Volume 43 Issue 2
Feb.  2017
Turn off MathJax
Article Contents
SUN Hongli, TAN Chao, DONG Fenget al. Simulation based sensor size optimization for dual-modality ERT/UTT[J]. Journal of Beijing University of Aeronautics and Astronautics, 2017, 43(2): 388-394. doi: 10.13700/j.bh.1001-5965.2016.0120(in Chinese)
Citation: SUN Hongli, TAN Chao, DONG Fenget al. Simulation based sensor size optimization for dual-modality ERT/UTT[J]. Journal of Beijing University of Aeronautics and Astronautics, 2017, 43(2): 388-394. doi: 10.13700/j.bh.1001-5965.2016.0120(in Chinese)

Simulation based sensor size optimization for dual-modality ERT/UTT

doi: 10.13700/j.bh.1001-5965.2016.0120
Funds:

National Natural Science Foundation of China 61473206

National Natural Science Foundation of China 61227006

More Information
  • Corresponding author: E-mail:tanchao@tju.edu.cn
  • Received Date: 29 Jan 2016
  • Accepted Date: 12 Jun 2016
  • Publish Date: 20 Feb 2017
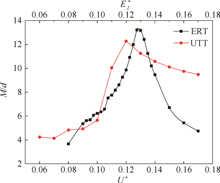
  • For the installing structure and optimization of electrodes and ultrasonic transducers in the dual-modality electrical resistance tomography (ERT) and ultrasound transmission tomography (UTT), sensors on the same section of pipeline are proposed to measure the same object at the same time. With numerical simulation, sensitive field distributions of ERT and UTT inside the pipeline were studied to optimize the range of complementary information of electrical and ultrasonic field and to get the complementary multi-sensitive information of the same object in the sensitive field. To reduce the influence of electrodes on ultrasonic field, the sensitivity and uniformity of ERT and UTT sensitive field were defined. The installing structure and sizes of electrodes and ultrasonic transducers were optimized by simulations. The installing structure of 16 electrodes and 16 transducers in dual-modality ERT/UTT, and the optimized sizes of the relative electrode width and the relative ultrasonic transducer diameter were obtained.

     

  • loading
  • [1]
    谭超, 董峰.过程层析成像与多相流测量应用[J].仪器仪表用户, 2010(1):3-6. http://www.cnki.com.cn/Article/CJFDTOTAL-DZYQ201001003.htm

    TAN C, DONG F.An overview on process tomography and its applications[J].Electronic Instrumentation Customer, 2010(1):3-6(in Chinese). http://www.cnki.com.cn/Article/CJFDTOTAL-DZYQ201001003.htm
    [2]
    KARHUNEN K, SEPPANEN A, LEHIKOINEN A, et al.Electrical resistance tomography imaging of concrete[J].Cement and Concrete Research, 2010, 40(1):137-145. doi: 10.1016/j.cemconres.2009.08.023
    [3]
    DONG F, TAN C, LIU J W, et al.Development of single drive electrode electrical resistance tomography system[J].IEEE Transactions on Instrumentation and Measurement, 2006, 55(4):1208-1214. doi: 10.1109/TIM.2006.877751
    [4]
    LI Y, YANG W Q.Measurement of multi-phase distribution using an integrated dual-modality sensor[C]//2009 IEEE International Workshop on Imaging Systems and Techniques.Piscataway, NJ:IEEE Press, 2009:335-339.
    [5]
    WANG Q, WANG H X, CUI Z Q, et al.Fast reconstruction of electrical resistance tomography (ERT) images based on the projected CG method[J].Flow Measurement and Instrumentation, 2012, 27:37-46. doi: 10.1016/j.flowmeasinst.2012.03.009
    [6]
    RADOVAN J, IGOR P, NICOLE R, et al.Sound-speed image reconstruction in sparse-aperture 3-d ultrasound transmission tomography[J].IEEE Transactions on Ultrasonics Ferroelectrics and Frequency Control, 2012, 59(2):254-264. doi: 10.1109/TUFFC.2012.2185
    [7]
    SCHLABERG H I, YANG M, HOYLE B S.Ultrasound reflection tomography for industrial processes[J].Ultrasonics, 1998, 36(1-5):297-303. doi: 10.1016/S0041-624X(97)00053-X
    [8]
    SUPARDAN M D, MASUDA Y, MAEZAWA A, et al.The investigation of gas holdup distribution in a two-phase bubble column using ultrasonic computed tomography[J].Chemical Engineering Journal, 2007, 130(2-3):125-133. doi: 10.1016/j.cej.2006.08.035
    [9]
    YUNUS F R M, AZLAN N A N, AYOB N M N, et al.Simulation study of bubble detection using dual-mode electrical resistance and ultrasonic transmission tomography for two-phase liquid and gas[J].Sensors and Transducers, 2013, 150(3):97-105.
    [10]
    RAHIMAN M H F, RAHIM R A, RAHIM H A, et al.An investigation on chemical bubble column using ultrasonic tomography for imaging of gas profiles[J].Sensors and Actuators B:Chemical, 2014, 202(10):46-52.
    [11]
    AYOB N M N, RAHIMAN M H F, ZAKARIA Z, et al.Detection of small gas bubble using ultrasonic transmission-mode tomography system[C]//Industrial Electronics and Applications.Piscataway, NJ:IEEE Press, 2010:165-170.
    [12]
    QIU C, HOYLE B S, PODD F J W.Engineering and application of a dual-modality process tomography system[J].Flow Measurement and Instrumentation, 2007, 18(5-6):247-254. doi: 10.1016/j.flowmeasinst.2007.07.008
    [13]
    HOYLE B S, JIA X, PODD F J W, et al.Design and application of a multi-modal process tomography system[J].Measurement Science and Technology, 2001, 12(8):1157-1165. doi: 10.1088/0957-0233/12/8/324
    [14]
    RAHIM R A, RAHIMAN M H F, ZAIN R M, et al.Image fusion of dual-modal tomography (electrical capacitance and optical) for solid/gas flow[J].International Journal of Innovative Computing Information and Control, 2011, 7(9):5119-5132.
    [15]
    SUN J T, YANG W Q.A dual-modality electrical tomography sensor for measurement of gas-oil-water stratified flows[J].Measurement, 2015, 66:150-160. doi: 10.1016/j.measurement.2015.01.032
    [16]
    YUNUS F R M, RAHIM R A, AW S R, et al.Simulation study of electrode size in air-bubble detection for dual-mode integrated electrical resistance and ultrasonic transmission tomography[J].Powder Technology, 2014, 256(2):224-232.
    [17]
    TENIOU S, MERIBOUT M.A multimodal image reconstruction method using ultrasonic waves and electrical resistance tomography[J].IEEE Transactions on Image Processing, 2015, 24(11):3512-3521. doi: 10.1109/TIP.2015.2445575
  • 加载中

Catalog

    通讯作者: 陈斌, bchen63@163.com
    • 1. 

      沈阳化工大学材料科学与工程学院 沈阳 110142

    1. 本站搜索
    2. 百度学术搜索
    3. 万方数据库搜索
    4. CNKI搜索

    Figures(12)  / Tables(3)

    Article Metrics

    Article views(1151) PDF downloads(513) Cited by()
    Proportional views
    Related

    /

    DownLoad:  Full-Size Img  PowerPoint
    Return
    Return