Volume 43 Issue 2
Feb.  2017
Turn off MathJax
Article Contents
CHEN Junping, WANG Lixin. Mathematical simulation and evaluation for lateral-directional static stability airworthiness compliance of civil aircraft[J]. Journal of Beijing University of Aeronautics and Astronautics, 2017, 43(2): 301-310. doi: 10.13700/j.bh.1001-5965.2016.0119(in Chinese)
Citation: CHEN Junping, WANG Lixin. Mathematical simulation and evaluation for lateral-directional static stability airworthiness compliance of civil aircraft[J]. Journal of Beijing University of Aeronautics and Astronautics, 2017, 43(2): 301-310. doi: 10.13700/j.bh.1001-5965.2016.0119(in Chinese)

Mathematical simulation and evaluation for lateral-directional static stability airworthiness compliance of civil aircraft

doi: 10.13700/j.bh.1001-5965.2016.0119
Funds:

National High-tech Research and Development Program of China 2014AA110501

More Information
  • Corresponding author: WANG Lixin,E-mail:wlx_c818@163.com
  • Received Date: 29 Jan 2016
  • Accepted Date: 20 May 2016
  • Publish Date: 20 Feb 2017
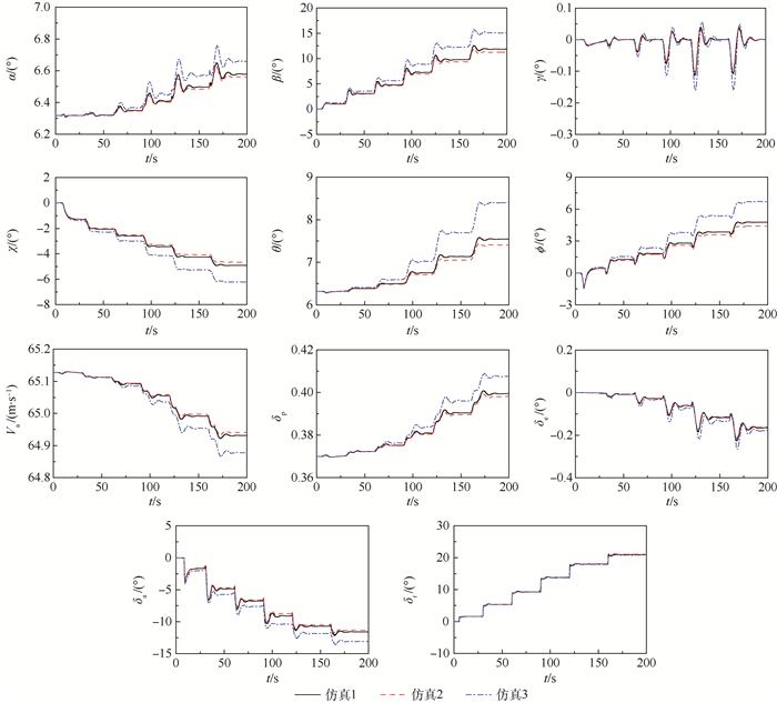
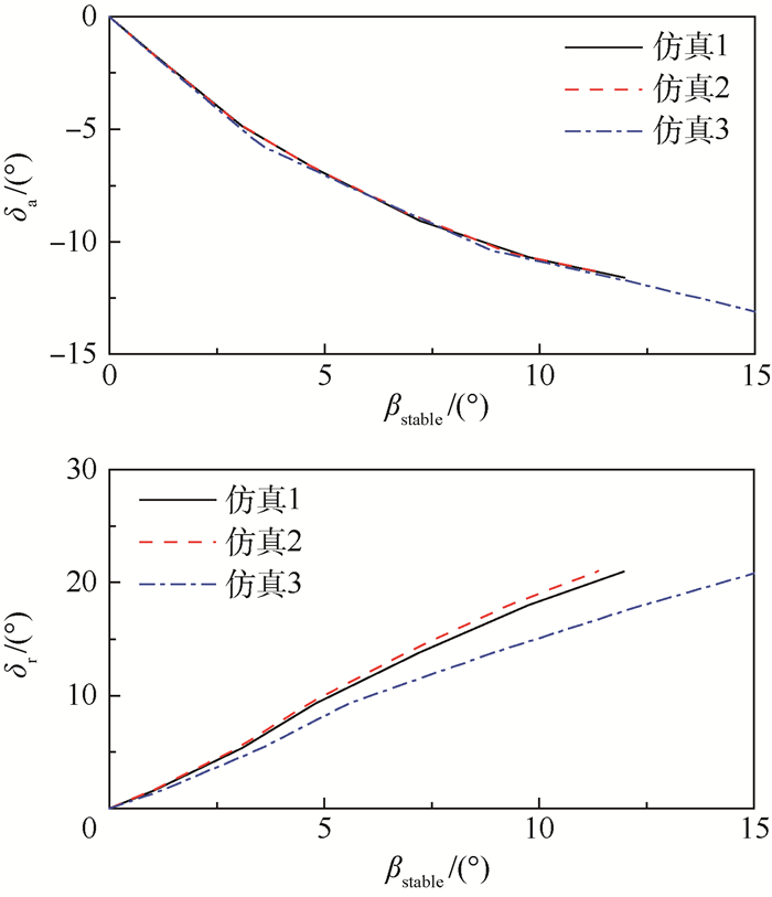
  • According to the requirements of airworthiness standards for lateral-directional static stability of civil aircraft, an assessment method is proposed based on the pilot-aircraft closed-loop mathematical simulation and calculation. Quantitative assessment criteria are set up considering the requirement of the specific airworthiness clause. Nonlinear aircraft system model and pilot control model are established and synthesized to simulate the specific flight mission such as steady-state linear sideslip flight. An assessment of airworthiness compliance is made by comparing simulation results with the criteria. By using the method, the airworthiness compliance of a civil aircraft is assessed and the reasonable ranges of the two lateral-directional static stability derivatives are accurately determined. This method can be applied to the preliminary design phase of civil aircraft and the calculation results offer theoretical references for flight tests.

     

  • loading
  • [1]
    方振平,陈万春,张曙光.航空飞行器飞行动力学[M].北京:北京亚洲成人在线一二三四五六区出版社,2005:260-262.

    FANG Z P,CHEN W C,ZHANG S G.Flight dynamics of aerospace aircraft[M].Beijing:Beihang University Press,2005:260-262(in Chinese).
    [2]
    IORIO C,NAPOLITANO M R,SEANOR B A,et al.Parameter estimation for the NASA SR-71 longitudinal and lateral-directional dynamics:AIAA-1999-4172[R].Reston:AIAA,1999.
    [3]
    LEE K H,KIM B S,PARK K E,et al.Estimation of aircraft lateral-directional aerodynamic derivatives from flying quality flight test:AIAA-2001-4014[R].Reston:AIAA,2001.
    [4]
    ROYSDON P F,KHALID M.Blended-wing-body lateral-directional stability investigation using 6DOF simulation:AIAA-2011-1563[R].Reston:AIAA,2011.
    [5]
    VECCHIA P D,NICOLOSI F,CILIBERTI D.Aircraft directional stability prediction method by CFD:AIAA-2015-2255[R].Reston:AIAA,2015.
    [6]
    LEE B,ZAICHIK L,YASHIN Y,et al.Criterion to estimate optimum lateral static stability margin:AIAA-2007-6386[R].Reston:AIAA,2007.
    [7]
    乐挺,王立新,况龙.农林飞机近地作业飞行的横航向稳定特性[J].航空学报,2008,29(4):853-858. http://www.cnki.com.cn/Article/CJFDTOTAL-HKXB200804015.htm

    YUE T,WANG L X,KUANG L.Lateral stability of an agriculture aircraft during low-altitude flight operation[J].Acta Aeronautica et Astronautica Sinica,2008,29(4):853-858(in Chinese). http://www.cnki.com.cn/Article/CJFDTOTAL-HKXB200804015.htm
    [8]
    中国民用航空局.运输类飞机适航标准:CCAR-25-R4[S].北京:中国民用航空局,2011:22-23.

    Civil Aviation Administration of China.Airworthiness standards of transport category aircraft:CCAR-25-R4[S].Beijing:Civil Aviation Administration of China,2011:22-23(in Chinese).
    [9]
    吴文海.飞行综合控制系统[M].北京:航空工业出版社,2007:157-159.

    WU W H.Integrated flight control system[M].Beijing:Aciation Industry Press,2007:157-159(in Chinese).
    [10]
    LENOX G W.A flight test determination of the static longitudinal stability of the Cessna 310d airplane[D].Princeton:Princeton University,1961.
    [11]
    孙康宁,陆正杰,张景亭.民机横航向静稳定飞行试验与评定方法研究[J].飞行力学,2016,34(1):82-84. http://www.cnki.com.cn/Article/CJFDTOTAL-FHLX201601019.htm

    SUN K N,LU Z J,ZHANG J T.Research on the method of flight test and evaluation for lateral and directional stability of civil aircraft[J].Flight Dynamics,2016,34(1):82-84(in Chinese). http://www.cnki.com.cn/Article/CJFDTOTAL-FHLX201601019.htm
    [12]
    BURDUN I Y,DALAURENTSI D A,MAVRIS D N.Modeling and simulation of airworthiness requirements for an HSCT prototype in early design:AIAA-1998-4936[R].Reston:AIAA,1998.
    [13]
    SCHARL J,MAVRIS D N,BURDUN I Y.Use of flight simulation in early design:Formulation and application of the virtual testing and evaluation methodology:AIAA-2000-01-5590[R].Reston:AIAA,2000.
    [14]
    LIU F,WANG L X,TAN X S.Digital virtual flight testing and evaluation method for flight characteristics airworthiness compliance of civil aircraft based on HQRM[J].Chinese Journal of Aeronautics,2015,28(1):112-119. doi: 10.1016/j.cja.2014.12.013
    [15]
    刘海良,王立新.基于数字虚拟飞行的民用飞机纵向地面操稳特性评估[J].航空学报,2015,36(5):1432-1441. http://www.cnki.com.cn/Article/CJFDTOTAL-HKXB201505006.htm

    LIU H L,WANG L X.Assessment of longitudinal ground stability and control for civil aircraft based on digital virtual flight testing method[J].Acta Aeronautica et Astronautica Sinica,2015,36(5):1432-1441(in Chinese). http://www.cnki.com.cn/Article/CJFDTOTAL-HKXB201505006.htm
    [16]
    贾重任,黄成涛,王立新.空中最小操纵速度的人机闭环数学仿真计算[J].北京亚洲成人在线一二三四五六区学报,2013,39(5):580-584.

    JIA Z R,HUANG C T,WANG L X.Mathematical simulation method to calculate air minimum control speed[J].Journal of Beijing University of Aeronautics and Astronautics,2013,39(5):580-584(in Chinese).
    [17]
    修忠信,由立岩.运输类飞机合格审定飞行试验指南[M].上海:上海交通大学出版社,2013:92-95,306.

    XIU Z X,YOU L Y.Flight test guide for certification of transport category airplanes[M].Shanghai:Shanghai Jiao Tong University Press,2013:92-95,306(in Chinese).
    [18]
    Society of Audio Engineering Aerospace.Design objectives for handing qualities of transport aircraft:ARP-4104[R].Warrendale,PA:SAE International,2007.
    [19]
    高浩,朱培申,高正红.高等飞行动力学[M].北京:国防工业出版社,2004:2-6.

    GAO H,ZHU P S,GAO Z H.Advanced flight dynamics[M].Beijing:National Defense Industry Press,2004:2-6(in Chinese).
    [20]
    ABZUG M J.Computational flight dynamics[M].Reston:AIAA,1998:9-17.
    [21]
    高金源,李陆豫,冯亚昌.飞机飞行品质[M].北京:国防工业出版社,2003:24-26,139-154.

    GAO J Y,LI L Y,FENG Y C.Aircraft handing qualities[M].Beijing:National Defense Industry Press,2003:24-26,139-154(in Chinese).
    [22]
    HOSMAN H,STASSEN H.Pilot's perception in the control of aircraft motions[J].Control Engineering Practice,1999,7(11):1421-1429. doi: 10.1016/S0967-0661(99)00111-2
    [23]
    HOSMAN R,SCHURING J,GEEST P.Pilot model development for the manual balked landing maneuver:AIAA-2005-5884[R].Reston:AIAA,2005.
    [24]
    POOL D M,MULDER M,ZAAL P M T,et al.Pilot equalization in manual control of aircraft dynamics[C]//Proceedings of the 2009 IEEE International Conference on Systems,Man and Cybernetics.Piscataway,NJ:IEEE Press,2009:2480-2485.
    [25]
    ZAAL P M T,POLL D M,BRUIN J D,et al.Pilots'use of pitch and heave motion cues in pitch control task:AIAA-2008-6537[R].Reston:AIAA,2008.
    [26]
    HOSMANG R,VAN D G P,VAN D Z J.Development of a pilot model for the manual balked landing maneuver:AIAA-2009-5818[R].Reston:AIAA,2009.
  • 加载中

Catalog

    通讯作者: 陈斌, bchen63@163.com
    • 1. 

      沈阳化工大学材料科学与工程学院 沈阳 110142

    1. 本站搜索
    2. 百度学术搜索
    3. 万方数据库搜索
    4. CNKI搜索

    Figures(9)  / Tables(1)

    Article Metrics

    Article views(1251) PDF downloads(540) Cited by()
    Proportional views
    Related

    /

    DownLoad:  Full-Size Img  PowerPoint
    Return
    Return