.2016.0917
Abstract:

An algorithm is proposed for the direct kinematics analysis of a spatial general 3-RPS parallel mechanism based on conformal geometric algebra (CGA). The angle between the axis of an arbitrary kinematic chain and the plane of the fixed platform can be regarded as the unknown variable. The mathematical expression of the position of the spherical joint connecting the moving platform with the kinematic chain can be expressed in the unknown variable based on CGA. The outer product of two space balls and a flat surface are constructed two times, and the corresponding points of the remaining two vertices of the moving platform are obtained respectively. The 16th degree input-output polynomial equation in the unknown variable is straightforwardly obtained by distance formula and all 16 sets of closed-form solutions can be achieved. The algorithm avoids the use of rational angles or matrices, and complex computations for nonlinear and multivariable equations. A numerical example is given to demonstrate geometric characteristics of the motion and the algorithm is intuitive.

Aircraft tire-water film-pavement interaction on wet pavement in landing
CAI Jing, LI Yue, ZONG Yiming, WANG Yongfan
2017, 43(12): 2382-2391. doi: 10.13700/j.bh.1001-5965.2016.0839
Abstract:

Based on hydrodynamic equilibrium equations of aircraft tire-water film-wet pavement interaction during the aircraft landing on the wet pavement, main influence factors of hydrodynamic pressures in tire-water film interaction were obtained. They are water film thickness, aircraft's taxiing speed and tire tread depth. On the basis of this result, three-dimensional solid model of tire-water film-pavement was established, in which the main tire of Boeing 737-800 was taken as the research object here. Then the finite element analysis model was established based on Fluent software. The water distribution and average hydrodynamic pressures on water attaining surface of the tire were obtained by volume of fluid (VOF) method and three main influence factors of hydrodynamic pressure were analyzed by above finite element model. Some conclusions can be drawn as follows. Water film thickness and taxiing speed of aircraft are two outstanding influence factors of hydrodynamic pressure and the hydrodynamic pressure linearly increases with the increase of water film and aircraft's taxiing speed. The hydrodynamic pressure increases faster at a water film thickness above 3mm, and at the water film thickness of 12 mm, the hydrodynamic pressure reaches and exceeds the tire pressure (1.47 MPa), which leads to hydroplaning of the aircraft's tire.When the taxiing velocity is less than 100 km/h, the hydrodynamic pressure is less than the tire pressure which means no hydroplaning risk for the aircraft. Based on the above analysis results, relational expression between the hydrodynamic pressure and water film thickness, aircraft's taxiing speed and tire tread depth was established. Considering the lift force during landing, the critical hydroplaning speeds and the length increment of landing distance of Boeing 737-800 were obtained under different rainfall conditions to provide important theoretical foundations for landing and safe taxiing of the aircraft.

Distributed H control for hierarchical networked control system
XIE Ronghua, FAN Weihua, CHEN Qingwei
2017, 43(12): 2392-2399. doi: 10.13700/j.bh.1001-5965.2016.0931
Abstract:

Considering the centralized control mode cannot be used in hierarchical networked control system which is widely applied in the fields of modern industry, aerospace, etc., the distributed H control for the hierarchical networked control system is studied. First, considering the network induced delay, data packet loss and partial information available, a distributed control law for hierarchical networked control system is proposed. And the closed-loop networked control system is modeled as a switched discrete system with distributed time varying delay. Second, based on Lyapunov-Krasovskii functional method, a sufficient condition for system stability and to satisfy the requirement of given H performance index is deduced, which is less conservative and depends on the upper bound of the delay. Using cone complement linearization method, the controller design is converted to an optimal problem with linear matrix inequalities, and an iterative approach for controller design is given. Finally, a simulation example is used to validate the effectiveness of the proposed method.

An improved method for third-order WENO-Z scheme
XU Weizheng, KONG Xiangshao, ZHENG Cheng, WU Weiguo
2017, 43(12): 2400-2405. doi: 10.13700/j.bh.1001-5965.2016.0863
Abstract:

High resolution shock capturing schemes are of great significance for numerical simulation of flow fields containing shock waves. WENO-Z3N1, WENO-Z3N2 and WENO-Z3N3 schemes were constructed through different global smoothness indicators based on the third-order WENO-Z scheme (WENO-Z3 scheme). Several classical examples such as sod problem, interacting blast wave and shock entropy wave interaction were simulated to investigate the computing performance of the three schemes (WENO-Z3N1, WENO-Z3N2, WENO-Z3N3). Precision of the three schemes was analyzed theoretically according to Taylor series expansion. It is concluded that theoretical precision of the three schemes at non-critical points plays the important role in the actual computing performance after discussion on the relationship between the theoretical precision and actual calculation accuracy. Double Mach reflection problem was conducted to further verify the reliability of the above conclusion. The research in the present paper gives an improved method for third-order WENO-Z scheme:global smoothness indicators should be reasonably constructed to make scheme satisfy the requirement of design precision at non-critical points in the smooth flow fields.

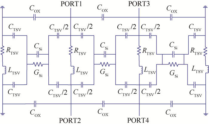
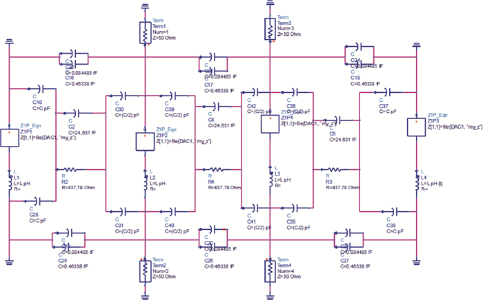
Electromagnetic susceptibility analysis method for 3D TSV ICs
QIN Haichao, YAN Zhaowen, SU Donglin, ZHANG Wei
2017, 43(12): 2406-2415. doi: 10.13700/j.bh.1001-5965.2016.0847
Abstract:

This paper focuses on the circuit modeling method of through silicon via (TSV) and power distribution network (PDN) in 3D integrated circuits (3D ICs). Combined with the PDN on printed circuit board (PCB) and the chip PDN model, an electromagnetic susceptibility (EMS) modeling and collaborative analysis method for 3D ICs on PCB was proposed. Firstly, a ground-signal (GS) TSV pair and two TSV pairs of ground-signal1-signal2-ground (GSSG) were established in, and these circuit models were compared with the numerical simulation results, which validated the accuracy of the circuit modeling method of TSV. Then, the modeling method of PDN of PCB, PCB through via hole, IC's package parameters in an IC were discussed. Finally, an EMS cascade connection analysis model from PCB to 3D ICs was developed and used to analyze the electromagnetic susceptibility characteristics of 3D ICs to power interference, which can guide the susceptibility analysis of 3D ICs.

Brittle fatigue damage model including initial damage and model verification
SUN Jie, LI Min, SUN Bin
2017, 43(12): 2416-2421. doi: 10.13700/j.bh.1001-5965.2016.0869
Abstract:

Failure caused by fatigue damage is one of the most common failure modes of engineering structures. By using irreversible thermodynamics and microscopic damage mechanics, a new model of brittle fatigue damage based on brittle damage mechanism was proposed. A strict and detailed derivation of the new model including initial damage by using the stress amplitude and the characteristic parameters of damaged material as the dominating variables was given. An experiment on 12Cr1MoV steel was performed as an example. It is shown that the new model including the initial damage variable can be used to estimate the initial damage of the materials; the new model has significant advantages compared with similar fatigue damage models at the beginning of the fatigue process when the damage is very small, and meanwhile the new model can be applied in life prediction of the brittle material fatigue damage; the new model is simple, has small amount of parameters, and is in better agreement with the experimental results than similar models of fatigue damage.

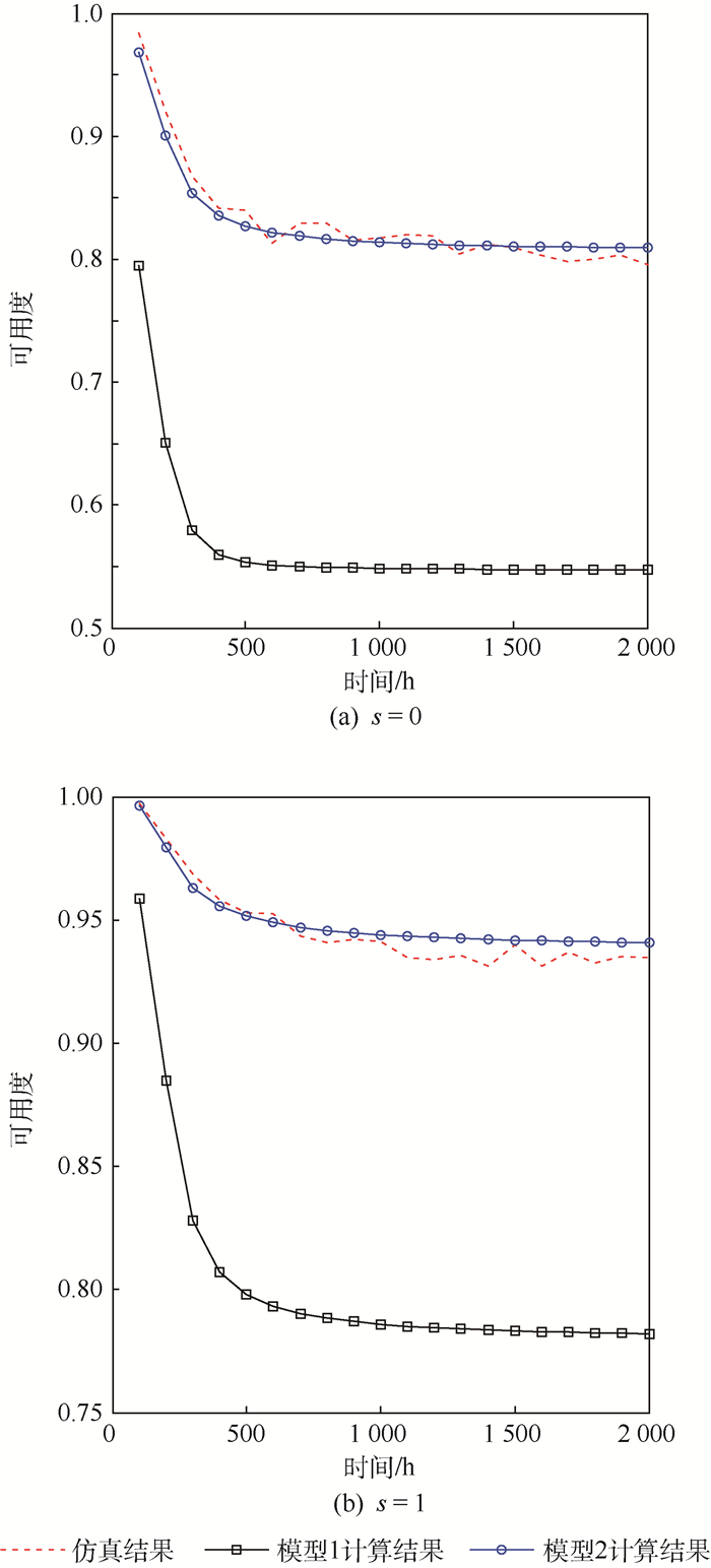
Applicability of steady-state availability model and unsteady-state time-varying availability model
ZHOU Liang, LI Qingmin, PENG Yingwu, LI Hua
2017, 43(12): 2422-2430. doi: 10.13700/j.bh.1001-5965.2016.0872
Abstract:

Aimed at whether the steady-state availability model of METRIC model can be directly applied to the unsteady-state time-varying availability model, by extending the METRIC theory, a time-varying availability model based on the expected order of spare parts and a time-varying availability model based on the expected back order and variance of spare parts have been built. In the case that the system reaches steady state (repair probability is 1) and is in unstable state (repair probability is less than 1), two time-varying availability models are used to calculate the availability of voting structural unit and serial structural unit, and the results are compared with Monte Carlo simulation model. The results show that:when the equipment structure is a series relation and the system is stable, the time-varying availability model based on the expected number of spare parts is consistent with the simulation model, and it is suitable for the calculation of spare parts configuration optimization in the whole life cycle of the equipment; the model of time-varying availability, which is based on the expected order and variance of spare parts, is suitable for the optimization calculation of the spare parts configuration of the combat unit, regardless of the steady state and unsteady state of the support system.

Airship control based on Q-Learning algorithm and neural network
NIE Chunyu, ZHU Ming, ZHENG Zewei, WU Zhe
2017, 43(12): 2431-2438. doi: 10.13700/j.bh.1001-5965.2016.0903
Abstract:

An autonomous on-line learning control strategy based on adaptive modeling mechanism was proposed aimed at system modeling and parameter identification problems resulting from dynamic model uncertainties in modern airship control. An adaptive method to establish airship control Markov decision process (MDP) model was introduced on the foundation of analyzing airship's actual motion. On-line learning was carried out by Q-Learning algorithm, and cerebellar model articulation controller (CMAC) network was brought in for generalization of action value functions to accelerate algorithm convergence speed. Simulations of this autonomous on-line learning controller and comparisons with parameters turned PID controllers in normal control tasks were presented to demonstrate Q-Learning controller's effectiveness. The results show that the controller's on-line learning processes can converge in a few hours and the airship control MDP model established by the adaptive method satisfies the need of normal control tasks. The controller designed in this paper obtains similar precision as PID controllers and performs even more intelligently.

Analysis method for hybrid uncertainty of risk considering distribution parameters dependency
DUAN Yongsheng, ZHAO Jiguang, CHEN Peng, CUI Bao, LYU Xiaolei
2017, 43(12): 2439-2448. doi: 10.13700/j.bh.1001-5965.2016.0935
Abstract:

In view of hybrid uncertainty propagation with parameters dependency of variables in quantified risk assessment, a two-level hybrid uncertainty presentation and propagation framework considering parameters total dependency, partial dependency and independency was proposed, in which inner and outer parameters were specified with probability and possibility, and the numerical values were calculated by Monte Carlo simulation and fuzzy extension principle. Based on the epidemic uncertainty parameter dependency, a model with epidemic uncertainty parameters dependency and a dependency coefficient were constructed. An uncertainty propagation algorithm based on the D-S evidence theory and random set theory for parameters sampled independently was built, which, compared with the two-level Monte Carlo method presented with probability, reduced the time costs largely. Leakage rate of the hydrogen and oxygen co-bottom tank was taken as an example, and the effectiveness and feasibility of the proposed method were validated.

A random multi-user access method with unequal protection
SUN Jingyun, LIU Rongke, HU Yingmeng
2017, 43(12): 2449-2456. doi: 10.13700/j.bh.1001-5965.2016.0938
Abstract:

The throughput performance degrades under high traffic loads when massive bursty users have access to the satellite. To solve this problem, a random multi-user access method with unequal protection was proposed. Several copies of a packet were created and sent during different time slots according to a selected degree distribution. The random access procedure could be described by a bipartite graph. By using successive interference cancellation (SIC), collided packets can be recovered instead of abandoned. In addition, a portion of time slots in each frame were selected exclusively for high-priority users to improve the decoding probability of high-priority data packet. An analysis using standard "and-or trees" theory was introduced. Further, the proposed method was verified with experimental simulations. The simulation results show that the proposed random multi-user access method, compared with traditional ALOHA protocol, effectively avoids the throughput degradation caused by impact under low traffic loads. Compared with IRSA protocol, it enhances high-priority users' throughput under high traffic loads.

Real-time and robust object tracking method in frequency domain space
WANG Ronghe, CHEN Yuxiong, MA Shilong, LYU Jianghua
2017, 43(12): 2457-2465. doi: 10.13700/j.bh.1001-5965.2016.0906
Abstract:

This paper addresses real-time and robust object tracking method. In this paper, dense circulation sampling and frequency domain transform method were used in target tracking processing. This paper proposed energy minimization object tracking method in frequency domain space and put forward the concept of dense circulation sampling to solve object shape changes, appearance changes, object orientation changes, scene illumination changes, video jitter, objective scale changes and object occlusion problems in tracking processing. This method calculates a target by ten adjacent frames and circulation matrix in frequency domain space. This algorithm defines error as an energy function. This method proposed frequency domain energy minimum method firstly. Energy minimization make error between target and ground truth minimize. This algorithm can obtain more precision target results rapidly, so data quantity is sharp decreased. This algorithm use the dense circulation sampling and energy minimization method to implement a stable visual tracking in such situation as target orientation deformation, scene illumination changes, video stabilization, target scale transformation, target part occlusion. Compared with the latest and the best performance methods at present, the proposed method has significantly improved the tracking precision and efficiency.

Design and real-time analysis of time-triggered airborne optical network
XIONG Ying, CHEN Junyan, HE Feng, XIONG Huagang, LIU Cheng
2017, 43(12): 2466-2472. doi: 10.13700/j.bh.1001-5965.2016.0925
Abstract:

Wavelength division multiplexing (WDM) network is featured by almost unlimited bandwidth potential, great flexibility, strong expandability and transparent to protocol and bit rate, which makes it a good choice for avionics systems. However, the end-to-end delay of message transmitted on WDM avionics is uncertain on the real-time performance. WDM network cannot ensure determinacy for the time-critical message transmitted on future avionics network. This paper introduces time-triggered mechanism to WDM network and proposes the architecture of time-triggered avionics WDM (TTAWDM) network, including protocol layer, data format, scheduling procedure, etc. The time-triggered mechanism can process a statically configured communication schedule for time-critical message, which can ensure determinacy for the transmission process and end-to-end delay of message, and can meet real-time requirements. Then the real-time property of messages is analyzed based on the architecture design of TTAWDM, and based on network calculus, the calculation method of upper bound delay of rate-constrained messages is given. Finally, a simulation experiment of TTAWDM is conducted, and the results show that TTAWDM can be a totally deterministic network for time-critical messages and the calculation method of upper bound delay is effective.

Modeling and analysis of superfluid quantum interference gyro driven by heat
ZHAO Yulong, SHEN Huairong, REN Yuan
2017, 43(12): 2473-2479. doi: 10.13700/j.bh.1001-5965.2016.0927
Abstract:

Multi-parameter change and interaction of internal flow, pressure and temperature lead to a complex relationship between heating resistor power and superfluid Josephson frequency when the superfluid quantum interference gyro is driven by heat. In order to obtain sustained and stable Josephson frequency, the Josephson frequency formation mechanism of gyro must be accurately modeled. With regard to heat-driven mode of superfluid quantum interference gyro, the temperature change, pressure change and input-output model of gyro were firstly established in terms of the inner cavity entropy change. Then, the characteristics of temperature and pressure change with time were analyzed under the condition of constant heating resistor power and linear time-varying heating resistor power. The ranges of heating resistance power and Josephson frequency were obtained by comparing the chemical potential difference and Josephson frequency at different heating resistance power. Finally, the effect of Josephson frequency on output and accuracy of the gyro is explored and analyzed.

Influence of rotating speed variation on aerodynamic characteristics for counter rotating fan
SUN Wenlong, FANG Xiangjun
2017, 43(12): 2480-2487. doi: 10.13700/j.bh.1001-5965.2017.0169
Abstract:

The aerodynamic characteristics of counter rotating fan was effected by rotating speed ratio of first and second stages, appropriate speed ratio could improve aerodynamic characteristics of counter rotating fan. The influence of rotating speed variation of first and second stages on the aerodynamic characteristics of counter rotating fan was studied by numeral calculation and experiments. First, the influence of changes in rotating speed on powers and internal flow parameters was quantitatively analyzed by velocity triangle. Then, the results of calculation were compared with the results of experiment to analyze the performance of fan under the standard rotating speed. Finally, air flows in the fan were analyzed with the results of calculation. It is found that the flow parameters and performance of fan change more efficiently by changing the rotating speed of the first stage under the same rotating speed changing percentage of first and second stages when the conditions of inlet keep invariant. Combined with the performance of fan and the demand of reality, the most optimal rotating speed ratio is 1.1:1. The efficiency of counter rotating fan is 75% under this rotating speed ratio and transmission efficiency of 88.4%.

Analysis of design principle adaptability to automatic carrier landing system of light plane
ZHAO Rong, WANG Lixin, XU Wangqiang
2017, 43(12): 2488-2496. doi: 10.13700/j.bh.1001-5965.2016.0857
Abstract:

US military standard AR-40A is a frequently used design principle when the automatic carrier landing system (ACLS) is designed. But the principle is mainly aiming at Class Ⅳ, such as F/A-18 and there is no instruction about whether the principle could be adapted in the Class Ⅰ aircraft. In order to explore its adaptability of AR-40A to ACLS of Class Ⅰ aircraft, the ACLS designs on both a certain airplane and its shrunk one with a shrinkage ratio of4 were carried out. A comprehensive simulation about shipboard aircraft, aircraft carrier and the atmospheric environment was done first, then the most satisfying ACLS design result was selected, and finally the frequency-domain characteristics of the results were analyzed and compared. The adaptability of AR-40A to ACLS of Class Ⅰ aircraft has been verified. Based on the comparison of frequency-domain characteristics among prototype aircraft, shrinkage aircraft and F/A-18, the paper proposes some adjustment advice of key border requirements, such as the amplitude bandwidth frequency and phase bandwidth frequency. Meanwhile, the low frequency band and the high frequency band should be categorized when using the ACLS design for the light plane. The effort may help to expand its application sphere.

Workload evaluation model based on occupation of time and multi-resource
TIAN Shujie, WANG Bo, WANG Li, XU Dan
2017, 43(12): 2497-2504. doi: 10.13700/j.bh.1001-5965.2016.0896
Abstract:

To measure and evaluate the astronauts' workload of on-orbit maintenance, based on timeline analysis and multi-resource theory, the subjective and objective comprehensive evaluation of the workload was carried out by using two dimensions of "indirect acquisition value of the resource demand occupancy rate" and "direct measurement value of the occupied time". A workload evaluation model based on dynamic time scene and time resource occupancy was put forward. In order to verify the effectiveness of the proposed model, the maintenance experiment of the liquid circuit subsystem, as a typical on-orbit maintenance task, was established. Testees were recruited to obtain the subjective workload questionnaires, maintenance videos were acquired, and the occupation time of therbligs was measured. The results reveal that the workload values of the proposed model have good agreement and significant correlation with subjective workload evaluation values. Hence the effectiveness of the workload evaluation model is validated.

Strapdown inertial/celestial/radar altimeter integrated navigation
GAO Ziqian, WANG Haiyong, WANG Yonghai, ZHAO Zhenping, CHEN Ken, QIN Xuguo
2017, 43(12): 2505-2512. doi: 10.13700/j.bh.1001-5965.2016.0859
Abstract:

Aimed at ballistic missile, a strapdown inertial navigation system/celestial navigation system/radar altimeter (SINS/CNS/RA) integrated method was proposed. Since the velocity and position errors' divergent problem of SINS can not be fundamentally solved by conventional SINS/star tracker integrated method, altitude intercept between calculated sea level elevation and observed sea level elevation which was measured by RA is introduced and total differential equation can be deduced. The four-dimensional observation model combining altitude intercept with attitude angle errors and the state model of SINS error equation are established by using extend Kalman filter (EKF) based on midcourse phase navigation. The simulation results manifest that when SINS has an inertial precision grade, star tracker has measurement precision of 10″, and RA has measurement precision of 50 m, after 1 810 s' flight, the velocity error of reentry point is less than 1 m/s and the circular error probability (CEP) is 1.2 km, with a 76.1% decrease of velocity error and 65.0% decrease of position error compared with conventional SINS/CNS method.

Lagrangian time auto-correlation of strain-rate tensor in channel turbulence
BAO Fujie, FANG Le
2017, 43(12): 2513-2519. doi: 10.13700/j.bh.1001-5965.2016.0854
Abstract:

It is confirmed that the dimensionless time for evolution of velocity gradient tensor (VGT) is local Kolmogorov time scale in homogeneous isotropic turbulence. The channel flow at Reynolds number 7 000 was calculated using large-eddy simulation in this paper. The flow field was divided into different regions according to the size of the dimensionless distance to the wall and the auto-correlation functions of different regions were normalized by local Kolmogorov time scale. The decline curves of auto-correlation functions in different regions were found not really the same. In logarithmic layer, the decline curves of auto-correlation functions in different regions almost overlapped, while the similar phenomenon did not exist in viscous bottom layer near the wall and buffer layer. The results show that local Kolmogorov time scale is not the universal dimensionless time of evolution of VGT in channel flow.

Influence of self-defense jamming of stealth aircraft on radar detection performance
LIU Zhanqiang, LIANG Lujiang, WANG Chunyang
2017, 43(12): 2520-2529. doi: 10.13700/j.bh.1001-5965.2016.0876
Abstract:

Aimed at the problem that it is difficult to evaluate radar detection performance when detecting stealth aircraft under the condition of self-defense jamming, a self-defense jamming model of stealth aircraft based on spiral flying was proposed. After aircraft susceptivity analysis, trajectory parameter setting and coordinate system conversion, attitude angle to the line of sight of aircraft was calculated. Then combined with all airspace static RCS data of stealth aircraft, the time-varying dynamic RCS series was simulated. According to detection range equation of radar, the change results of radar detection range were obtained under the normal flight conditions and self-defense jamming conditions of aircraft, and the instantaneous detection probabilities of radar were compared and studied utilizing detection probability formula of radar under two kinds of aircraft conditions. The results show that self-defense jamming of stealth aircraft can reduce detection range and detection probability, and decline radar detection performance, so the certain reference value is offered to accumulate the electronic warfare experience for both sides at war.

Assessment of go-around climb gradient for civil aircraft based on digital virtual flight
TU Zhangjie, WANG Lixin, CHEN Junping
2017, 43(12): 2530-2538. doi: 10.13700/j.bh.1001-5965.2016.0879
Abstract:

The climb gradient of the aircraft reflects its ability of flying over the ground barrier to a safe altitude. To ensure safety of civil aircraft when going around, airworthiness regulations provide that the go-around climb gradient should meet certain numerical requirements. According to provisions of airworthiness regulations on go-around procedure and go-around climb gradient of civil aircraft, an airworthiness compliance assessment method of go-around climb gradient was proposed based on digital virtual flight. The task digitized model of go-around and pilot control model were established based on the airworthiness regulations as well as the characteristics of pilot control. Then the flight dynamics model of a certain domestic turbojet aircraft was established, which eventually constituted digital virtual flight simulation system for go-around task. The climb gradient evaluations of landing climb and approach climb were completed by flight simulation. Compared with the real flight test results, the evaluation errors are less than 10%, which verifies the applicability and accuracy of the method. This method can be applied to the design of civil aircraft, so as to provide support for determining the airworthiness compliance of go-around climb performance and the maximum landing weight of aircraft.

Coordinate rotation transformation method based on ternary angle
MIAO Jisong, SHAO Qiongling, REN Yuan
2017, 43(12): 2539-2546. doi: 10.13700/j.bh.1001-5965.2016.0882
Abstract:

Quaternion and Euler angle are used to describe coordinate transformation. Euler angle is characterized by three-time rotation and three parameters, and there are 12 kinds of rotation order. The characteristics of the quaternion are described by one rotation and four parameters. Using Euler angle is easy to cause gimbal lock phenomenon. Although it can avoid gimbal lock phenomenon, quaternion is more than Euler angles with one dimension and 33% amount of data. It may be illegal due to the accumulation of rounding error of floating point. To avoid the defects of the above methods, a new coordinate transformation method was proposed and two new concepts of deflection-vector axis and deflection-vector angle were introduced. The coordinate rotation transformation matrix based on the ternary angle was strictly deduced. Compared with the Euler rotation transformation, this method needs less rotation and avoids gimbal lock phenomenon; compared with the quaternion, it needs less parameters and is easy to understand. This method is more convenient for the description of the compound rotation. The proposed method provides more convenient mathematical means for the design and analysis of attitude transformation in related fields, such as inertial navigation and rotation modulation.

Effect of hot extrusion on structure and properties of YAl2p/Mg-14Li-3Al composites
QIU Xiangru, WU Guoqing, PAN Yingcai, WANG Ganggang, GE Daliang
2017, 43(12): 2547-2553. doi: 10.13700/j.bh.1001-5965.2016.0900
Abstract:

YAl2p/Mg-14Li-3Al composites with different volume fraction were fabricated by stir casting, and then the as-cast ingots were extruded as composite thin-walled tubes with the defined experimental parameters. Effects of hot extrusion deformation on microstructure and mechanical properties of YAl2p/Mg-14Li-3Al composites were investigated by optical microscope, scanning electronic microscope, tensile tests and so on. The results show that hot extrusion deformation can effectively improve the YAl2p distribution and the mechanical properties of the composites. In addition, the grains of matrix are significantly refined after hot extrusion. For as-extruded YAl2p/Mg-14Li-3Al composites with volume fraction of 1%, compared with as-cast condition, the tensile strength and the yield strength are both improved by over 60%, and the ductility is improved. In the process of hot extrusion, the extrusion pressure peak of the composite is improved slightly compared with Mg-14Li-3Al alloy, and the time of the peak pressure of the composite lags behind the alloy.

Robust visual tracking based on deep sparse learning
WANG Xin, HOU Zhiqiang, YU Wangsheng, DAI Bo, JIN Zefenfen
2017, 43(12): 2554-2563. doi: 10.13700/j.bh.1001-5965.2016.0788
Abstract:

In visual tracking, the efficient and robust feature representation plays an important role in tracking performance in complicated environment. Therefore, a deep sparse neural network model which can extract more intrinsic and abstract features was proposed. Meanwhile, the complex and time-consuming pre-training process was avoided by using this model. During online tracking, the method of data augmentation was employed in the single positive sample to balance the quantities of positive and negative samples, which can improve the stability of the model. The local confidence maps were generated through dense sampling search to overcome the phenomenon of sampling particle drift. In order to improve the robustness of the model, several corresponding strategies of updating model parameters and searching area are proposed respectively. Extensive experimental results indicate the effectiveness and robustness of the proposed algorithm in challenging environment compared with state-of-the-art tracking algorithms. The problem of tracking drift is alleviated significantly and the tracking speed is fast.

Variable cycle engine performance seeking control based on SQCQP algorithm
NIE Youwei, LI Qiuhong, WANG Yuan, GU Shuwen
2017, 43(12): 2564-2572. doi: 10.13700/j.bh.1001-5965.2016.0926
Abstract:

In order to meet the demands of the variable cycle engine (VCE) performance seeking control (PSC), a new PSC method based on the sequential quadratically constrained quadratic programming (SQCQP) algorithm was proposed. The sub-problem of the quadratically constrained quadratic programming (QCQP) was changed to fitness function by penalty function, and an improved differential evolution (IDE) algorithm was proposed to solve the QCQP sub-problem and to get the global optimal searching direction. Compared with the widely-used sequential quadratic programming (SQP) algorithm, the improved differential evolution-sequential quadratically constrained quadratic programming (IDE-SQCQP) algorithm can find a better solution by less iterations. The IDE-SQCQP algorithm is applied to performance seeking control of the variable cycle engine. The simulation results show that, in the maximum thrust mode, IDE-SQCQP algorithm takes 16.81% less time than SQP while thrust is enhanced by 21.50%, and in the minimum fuel-consumption mode, it takes 14.90% less time than SQP algorithm while fuel-consumption is dropped by 31.03%. The algorithm achieves the goal of proposal.

Optimization of aircraft moving assembly line scheduling problem considering material delivery
HU Xinming, LU Zhiqiang
2017, 43(12): 2573-2582. doi: 10.13700/j.bh.1001-5965.2016.0932
Abstract:

This paper abstracted the scheduling of assembly process as a resource-constrained project scheduling problem in the background of aircraft moving assembly line, and decisions about material delivery and the storage of line-side material were introduced considering the capabilities, constraints and other practical factors. An integrating mathematical model with the objective of minimizing the makespan was established. A heuristic algorithm was proposed based on genetic algorithm framework, combining with solution generation algorithm and local optimization search algorithm. With the global searching advantages of genetic algorithm, a joint decision of start time, material delivery time and material storage position in line-side space for each job was made taking into account job sequence, resource constraints, delivery capability, line-side space and other factors through SCRDS algorithm. On this basis, a local optimization algorithm aiming at adjusting line-side material positions between two jobs was proposed to re-optimize the start time and material delivery time of jobs, which decreases the project duration further. Numerical experiments were carried out by using a standard example library and the results proved the validity of the model and algorithm.