2024 Vol. 50, No. 9

Display Method:
Volume 9 Issue E-journal
Volume 50 Issue92024
iconDownload (62051) 973 iconPreview
Research progress on influence of disturbance of abiotic environmental factors on microbial community succession
HU Dawei, LI Shuaishuai, LIU Guanghui
2024, 50(9): 2677-2687. doi: 10.13700/j.bh.1001-5965.2022.0736
Abstract:

It is one of the main goals of microbial ecology to understand factors that drive the succession of communities. Abiotic environmental factors affect the growth of populations and the interactions between them. Microbial communities are very sensitive and can easily respond to changes in abiotic environmental factors as the disturbance. Studying the influence of different types of disturbance will enhance the understanding of the relationship among diversity, structure, and function of the microbial community. With the action subject as the classification criteria, the influence of various abiotic environmental factors on the succession of microbial communities was sorted out, including abiotic environmental factors in non-specific, specific, and special (e.g. space) environments. Although studies have been conducted on the succession of microbial communities in various forms due to disturbance, there is still a long way to go for related exploration. The quantification, multi-factor effect of disturbance, and the time course of succession have yet to be studied enough.

Multi-source knowledge fusion model for aspect-based sentiment analysis
HAN Hu, HAO Jun, ZHANG Qiankun, ZHAO Qitao
2024, 50(9): 2688-2695. doi: 10.13700/j.bh.1001-5965.2022.0728
Abstract:

Aspect-based sentiment analysis (ABSA) is a fine-grained sentiment analysis task that aims to give the corresponding sentiment polarity for specific aspects that appear in review statements. Most existing aspect-based sentiment analysis methods relying on deep learning focus on mining the semantics and syntax of review statements, often ignoring the conceptual knowledge and sentiment degree information that may be involved in the review statements. To address this problem, a neural network model incorporating multi-source knowledge. It reveals the structural framework of sentences through syntactic dependencies, captures semantic connections between words through word co-occurrence, and embeds emotional networks and concept graphs to provide emotional and background knowledge for the model, and coordinated optimization of the contextual and evaluative aspects of review statements was realized through a dual-interaction attention model. Experimental results on four public datasets show that the model achieves better performance than existing models, with accuracy reaching 75.00%, 77.90%, 81.55%, and 90.10%, respectively, all of which were improved compared to the benchmark model. This achievement not only verifies the effectiveness of multi-source knowledge fusion in ABSA tasks, but also provides new ideas and methods for future research.

Verification scheme of position message for automatic dependent surveillance-broadcast system based on interval difference of arrival
LIU Haitao, LIU Jiaxiang, LI Dongxia, WANG Lei
2024, 50(9): 2696-2703. doi: 10.13700/j.bh.1001-5965.2022.0729
Abstract:

Because of its precise aircraft position, quick update interval, and broad surveillance coverage, automatic dependent surveillance-broadcast (ADS-B) is a rapidly developing aeronautical surveillance system that has been extensively utilized in civil aviation surveillance. Nevertheless, since ADS-B communications are transmitted without cryptographic security protections, ADS-B is susceptible to spoofing sources. To detect spoofing, a verification scheme of ADS-B position messagesbased on interval difference of arrival (IDOA) is proposed. Firstly, the system model of ADS-B position message verification based on IDOA is presented.Then, the expression of the test statistic for ADS-B position message verification is derived. In addition, the detection threshold is given by the derived statistical property of the test statistic. Finally, computer simulation is used to confirm the accuracy and efficacy of the suggested strategy.The simulation results show that the probability of detection and probability of false of the IDOA scheme is equivalent to that of the time difference of arrival (TDOA) scheme,and IDOA is not sensitive to time measurement error and ADS-B position error. However, the benefit of IDOA is that it is not affected by time synchronization errors.

Integrated security control of industrial cyber-physical systems based on new type ADETCS
LI Wei, CHENG Xue, LI Yajie
2024, 50(9): 2704-2716. doi: 10.13700/j.bh.1001-5965.2022.0734
Abstract:

For industrial cyber-physical system (ICPS) with false data injection (FDI) attacks and faults, the collaborative design of integrated security control and communication in the new type adaptive discrete event-triggered communication scheme (ADETCS) was studied. Firstly, the ADETCS was introduced to replace the traditional discrete event-triggered communication scheme, and an ICPS architecture with adaptive collaborative optimization of security control and communication was constructed. Secondly, through the optimization design of the threshold function in ADETCS, a new type ADETCS was obtained, which could change continuously in both directions with the system’s dynamic behaviors. Then, based on the active attack-tolerant and active fault-tolerant ideas, the Lyapunov function was constructed, and less conservative techniques such as new Bessel-Legebdre inequality and cone complementarity linearization (CCL) were used. Under the unified adaptive variable sampling framework, the solution methods of the robust estimator and integrated security controller were derived so that ICPS could defend against FDI attacks and faults at the same time and have better adaptive communication regulation ability. The simulation results show that the ingenious design of threshold function in the new type ADETCS and the application of CCL can achieve a better compromise between the integrated security control performance and resource saving of ICPS.

Image dehazing network based on dark channel prior guidance
HUANG Shuying, XIA Yukun, YANG Yong, WAN Weiguo, QIU Genying
2024, 50(9): 2717-2726. doi: 10.13700/j.bh.1001-5965.2022.0758
Abstract:

Currently, the majority of dehazing techniques that utilize deep learning focus on directly acquiring the mapping relationship between a foggy image and a non-fog image.Because of the lack of combination with the characteristics of fog images, there are problems such as inaccurate detection of fog information and incomplete dehazing. In order to address the aforementioned issues, this study introduces a novel approach called the dark channel prior-guided image dehazing network (DCPDNet), which operates in an end-to-end manner. First, the shallow features of the input foggy image are extracted by several convolution layers. Secondly, two feature enhancement blocks (FEB) are constructed to enhance the spatial features of the image, which can enhance the image features on two scales, that is, the deep feature map is used to enhance the semantic features, and the shallow feature map is used to enhance the image details. Thirdly, in order to make the extracted features pay more attention to the fog area, a feature correction block (FCB) based on the guidance map is designed by considering the imaging characteristics of fog in the fog image. The FCB uses the dark channel theory to build a guidance map to guide the attention of network learning to the fog area, and further refine and correct the extracted deep feature map. Finally, by using the skip connection of the residual structure, the enhanced shallow features are used to supplement the details lost in the network, and the image after dehazing is reconstructed through several convolution operations. Multiple trials have demonstrated that DCPDNet is capable of achieving a satisfactory dehazing effect while maintaining a lightweight model and quick execution. Compared with some advanced dehazing methods proposed in recent years, DCPDNet has better performance in terms of efficiency, subjective visual perception and objective evaluation results.

Iterative learning control of electric load simulator of aircraft steering gear
LIU Xiaolin, LI Jinkai
2024, 50(9): 2727-2738. doi: 10.13700/j.bh.1001-5965.2022.0711
Abstract:

The electric load simulator of aircraft steering gear (ELSSG) is disturbed by redundant torque. To address this issue,a compound controller combining iterative learning control and robust integral control of sign of error (RISE) was proposed. The mathematical model of the load simulator was established, and the generation mechanism of excess torque was analyzed.In terms of the hardware structure, the metal-rubber buffer spring was introduced to improve the stability and loading accuracy of the system. In terms of the control strategy, the compound controller was designed based on the robust integral control of error signs and the iterative learning control of the guidance signal improved by adaptive forgetting factor, and the convergence condition of the iterative learning control was proven. The simulation experiment proves that the compound controller can eliminate the interference from redundant torque more effectively than the traditional iterative learning control method and PID control method and improve the load torque output accuracy of the load simulator.

Task segmentation and parallel optimization of DNN model
JU Tao, LIU Shuai, WANG Zhiqiang, LI Linjuan
2024, 50(9): 2739-2752. doi: 10.13700/j.bh.1001-5965.2022.0731
Abstract:

In order to solve the problems of difficult parallelization, long training time, and low equipment utilization in the traditional parallelization method of manually partitioning computing tasks of the neural network model, a task segmentation and parallel optimization method based on feature perception of deep neural network (DNN) model was proposed.Firstly, in the hardware computing environment, the computing characteristics of the model were dynamically analyzed to obtain the internal correlation and various parameter attributes of the model, and the directed acyclic graph (DAG) of original computing tasks was constructed. Secondly, the topological relationship of DAG nodes that could be partitioned into clusters was constructed by using augmented antichain, and the original DAG was transformed into an antichain DAG for easy partition. Thirdly, the antichain DAG state sequence was generated by topological sorting, and the state sequence was divided into different execution stages by dynamic programming.The optimal segmentation points were analyzed to divide the model and achieve dynamic matching between the model partition and each GPU. Finally, micro-processing in batches was carried out, and multi-iteration intensive training was realized by introducing pipeline parallelization, which improved GPU utilization and reduced training time. The experimental results show that on the CIFAR-10 dataset, compared with the existing model segmentation methods, the proposed model segmentation and parallel optimization method can balance the training task load among GPUs. The 4 GPU speedup reaches 3.4, and the 8 GPU speedup reaches 3.76 while ensuring the model training accuracy.

Fatigue detection of facial 3D physiological feature points in sleep deprivation
LI Jingqiang, FANG Qiu, FAN Tianchen, MA Long
2024, 50(9): 2753-2762. doi: 10.13700/j.bh.1001-5965.2022.0733
Abstract:

Sleep deprivation and circadian rhythm disorder are important factors affecting the fatigue of transportation staff. In order to advance the safety risk prevention threshold, it is now vital to identify staff fatigue concurrently with the advent of "face brushing" technology while on duty. This study uses the 30 h sleep deprivation experiment to further explore the three-dimensional changes of facial fatigue. Based on the fusion of facial bilateral curvature characteristics and principal component analysis (PCA), it proposes the wrinkles severity index (WSI), which when paired with the objective heart rate (HR) monitoring method, psychomotor vigilance test, and subjective fatigue assessment, integrated subjects' facial fatigue judgment. The results showed that under the condition of sleep deprivation, the WSI changes and fatigue fluctuated significantly, and the overall trend was gradually increasing. The results of the 30 h trial revealed a high correlation between the change in WSI and the trends in subjective tiredness index, response time (P<0.01), and HR (P<0.05). Based on the WSI index, the fatigue was divided into four grades, and the feasibility of static detection of facial fatigue was verified from the perspective of three-dimensional physiological characteristics. The results provided a new idea for rapid fatigue detection technology.

Relation extraction based on fusion of graph structure and sequence features
WU Tongxin, JI Xin, WANG Honggang, YANG Zhiwei, CHEN Yiting, ZHAO Jiakui
2024, 50(9): 2763-2771. doi: 10.13700/j.bh.1001-5965.2022.0706
Abstract:

Relation extraction is an important task for natural language processing applications. Most of the existing relation extraction methods mainly predict the relation based on language sequence features or structure information of sentences, which fails to effectively reflect the internal structure and features of the relation between entities. In this paper, a relation extraction model fusing graph structure and sequence feature information in sentences was proposed. The model used an attention-based graph convolutional neural network (GCN) to learn the structure information of sentences and utilized bi-directional long short-term memory (BiLSTM) to learn the sequence semantics. The relation was classified by considering the two features through the attention mechanism. Extensive experiments were conducted on a public dataset and a manually constructed dataset, which demonstrated the priority of the proposed model.

Deck motion prediction and compensation technology based on BP neural network
ZHAO Suo, LIN Li, LI Zhen, HOU Zhongxi
2024, 50(9): 2772-2780. doi: 10.13700/j.bh.1001-5965.2022.0743
Abstract:

The impact of deck motion on the complete automatic landing success rate is taken into account during the landing procedure. Aiming at the asynchrony of the deck and the longitudinal height of the carrier-based aircraft caused by the delay in the response of the carrier-based aircraft, the deck motion prediction technology is used to forecast the motion parameters of the ship in the effective time in the future. A six-degree-of-freedom deck motion model based on sine wave combination is established, and a deck motion prediction model is established based on a back-propagation (BP) artificial neural network. A deck motion compensation model is developed in accordance with the advance network, and the landing guidance system is integrated to guarantee that the vector of the deck and the carrier aircraft are in synchronization. The aircraft motion model is established, and the feasibility of the deck motion prediction and compensation technology is verified through the simulation experiments.

Topological optimization method for conformal cellular structures on surfaces based on co-simulation
FU Junjian, XU Yong, ZHOU Xiangman, SHU Zhengtao, TIAN Qihua
2024, 50(9): 2781-2790. doi: 10.13700/j.bh.1001-5965.2022.0751
Abstract:

The optimization design for structures with surface is challenging due to the mismatch between cellular unit cell configuration and the design domain shape. Thus, a topological optimization design method for conformal cellular structures on surfaces based on co-simulation is proposed. The parametric modelling of cellular structures is achieved by utilising the implicit level set functions derived from triply periodic minimal surfaces. By using the isoparametric element method, the mapping relationship between the natural coordinate system and the cartesian coordinate is established to realize the conformal modeling of the cellular structures on surfaces. A linear interpolation function is constructed to ensure the C0 continuity of the cellular unit cell. An optimization framework for cellular structures is built by combining MATLAB and ANSYS with the use of variable cutting level set functions.Numerical examples show that this method can effectively realize the topological optimization design of cellular structures on surfaces. The method also ensures the matching of the cellular structures unit cell with the shape of the design domain, and improves the mechanical properties of the cellular structures.

Attribute aggregation entity alignment based on multi-channel graph neural network
JI Xin, WU Tongxin, WANG Honggang, YANG Zhiwei, HE Yude, ZHAO Xiaolong
2024, 50(9): 2791-2799. doi: 10.13700/j.bh.1001-5965.2022.0703
Abstract:

With the advent of the era of big data in power, power grid enterprises have accumulated a large number of multi-modal data in years of technical supervision work. The structured storage and fusion of multi-modal data are the keys to the effective organization and management of power systems. In order to fuse and construct a large-scale multi-modal knowledge graph of power defects, a multi-modal entity alignment method based on a multi-channel graph neural network was proposed to effectively fuse heterogeneous data of multi-source power. A multi-modal knowledge graph entity alignment dataset (EKG) for power defects was constructed by collecting logs related to many defects in the power field. Multi-modal information such as text and images was integrated into the knowledge graph, which provided rich semantic information for entity alignment tasks. The multi-modal data increased the representation difficulty of the entities and relationships. By mining the characteristics of the multi-modal knowledge graph in the power field, an attribute aggregation alignment method was designed. The node representation was learned from the four dimensions of image, text, name, and structure by using the multi-modal attributes and structure information in the knowledge graph, solving the problem that the power defects of a multi-modal knowledge graph cannot be integrated effectively. Experimental results show that the proposed method achieves the best performance on EKG.

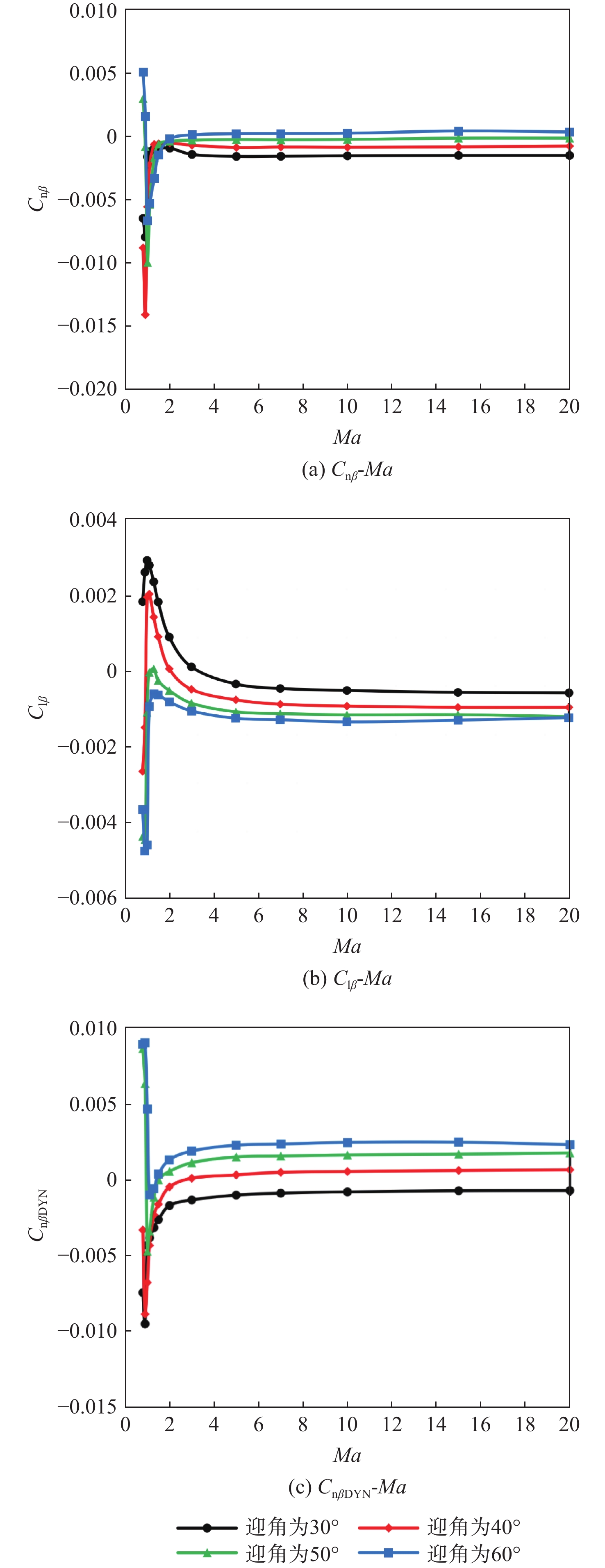
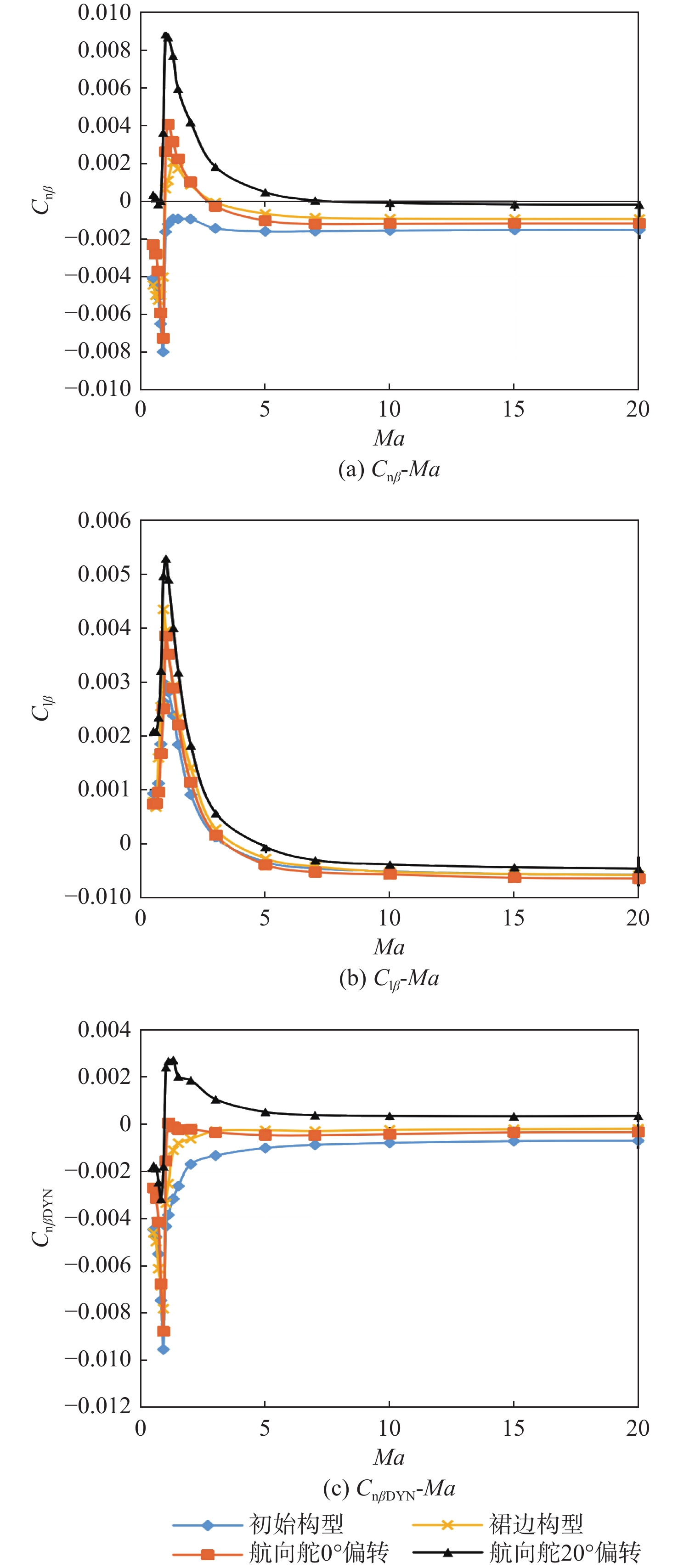
Analysis and improvement of lateral instability of quasi-biconical lifting reentry spacecraft
CHEN Gang, SUN Xue, LI Guangxing, ZHAO Dan, MA Jianying, HE Cheng
2024, 50(9): 2800-2809. doi: 10.13700/j.bh.1001-5965.2022.0708
Abstract:

The lateral stability of the quasi-biconical lifting reentry spacecraft is a strict constraint on the implementation of its ideal reentry strategy, which requires specialized analysis in the design stage. In this paper, for the nominal reentry process of the quasi-biconical lifting reentry spacecraft, the lateral stability of the spacecraft in the range of full speed and wide angle of attack was calculated by using the numerical simulation method. According to the flow field characteristics, the mutation regularity of the lateral stability in the sub-/trans-/supersonic domain was analyzed. Then, the effect of the eddy current generator, lateral stability enhancement surface, and center-of-gravity offset on the lateral stability was analyzed, as well as the corresponding mechanism. The results reveal that the combination of rudder deflection and center-of-gravity offset is the optimal solution to enhance lateral stability.

Adequacy and suitability of airworthiness clause of bird strike based on bird situation in China
LU Xiaohua, CAI Jing, ZHANG Zhuguo, ZHANG Yingchun
2024, 50(9): 2810-2818. doi: 10.13700/j.bh.1001-5965.2022.0726
Abstract:

Based on the data source of bird strike information of airplanes in transportation category from civil aviation of China in recent ten years, the mixed Weibull function was used to fit the bird strike energy distribution, and a Levenberg-Marquardt (L-M) optimization algorithm was applied to obtain more accurate estimations of fitted distribution parameters. Based on the safety index, it was sufficient and appropriate for the wing to evaluate the existing airworthiness clauses of bird strike by the bird strike energy distribution function. However, it was sufficient but too conservative for the tail. According to the safety index of catastrophic accidents, the minimum bird weight meeting the airworthiness requirement of the wing against bird strike under the bird situation in China was 1.218 kg. At the same time, the vision was verified that Federal Aviation Administration (FAA) would increase the minimum airworthiness requirement of the wing against bird strike to 3.6 kg under the bird situation in America, which partially demonstrated the validity of the methods and reliability of the results and provided a theoretical basis and practical reference for the independent revision of relevant airworthiness clauses of civil aviation of China.

Considering visual search characteristics on command and control system KLSM
GUO Zhong, ZHAO Gang, FU Bin, LIU Jiaye
2024, 50(9): 2819-2825. doi: 10.13700/j.bh.1001-5965.2024.0120
Abstract:

The traditional keystroke level model (KLM) focuses on the operation analysis of the keyboard and mouse, which is well-suited for efficiently quantifying job completion time in straightforward software interfaces. However, a significant error occurs when the software interface of the command and control system is transferred to evaluate complicated information characteristics. This paper introduces a physical operation time unit index for the command and control system, based on the visual search processing time of users. The index is derived from experiments that determine the typical parameters of user visual search processing time. Additionally, a more precise task operation analysis model called keystroke level and visual search model (KLSM) is established, which takes into account the impact of visual search characteristic factors. The comparative test examines the accuracy of the KLSM model in forecasting and evaluating the task completion time by using 5 typical command and control tasks as examples.

Prediction method of aero-heating of hypersonic vehicle bi-curvature leading edge based on machine learning
YANG Fan, LIN Mingyue, HU Zongmin, LUO Changtong
2024, 50(9): 2826-2834. doi: 10.13700/j.bh.1001-5965.2022.0746
Abstract:

The prediction technology of hypersonic aero-heating is one of the key technologies for the development of high-speed vehicles. Creating an efficient method for predicting the hypersonic thermal conditions is highly important for designing thermal protection systems and optimizing aerodynamics. In order to obtain the heat flux distribution on the surface of hypersonic vehicles quickly and to shorten the vehicle design cycle, a fast prediction method for the aerothermal environment of the bi-curvature leading edge of hypersonic vehicles is proposed based on the multi-level block building (MBB) algorithm. The MBB algorithm is distinguished by its generalized separability, which enables it to efficiently represent highly nonlinear data. First, numerical simulations are conducted to obtain the database composed of the aero-heating data of the bi-curvature leading edges of the vehicles in the training set. Based on the MBB algorithm, an explicit expression for predicting the distributions of heat flux is given. The statistical analysis results demonstrate that the discrepancy between the estimated value and the observed value is below 2%, suggesting that the formula given in this study exhibits a high level of predictive precision. Further, an extrapolation of the formula is performed to verify its applicability for different geometric shapes. At the stage of thermal design and aerodynamic optimization of the bi-curvature leading edge configuration, the formulation proposed in this paper enables accurate and rapid prediction of the aerodynamic thermal environment.

Efficient prediction method for Kelvin-Helmholtz instability growth on transcritical droplet surface in composite coordinate system
CUI Haigang, YAN Xiaoyu, GAO Yanfei, CHEN Fei, YANG Shichun
2024, 50(9): 2835-2842. doi: 10.13700/j.bh.1001-5965.2022.0701
Abstract:

Traditional methods for analyzing the Kelvin-Helmholtz instability on the surface of droplets that dominate the formation mass of combustible mixtures are difficult to achieve effective predictions over a wide range of critical conditions for the actual operation of hybrid internal combustion engines. In this paper, the composite coordinate system method was used to establish an efficient prediction model of equivalent droplet instability in a transcritical strong convection environment. The global diffusion dynamics model, thermodynamics control model, and tangential instability model of local droplet surface were used, respectively. The analytical solution could be obtained by the modal coordinate transformation in the global coordinate system model, and the potential function was introduced in the local coordinate system to improve the solution speed. To realize a practical fluid computational simulation model, the dimensionless physical parameters were used to describe the changes in aerodynamic force, inertial force, viscous force, surface tension, and other control factors under different transcritical conditions and analyze their influence on the growth of tangential and normal unstable waves on the droplet surface. The results show that the aerodynamic forces on the droplet surface still dominate the development of tangential unstable waves on the droplet surface under transcritical conditions. When the pressure increases, the decrease in the flow characteristics controlled by Reynolds number in liquid phase and the decrease in the viscous force of the droplet controlled by Ornisol number basically offset. With the increase in ambient temperature, the contribution of flow characteristics controlled by Reynolds number to the growth of the Kelvin-Helmholtz wave becomes small, and the influence of the inertial force of the droplet becomes weak.

Dual-frequency continuous wave pseudo-signal interference effect in swept-frequency radar
ZHAO Hongze, WEI Guanghui, PAN Xiaodong, DU Xue, LU Xinfu
2024, 50(9): 2843-2851. doi: 10.13700/j.bh.1001-5965.2022.0739
Abstract:

To fully understand the impact of dual-frequency electromagnetic radiation pseudo-signal interference on radar and uncover the underlying mechanism behind this interference effect. Taking a Ku-band swept-frequency ranging radar as the test object, a dual-frequency continuous wave pseudo-signal interference effect test was carried out, and the effect mechanism of second-order intermodulation RF interference, second-order intermodulation low-frequency interference and third-order intermodulation low-frequency interference was revealed respectively. The variation rule of the pseudo-signal level with the interference field intensity was determined, and the morphological characteristics and generation position of the pseudo-signal were explained. The test results indicate that when the difference in interference frequency is approximately between 540 MHz and 660 MHz, the out-of-band dual-frequency second-order intermodulation signal will generate pseudo-signal interference of the wide-pulse type, with a random location for the pseudo-signal. On the other hand, when the difference in interference frequency is less than 5 MHz, both the dual-frequency second-order intermodulation signal and the third-order intermodulation signal will produce pseudo-signal interference of the impulse type, with a fixed location for the pseudo-signal.

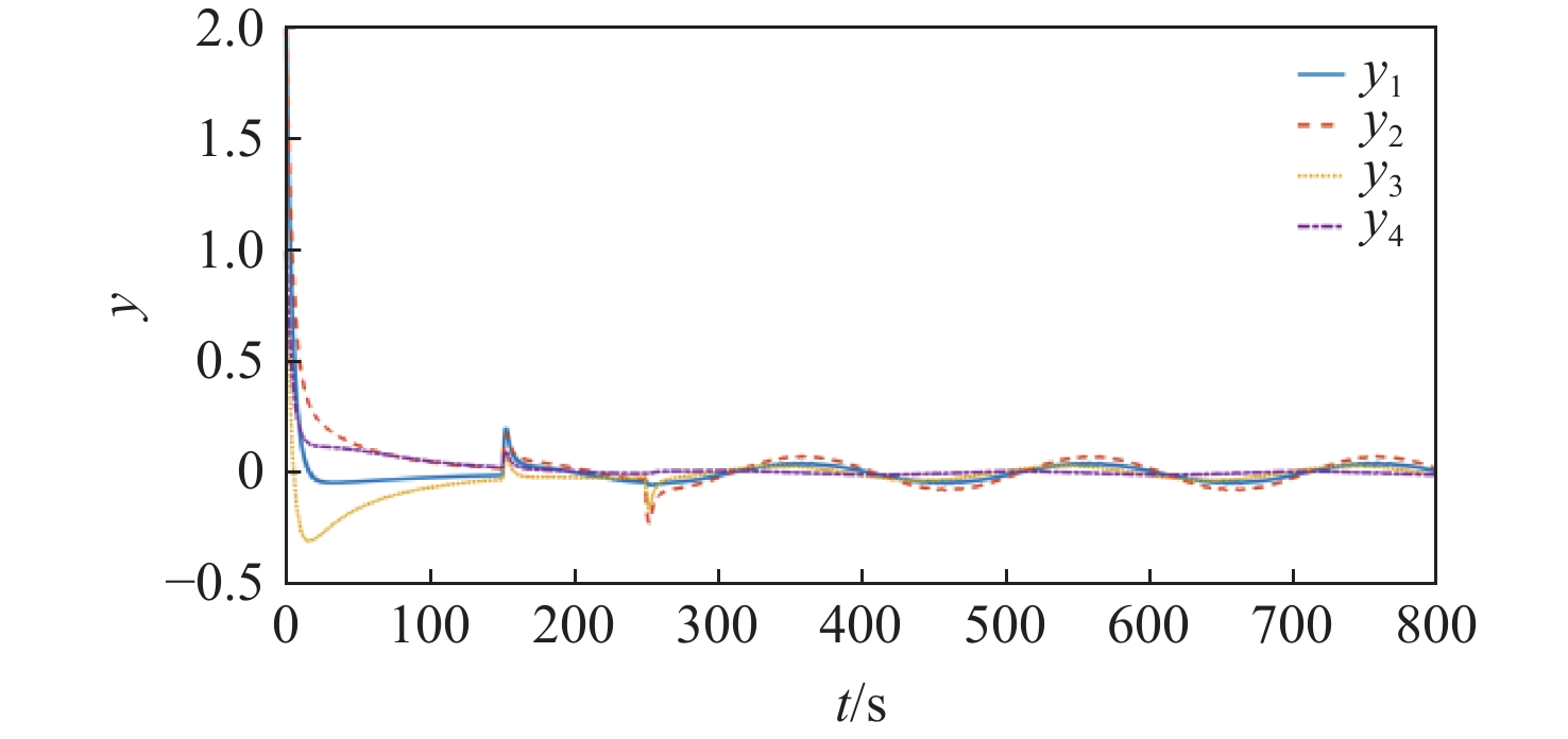
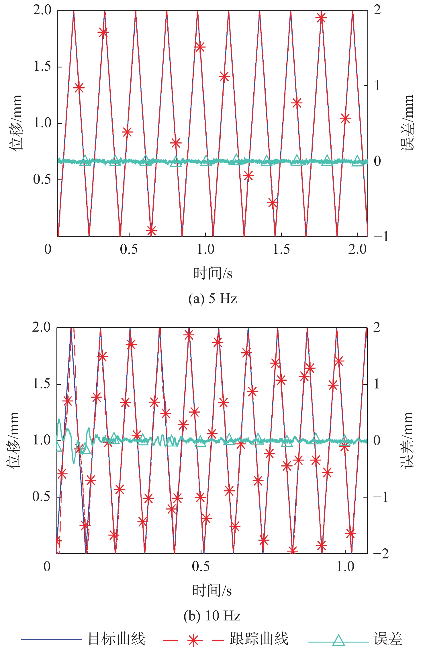
Large-stroke microposition stage driven by reluctance actuator and its trajectory tracking control
ZHANG Xu, LU Xiaowei, LAI Leijie
2024, 50(9): 2852-2861. doi: 10.13700/j.bh.1001-5965.2022.0702
Abstract:

Maxwell reluctance actuators overcome the problems of small strokes of traditional piezoelectric actuators and low thrust density and efficiency of voice coil motors and have great application potential in large-stroke and high-speed micro/nanoposition. In this paper, a large-stroke two-degree-of-freedom flexible microposition stage driven by a Maxwell reluctance actuator was designed, and its high-performance trajectory tracking control was carried out. The position stage was composed of two Maxwell reluctance actuators with permanent magnet bias and a two-degree-of-freedom decoupled and parallel flexible guiding mechanism. The stage made full use of the nonlinear negative stiffness of the reluctance actuator to partially compensate for the elastic restoring force of the flexible mechanism, which could effectively improve its motion range and energy transfer efficiency and reduce the required thrust of the stage within the range of ± 2 mm from ±120 N to ±24 N. In terms of trajectory tracking control, firstly, in order to compensate for the hysteresis nonlinearity caused by the impulse of soft magnetic material of the actuator, a rate-dependent hysteresis compensator was constructed by using the inverse Prandtl-ishlinskii hysteresis model and placed in the feedforward loop. In addition, in order to solve the low damping resonance and the inconsistency of the dynamic model of the stage, a PI feedback controller with a fractional order phase-lead link was designed to flexibly adjust the open-loop frequency characteristics of the system, realize the high-precision trajectory tracking control of the stage, and effectively reduce the tracking error of the system. The root mean square errors obtained by tracking the trajectory of triangular wave signals with amplitude of 2 mm and frequencies of 1 Hz and 10 Hz are 0.013 mm and 0.017 mm, respectively.

Improved moth-flame optimization algorithm with multi-strategy integration
HE Jiawen, XU Xianze, GAO Bo
2024, 50(9): 2862-2871. doi: 10.13700/j.bh.1001-5965.2022.0707
Abstract:

An enhanced moth-flame optimization algorithm with multi-strategy integration (RGMFO) was proposed in order to address the issues that the moth-flame optimization algorithm was prone to falling into the local optimum and that its exploitation ability was insufficient while it was approaching the global optimum. To generate high-quality moth populations, a random opposition-based learning strategy was applied at the start of each iteration. To generate high-quality moth populations, a random opposition-based learning strategy was applied at the start of each iteration. Gaussian mutation was then used to swap out subpar flame individuals with superior ones. Archimedes spirals, weighting factors, and the surrounding of a small number of optimal flames were employed to enhance the moth update mechanism. The proposed algorithm was tested on 11 benchmark functions of different types. The test results and rank sum test show that RGMFO has better global search ability and higher search accuracy. Lastly, RGMFO is applied to the engineering scenarios of reducer design and trough bulkhead design, which further verifies the practicability and feasibility of the algorithm.

3D SLAM algorithm based on geometric constraints of feature points in dynamic scenarios
LIU Mingjian, LUO Jingwen, QIN Shiyin
2024, 50(9): 2872-2884. doi: 10.13700/j.bh.1001-5965.2022.0721
Abstract:

The dynamic objects will cause a large number of dynamic errors in the pose estimation of robots in dynamic scenarios. To address this issue, a 3D simultaneous localization and mapping (SLAM) algorithm for mobile robots was presented by using geometric constraints between feature points to eliminate dynamic feature points. First, the ORB feature points of the current frame and the map points generated by feature points of the previous frame were used for projection matching, and the Delaunay triangulation method was introduced to construct a triangle net that could represent the geometric relationship between the matching map points of the two frames. Then, the dynamic feature points were detected according to the geometric relationship changes of the map points in the adjacent two frames. Since the static feature points may be incorrectly detected as dynamic feature points, which thus brings about the loss of feature points, more feature points were extracted during the matching of the adjacent two frames, so as to compensate for static feature points. Then, the dynamic feature points were eliminated, and the pose of the mobile robots was estimated accurately. On this basis, a sliding window was introduced to extract key frames and complete closed-loop detection, and thus an accurate 3D dense map was constructed. The results of simulation experiments on multiple sets of public datasets and the experiments in the indoor dynamic scenarios show that the proposed algorithm in this paper can effectively eliminate the dynamic feature points and improve the accuracy of the pose estimation of mobile robots in dynamic scenarios and the consistency of the map.

Analysis of CDMA interference in large-scale satellite constellation
XU Kedi, XU Zhaobin, GUO Xiaoxu, YANG Jia, CHENG Hengfei, JIN Zhonghe
2024, 50(9): 2885-2892. doi: 10.13700/j.bh.1001-5965.2022.0741
Abstract:

Code division multiple access (CDMA) communication system is the main part of large-scale satellite constellation network. In the case of multiple access interference in multi-channel communication between satellites, the receiving link is modeled. This study elucidates the correlation between bit energy to noise density ratio (BENR) and device received signal-to-noise ratio (SNR), while also investigating the impacts of additive white noise and multiple access interference on SNR. The BENR and sensitivity are simulated in MATLAB with different receiving and interference power. The simulation demonstrates that the interference signal exerts a diminished impact on the sensitivity when the signal-to-interference ratio (SIR) exceeds 0 dB. The receiver can withstand −6 dB interference while maintaining high sensitivity. An experimental platform for three transmitters and one receiver is established. Data is processed by Chipscope and MATLAB software to obtain the received sensitivity that meets the actual application requirements. Experiments show that when SIR is greater than 0 dB, the received sensitivity can reach −107 dBm. The receiver can resist −9 dB interference at high sensitivity. Error is affected by circuit noise. The congruence between the measured data and the theoretical analysis provides a fundamental basis for the development of the real low-orbit satellite constellation network.

Area optimization of multilevel logic circuits using approximate computing
ZHAO Weikai, WANG Lunyao, CEN Xumeng, XIA Yinshui, CHU Zhufei
2024, 50(9): 2893-2901. doi: 10.13700/j.bh.1001-5965.2022.0742
Abstract:

According to the reported multi-level logic approximation optimization algorithm which can not balance the optimization effect and working speed well for largecircuits. It is proposed to use constant substitution in conjunction with and-inverter-graph (AIG) to optimize the logic at multiple levels for circuit areas. A set of candidate nodes to be replaced and a constant value for the node to be replaced are determined by employing the proposed error rate control technique of constant substitution of multiple fan-out nodes and a number of parameters known as node output distance, constant transmission distance, and so forth. Furthermore, according to the circuit size, different error rate calculation methods are selected to improve the speed of the algorithm. The proposed algorithm is programmed in C and implemented with the ABC tool and tested with EPFL and MCNC bench-marks. The experimental results show, compared with the report's similar methods, the proposed algorithm can save 48.77% area. When compared to approximate logic synthesis by resubstitution with approximate care (ALSRAC), this method achieves a 1.28% increase in area optimization and a 60.91% reduction in running time.

Optimization model for dual hub airline networks based on competition scenario
HE Xiangni, LI Yanhua, YANG Jie
2024, 50(9): 2902-2911. doi: 10.13700/j.bh.1001-5965.2022.0709
Abstract:

In view of the overlapped airline network of dual hub airports that do not belong to the same airport group, an optimization model of dual hub airline networks in a competition scenario was proposed by optimizing the airline network layout of the airports. Based on the airline network construction idea in the median of p hub, the goal was to minimize the planned delay cost of the travelers and overlapped airline cost, and factors such as direct and transit airlines in dual hub airports, passenger demand, and transit flight were considered. In addition, an optimization model for dual hub airline networks with strict multi-allocation 0–1 integer programming without capacity constraints in competitive scenarios was established, and LINGO was used to solve the model. Chengdu Shuangliu Airport and Chongqing Jiangbei Airport in Chengdu-Chongqing Airport Group were selected as dual hubs for case analysis, and the optimization of the airline network was studied based on the overlapped airline cost. The results show that the optimized objective function value decreases significantly, and the decrease rate of planned delay cost decreases with the increase in overlapped airline cost. When the overlapped airline costs are 2 000 RMB and 3 000 RMB, the decrease rate of the objective function value is the highest, which are 32.8% and 32.6%, respectively. In this case, the balance effect of the planned delay cost and the overlapped airline cost of the airline network is the best. It can be seen that the model can fully consider the competition relationship between dual hub airports, take into account the planned delay cost, lower the overlapped airline rate, reduce the waste of resources caused by airline redundancy, and provide guidance for the reasonable adjustment of the airline network of dual hub airports in competition and collaborative development.

Design of double bending rotary ultrasonic elliptical vibration machining system
SHAO Zhuangzhuang, ZHENG Kan, DONG Song, SUN Zhenwen, SUN Lianjun, Yan Jiawen
2024, 50(9): 2912-2918. doi: 10.13700/j.bh.1001-5965.2022.0712
Abstract:

The processing efficiency of the rotary ultrasonic single vibration mode is limited. Therefore, an elliptical vibration processing system with double-bending ultrasonic vibrations was designed using the ultrasonic vibration excitation source coupling method. The bending wave equation was derived, and the calculated parameters of the bending ultrasonic vibration system showed only a 5% error compared to the simulation results in theoretical analysis. The coupled double-bending rotary ultrasonic elliptical vibration processing system combines vibrations in two different directions, controlling the bending vibration frequency deviation to be less than 1%. Finite element analysis was performed on the flange position and shape of the ultrasonic tool holder, revealing that the inclusion of damping grooves helps increase the bending vibration amplitude and determines the optimal position of the flange. Finally, the vibration frequency and amplitude of the double-bending rotary ultrasonic elliptical vibration processing system were tested, and the results indicated that the operating frequency and amplitudes in both directions met the design expectations.

Influence of unloading groove opening of port plate of plunger pumps on transient flow field characteristics
LIU Shanshan, LEI Xinrui, SONG Ziyu, YANG Kai, HUANG Jiahai
2024, 50(9): 2919-2929. doi: 10.13700/j.bh.1001-5965.2022.0713
Abstract:

Cavitation in axial plunger pumps is a main factor affecting its comprehensive performance. The damage in the surface of plunger cylinder is a common failure mode, but the cause is not clear. In view of this damage reason, a three-dimensional CFD model of the pump was established, and a visualization device was designed to observe the flow field characteristics of single plunger cavity and unloading groove on state, so the cause relationship was revealed by simulation and visual measurement of the flow field. The results show that the jet angle increases with the increase in unloading groove opening, accompanied by the generation and disappearance of the vortex, the vortex is generated when the central velocity of the jet is greater than 20 m/s. The simulation results further show that during the transition of the plunger and unloading groove from on state to complete cut-off, the jet angle increases from 0° to 60° gradually. When the jet angle changes from 0° to 20°, the jet direction mainly concentrates on the contact surface between the plunger type cylinder and the waistband groove of the port plate, which leads to jet damage and cavitation damage on the friction surface of the plunger type cylinder and the upper part of the oil absorption waistband groove of the port plate. When the jet angle changes from 20° to 60°, the jet angle expands to the inside of the waistband groove of the port plate, which causes the damaged area of the port plate to move from the upper part to the inside. The formation and disappearance of the vortex are related to the central velocity of the jet. The above research results are helpful in clarifying the causes of cavitation damage on the friction surface of plunger type cylinders, and they provide constraints for the optimization design of port plate structure and have important significance for improving the comprehensive performance of plunger pumps.

Guidance and control method of levitation experiment facility inside China’s Space Station
LU Lizheng, LIU Wei, ZHANG Hao
2024, 50(9): 2930-2938. doi: 10.13700/j.bh.1001-5965.2022.0738
Abstract:

To optimize the microgravity level of the levitation experiment facility (LEF) inside China’s Space Station (CSS), the limited intra-vehicular travel distance and various uncertainties were considered, so as to achieve the optimal microgravity level under different time scales. An autonomous trajectory planning method based on convex optimization and a trajectory tracking scheme based on error feedback control were proposed. Firstly, the structure of the LEF was introduced, and a spatial relative motion model was provided and linearized. Secondly, the motion trajectory and corresponding controlling force sequence with the optimal microgravity level were solved by convex optimization. Finally, the proportion-integration-differentiation (PID) tracking control law based on error feedback was designed to realize the fast tracking control of the optimized trajectory while guaranteeing the microgravity level. Numerical simulation results show that the optimal microgravity level can be $ 9.121 \times {10^{ - 6}}\; {\mathrm{m}}/{{\mathrm{s}}^2} $ when the microgravity science experiment lasts for one hour. The autonomous trajectory planning method based on convex optimization and the trajectory tracking scheme based on error feedback control can achieve the optimal microgravity level for the specified duration. It provides a new solution to the current problem of the optimal microgravity level for a medium duration (such as one hour) and enhances the application value of the LEF in the CSS.

Dynamic communication resource allocation for multi-UAV area coverage
LU Maomao, LIU Chunhui, DONG Zanliang
2024, 50(9): 2939-2950. doi: 10.13700/j.bh.1001-5965.2022.0745
Abstract:

This study presents a reinforcement learning-based multi-agent dynamic communication resource allocation model that addresses the issue of communication resource allocation in multi-UAV area coverage tasks. We first generate the coverage route of each UAV in the mission area by the multi-agent spanning tree coverage (MSTC) method, and model the communication link between the UAV and ground base station as well as UAV pairs. The uncertainty inherent in the flight environment motivates the modeling of the long-term resource allocation problem as a random game. T Considered an agent, the air-to-air connection between UAVs entails receiver, subchannel, and transmission power selection, among other modifications. We then design a multi-agent reinforcement learning (MARL) model based on the double deep Q-network (DDQN), where each agent learns the optimal communication resource allocation strategy through the feedback of the reward function. As shown by simulation results, the proposed MARL method can increase the overall channel capacity, decrease interference from air-to-ground uplink, and optimize communication resource allocation strategies under dynamic trajectories and delay constraints, while also improving the success rate of load delivery.

Dynamic modelling and simulation of a tethered-net in space
CHEN Pengxu, WU Chenchen, NI Zhiyu
2024, 50(9): 2951-2962. doi: 10.13700/j.bh.1001-5965.2022.0747
Abstract:

Once the space tether-net captures the spinning space debris, a torque will be exerted on the connecting tether between the capture net and the satellite. However, the current tether-related dynamic model can't fully describe its twisting behavior. In order to address this issue, a quadratic discrete model is constructed using the lumped parameter method to accurately depict the twisting behaviors of the tether. Comparison with the traditional dynamic model and a torsional experiment for the tether verify that the quadratic discrete model can describe the responses of the tether subjected to tension, bending or torsion. It is found that the torsion of the tether will produce additional traction. Furthermore, the deployment procedure of the tether-net is subjected to simulation analysis and experimentation, which confirms the suitability of the dynamic model for the tether-net system. The simulated examination of the tether-net and space debris combo reveals that the torsional force generated by the rope's twisting will affect the stability of the primary satellite to some extent. Ignoring the twisting behavior of the tether will reduce the accuracy of the dynamic simulation model.

FC-AE-1553 dynamic bandwidth scheduling mechanism for multi network controllers
LI Xinru, ZHANG Xinyue, LI Zheng, HE Feng
2024, 50(9): 2963-2974. doi: 10.13700/j.bh.1001-5965.2022.0755
Abstract:

Due to the increasingly complex communication requirements of avionics system, the communication system based on FC-AE-1553 networking needs to use multiple network controllers (NC) to build a distributed network environment. The key lies in the distribution of control rights across various controllers and the resolution of cross-domain service conflicts. In order to realize multi NC collaborative scheduling, this paper proposes a multi NC dynamic bandwidth scheduling mechanism based on master-slave NC collaboration, which uses concurrent communication to improve network bandwidth utilization and enhance the transmission guarantee capability of various services. For periodic traffic, fixed time slots are used for transmission, for time constraint burst traffic, preemptive bandwidth allocation is used, and for common burst traffic, bandwidth allocation is based on "inter-domain and then intra-domain". The results indicate that the scheduling mechanism is capable of satisfying the collaborative bandwidth allocation and scheduling of various communication services in the presence of multiple network controllers. Furthermore, it can ensure the real-time usage remains below 57%. Multi-NC control offers a clear advantage in terms of latency compared to single NC centralized control, specifically when the network load exceeds 0.5 or the ratio of cross-domain/intra-domain services is higher than 0.8.