2024 Vol. 50, No. 3

Display Method:
Volume 3 Issue E-journal
Volume 50 Issue32024
iconDownload (193813) 1203 iconPreview
Analysis on feasibility of detecting water blooms in Taihu Lake with spaceborne GNSS-R
ZHANG Yun, WANG Yu, ZHOU Shaohui, MENG Wanting, HAN Yanling, YANG Shuhu
2024, 50(3): 695-705. doi: 10.13700/j.bh.1001-5965.2022.0298
Abstract:

Spaceborne global navigation satellite system-reflectometry (GNSS-R) is a passive remote sensing technology with the advantages of high data revisit cycle, all-day coverage, all-weather services, and abundant signal sources. Based on this, the feasibility of detecting water blooms in the Taihu Lake by on-board GNSS-R is studied. Spaceborne GNSS-R can effectively detect the roughness of the reflective surface. By using coherent reflection to characterize the roughness of the reflective surface, the relationship between coherent reflection and cyanobacterial blooms in different wind speed ranges is studied. The US cyclone global navigation satellite system (CYGNSS) is used to track the reflected signals of the global positioning system and calculate the power ratio of the delay Doppler map (DDM) of the CYGNSS mirror reflection point using CYGNSS data from April to August 2020. The chlorophyll concentration in Taihu Lake is used as a reference, retrieved from the maximum characteristic peak height (MPH) algorithm of the imagery from the ocean and land colour instrument (OLCI) aboard on “Sentinel-3” satellite. The time-space linear matching is also conducted with wind speed products of the European Centre for Medium-Range Weather Forecasts (ECMWF). Data analysis shows that in the range of wind speed 1−2.5 m/s and with the chlorophyll concentration reaching more than 0.1 mg/L, coherent reflection tends to occur at the specular reflection point, and the correlation coefficient between the power ratio and the chlorophyll concentration is 0.84, which has a good correlation. Experimental results verify the feasibility of detecting the Taihu Lake water bloom using the power ratio and related features.

Numerical simulation of flow around two tandem wavy conical cylinders at subcritical Reynolds number
ZOU Lin, WU Weinan, LIU Jian, LIU Diwei, WANG Jiahui
2024, 50(3): 706-715. doi: 10.13700/j.bh.1001-5965.2022.0285
Abstract:

Regarding the arrangement of wind energy harvesting structures, based on the large eddy simulation (LES) method, the lift-drag characteristics and flow structures of two tandem wavy conical cylinders are studied with a subcritical Reynolds number (Re = 3900) and the spacing ratio. Results show that due to the influence of the upstream wavy conical cylinder, the fluctuating lift coefficients of the downstream wavy conical cylinder increase substantially. When the spacing ratio is 3, the distribution form of the time-averaged pressure coefficient is different from that of other spacing ratios, showing a reverse distribution. With the increasing spacing ratio, a large number of rib vortices are generated after the wake of the upstream wavy conical cylinder is fully developed, causing impact on the surface of the downstream wavy conical cylinder and generating a large fluctuating lift. Compared with the single straight cylinder, the two tandem wavy conical cylinders increase the fluctuating lift coefficient by about 15.3 times, and reduce the drag coefficient by about 0.172. These results can provide a useful reference for the arrangement of wind energy harvesting structures.

ACARS signal receiving method based on window demodulation of zero-crossing slope
LU Hui, ZHANG Fan, ZHANG Yuxuan
2024, 50(3): 716-728. doi: 10.13700/j.bh.1001-5965.2022.0292
Abstract:

The aircraft communication addressing and reporting system (ACARS) is a digital communication system that allows messages to be sent and received between aircraft and ground stations. It is important for ground-to-air data links, flight safety, and air traffic control. The noise and frequency offset of the communication link are the key factors that affect the performance of ACARS signal reception. Aiming at the distortion in the ACARS signal receiving process, this paper deeply studies the relationship between the frequency offset, environmental noise and other factors and the ACARS message receiving performance. An ACARS signal receiving method based on zero-crossing slope window demodulation is proposed, and the anti-frequency offset resistance of various methods is discussed from the two aspects of theory and simulation analysis. This is based on fully accounting for factors like noise and Doppler frequency shift.This article uses the USRP architecture to design and construct an ACARS reception system based on the software radio platform.Through the simulation analysis of the ACARS message reception performance and the comparison analysis of the real message reception performance, the proposed demodulation method has advantages in improving the anti-noise and frequency offset ability and reducing the bit error rate.

Trajectory optimization of CSTBC UAV relay communication systems with no-fly zone constraints
LIU Haitao, LIU Xiaochang, HUANG Jinfeng, LI Dongxia
2024, 50(3): 729-738. doi: 10.13700/j.bh.1001-5965.2022.0351
Abstract:

The flight path of an UAV has a significant effect on the performance of a UAV relay communication system. To increase transmission reliability, a cooperative space-time block coding (CSTBC) UAV relay communication transmission technique with no-fly zone restrictions is suggested. The outage probability of the UAV relay communication system is theoretically derived, and the UAV flight path is optimized to minimize the system’s outage probability. The UAV relay communication system’s ergodic capacity is also presented. In addition, we established a no-fly zone and provided an evasive mechanism to ensure cooperative UAV flight safety while obtaining the channel’s diversity gain. The simulation findings demonstrate that the cooperative space-time block coding-based UAV relay communication transmission method may get the channel’s diversity gain and enhance the system’s link transmission performance.

Siamese network visual tracking algorithm based on second-order attention
HOU Zhiqiang, CHEN Maolin, MA Jingyuan, GUO Fan, YU Wangsheng, MA Sugang
2024, 50(3): 739-747. doi: 10.13700/j.bh.1001-5965.2022.0373
Abstract:

To improve the feature expression ability and discriminative ability of the visual tracking algorithm based on Siamese network and obtain better tracking performance, a lightweight Siamese network visual tracking algorithm based on second-order attention is proposed. Firstly, to obtain deep features of the object, the lightweight VGG-Net is used as the backbone of the Siamese network.Secondly, the residual second-order pooling network and the second-order spatial attention network are used in parallel at the end of the Siamese network to obtain the second-order attention features with channel correlation and the second-order attention features with spatial correlation.Finally, visual tracking is achieved through a double branch response strategy using the residual second-order channel attention features and the second-order spatial attention features. The proposed algorithm is trained end-to-end with the GOT-10k dataset and validated on the datasets OTB100 and VOT2018.The experimental results show that the tracking performance of the proposed algorithm has been significantly improved. Compared with the baseline algorithm SiamFC, on dataset OTB100, the precision and the success are increased by 0.100 and 0.096, respectively; on dataset VOT2018, the expected average overlap (EAO) increased by 0.077, tracking speed reached 48 frame/s.

Differential positioning with Doppler measurements from Iridium satellite signals of opportunity based on lines of sight correction
QIN Honglei, WU Ning, ZHAO Chao
2024, 50(3): 748-756. doi: 10.13700/j.bh.1001-5965.2022.0378
Abstract:

Positioning technology based on signals of opportunity (SOP) from low Earth orbit (LEO) satellites is an effective complement and backup positioning solution of global navigation satellite system (GNSS). The major sources of errors to be considered in the positioning technology based on SOPs from LEO satellites are ephemeris and satellite clock errors with space-time relevance. Although the differential positioning technology can effectively reduce the above-mentioned errors, positioning error is still large in the long baseline positioning scenario due to the low orbit of the satellites. To address the afore-mentioned challenge, a differential positioning algorithm with Doppler measurements based on lines of sight correction is proposed. Simulation results show that the proposed algorithm has significantly better positioning accuracy than the basic algorithm in long baseline positioning experiments, and the effectiveness of the proposed algorithm is verified by differential positioning experiments with Doppler measurements using actual signals from Iridium satellites.

Redundancy design of a FADS system on a complex leading-edge vehicle using neural network approach
ZHOU Yinjia, WAN Qian, XU Yizhe, QI Bin, SHI Yong
2024, 50(3): 757-764. doi: 10.13700/j.bh.1001-5965.2022.0341
Abstract:

In order to gather airspeed and aerodynamic orientation for hypersonic vehicles, flush air data sensing (FADS) systems are used in place of pitot tubes. This eliminates the issue of intense hypersonic heating caused by the poked-out pitot tube and concurrently enhances the vehicle's stealth performance. At present, there is less analysis and research work on neural network methods and FADS systems for complex profile leading-edge hypersonic vehicles. The impacts of thin leading edge and inlet components were taken into consideration during the redundant design and verification of the FADS systems with complicated profile leading edge, which was aimed at the subsonic/transonic conditions of autonomous return hypersonic vehicles in the landing stage. In the present study, the FADS systems on a typical complex profile sharp-nosed hypersonic vehicles with 15 integrated pressure orifices have been investigated numerically and experimentally. The pressure database has been set up by numerical simulations, with typical conditions verified through wind tunnel experiments. For complex leading-edge vehicle, four sets of FADS algorithms were constructed based on the neural network approach and redundancy design research was carried out, including 1 nine-orifice algorithm and 3 redundant algorithms. Results showed relatively high accuracy in the nine-orifice algorithm, where the estimation error is within 0.07° for an angle of attack, 0.3° for an angle of sideslip, 0.0012 for Mach number, and 1.5% for far-field static and dynamic pressure. Further, a fault management scheme has been proposed, where failure in individual orifice does not lead to fatal degradation in system performance.

Evaluation index of accumulated water-film on asphalt pavement considering safety of aircraft hydroplaning
ZONG Huihang, LI Yue, CAI Jing, DAI Xuan
2024, 50(3): 765-773. doi: 10.13700/j.bh.1001-5965.2022.0352
Abstract:

The primary causes of aircraft tire hydroplaning accidents were rut deformation and cross slope on asphalt pavement, which had a notable impact on the distribution of accumulated water-film depth. At present, an acceptable range of water-film thickness of contaminated runway was given in the regulations considering aircraft take-off and landing process. The evaluation procedure of accumulated water-film was not consitant with reality. Based on feature analysis of the rut section, an equivalent water-film thickness (EWT) evaluation index was proposed in this paper considering the transverse distribution of the cumulative probability of aircraft wheel load. A series of simulation models of tire hydroplaning were then established according to accumulated water-film conditions at different runway segmentations. The difference in hydroplaning behavior between segmentations and the mechanism of rutting impact was fully discussed. The feasibility and applicable range of EWT were then examined and verified. Study results indicate that accumulated water within the rut section caused the increase of overall water-film thickness, which can seriously invade the tire print interface when aircraft tire taxing through. The outline at the tire frontier blurred and the contact area was reduced consequently. At such segmentations, the essential hydroplaning speed dropped, and the cumulative probability of aircraft wheel load was positively correlated with the reduction’s magnitude. The most unfavorable taxing segmentation shifted from the edge of the runway to the area near the central line due to rut deformation. The hydroplaning risk of EWT was only 36% to 81% of that of average water-film thickness (AWT), and the cumulative likelihood of aircraft wheel load involved in EWT was up to twice that of AWT due to the greater representative breadth of safety taxing of EWT. The proposed EWT index may overcome the defection of the maximum water-film thickness (MWT) index that can be too strict to apply. Therefore, EWT is considered more suitable in airport management practice, which can be used as a quantitative reference for runway operation safeguard and hydroplaning risk ranking.

Prediction method of remaining useful life of aero-engine based on long sequence
GUO Junfeng, LIU Guohua, LIU Guowei
2024, 50(3): 774-784. doi: 10.13700/j.bh.1001-5965.2022.0354
Abstract:

A method for forecasting the remaining useful life of an aero-engine based on a stack-dilated convolution neural network (SDCNN) was presented in order to address the inadequate prediction accuracy of the engine’s useful life with long-sequence data from many sensors.The multi-sensor long sequence data was normalized to eliminate errors caused by different dimensions and value ranges. A prediction objective function was constructed to represent the real degradation of the aero-engine. A degradation prediction model was built, based on SDCNN, and long-term, deep, and global time series features were extracted by expanding the receptive field of the model for regression analysis, and then the remaining useful life prediction result of aero-engine was obtained.The model’s hyperparameters were optimized using the Hyperband optimization algorithm and the StratifiedKFold cross-validation method to increase prediction accuracy and adaptability under various conditions. The commercial modular aero-propulsion system simulation (C-MAPSS) dataset was used to confirm the efficacy of the suggested method. The experimental results based on the FD003 dataset in C-MAPSS show that the proposed method can effectively improve the prediction accuracy of aero-engine remaining life based on long-sequence signals, and the score index to evaluate the prediction accuracy of the model is significantly reduced by 32.62%.

Digital twin construction of cleaning for navigational lamps with physical empowerment
DONG Huifen, SUN Haoyuan, YAN Li, WU Yunxia
2024, 50(3): 785-795. doi: 10.13700/j.bh.1001-5965.2022.0357
Abstract:

Airport navigational lamp cleaning equipment needs remote real-time monitoring of equipment condition and cleaning quality. Virtual platforms are utilized to map the operating conditions of the cleaning equipment. The establishment of the virtual environment is still largely dependent on data-driven, lacking the ability to perceive evolution and virtual simulation, and paying less attention to the executed parts. In view of the above problems, a digital twin model based on the multi-physical engine is proposed. The system uses CoppeliaSim to build a data and script dual-driven virtual space, integrates virtual sensing and visual detection, and realizes real-time communication through BlueZero. We present a motion enhancement technique based on improved mean filtering, which is implemented in the data integration subsystem provided by Qt, to address the issue of data flow ladder jump caused by communication delay.The experimental results show that the virtual-real synchronization error of the model is 74 ms after motion enhancement, which meets the synchronization requirements. The mean square error of the joint angle tracking of the cleaning manipulator is 0.827°, and the tracking error of the spatial position of the end is less than 2.775 mm, which meets the tracking accuracy requirements. The proposed model can dynamically present the stain condition when the lamps are cleaned, which proves the rationality of the proposed model and meets the application requirements of the cleaning process of the navigation lamps.

3D imaging method based on scanning rotation synchronous motion
ZHAO Jingcheng, LOU Changyu, MIAO Jungang, XUAN Shiyang
2024, 50(3): 796-802. doi: 10.13700/j.bh.1001-5965.2022.0266
Abstract:

In order to meet the requirements of rapid detection of stealth performance of in-service fighters, a scattering measurement method based on vertical scanning and azimuth rotation synchronous motion is proposed. The vertical guide rail, turntable, data processing terminal, RF transceiver equipment, and transceiver antenna pair make up the majority of the measuring system. When the antenna transmits the frequency step signal, it horizontally rotates the target to be measured on the turntable. At the same time, the transceiver antenna pair scans the target to be measured in the vertical direction. Taking the combination of point targets as an example, the parameter configuration of the measurement system is determined through theoretical analysis and simulation calculation, and the three-dimensional imaging performance of the system under different parameter configurations is compared. The simulation results show that the scattering measurement method of vertical scanning and azimuth rotation synchronous motion can realize three-dimensional imaging. When compared to the traditional cylindrical scanning approach, there is a 92% reduction in measurement time while maintaining the peak sidelobe ratio of 12 dB. The measurement method has the characteristics of high test efficiency, simple system construction and easy adjustment. It provides an effective measurement method for the scattering source diagnosis of stealth aircraft in service.

Carrier aircraft landing scheduling problem based on improved gray wolf optimization
LIU Yujie, HAN Wei, SU Xichao, GUO Fang
2024, 50(3): 803-813. doi: 10.13700/j.bh.1001-5965.2022.0280
Abstract:

The carrier aircraft landing scheduling problem under class one landing mode is studied, and a landing scheduling model is established with the optimization objectives of minimizing the weighted sum of landing delay time, and landing completion time. The model takes into account the impact of the battle damage level and fuel remaining in carrier aircraft. To reduce the burden of manual scheduling, an improved gray wolf optimization (IGWO) algorithm is proposed to optimally solve the scheduling model. In order to address the drawbacks of slow convergence in the late stages of optimization and potential falls into local optimal solutions, the improved algorithm, which is based on the gray wolf optimization (GWO) algorithm, selects the historical optimal solution gray wolf individual as wolf, introduces the chaos operator, and sets the control variable to control the updating of the algorithm parameter. The effectiveness of the IGWO algorithm is verified through the simulation and comparison with different optimization algorithms. The algorithm outperforms the comparison algorithms in the landing scheduling cases with 30, 60, and 90 aircraft, indicating that it has some engineering application value.

Thermal design and validation of high temperature material science experiment system on China space station
SUN Jinchuan, KANG Changxi, XIE Yongqi, MA Dongtao, LI Shenghua, CUI Xiaojie
2024, 50(3): 814-820. doi: 10.13700/j.bh.1001-5965.2022.0365
Abstract:

The high temperature material science experiment system (HTMSES) on China space station is a new generation of comprehensive and multi-functional space material experiment equipment, which can work in orbit for a long time. The system, with complex composition and compact layout, has the problems of high test temperature and difficulty in heat dissipation of components, which make it challenging for the thermal control design. In this study, thermal control component was designed based on multiple design methods including liquid-cooled thermal control, indirect radiation thermal control, and collaborative optimization design of integrated structural and thermal control, which effectively solved the thermal control problems. Temperature results of thermal design are calculated by finite element analysis software. Then, a thermal experiment on the whole science system was carried out to verify the correctness of the thermal design. Data shows when the HTMSES provides the most stringent experiment case required for material preparation (at 1 200 ℃), the key components are in the friendly temperature range. The maximum temperature of the motors is 42.2 ℃, the maximum temperature of the encoders is 40.6 ℃, the maximum temperature of the screws is 62.4 ℃, the maximum temperature of the sliders is 59.6 ℃, the maximum temperature of the rails is 57.3 ℃, and the maximum temperature of the accessible sites of the skin of HTMSES is 31.6 ℃. All the temperature results meet the requirements of the thermal control index, indicating that the thermal design is correct and feasible, and provides a design reference for the thermal control design of similar equipment.

Construction and application of knowledge graph in LOX/LH2 engine domain
CHEN Xiaoping, WANG Jianfeng, ZHANG Hong, HU Qingjie
2024, 50(3): 821-830. doi: 10.13700/j.bh.1001-5965.2022.0333
Abstract:

As a crucial component of the aerospace industry, we construct the domain knowledge graph in the domain of liquid oxygen and liquid hydrogen engines in order to maintain domain knowledge and efficiently enhance the training capacity of scientific research and production talents. According to the characteristics of this domain, three aspects of domain corpus labeling, domain entity recognition, and entity relationship recognition are studied. Based on the research results, the construction of a domain knowledge graph is carried out, and the application mode from three perspectives is sorted out: domain knowledge search, knowledge recommendation, and exploratory analysis. Ultimately, the building methods and application modes are proposed, and the knowledge system in the field of liquid oxygen and liquid hydrogen engines is developed. These materials serve as a guide for the intelligent transformation of the aerospace sector.

Incremental guidance method for kinetic kill vehicles with target maneuver compensation
CHEN Yang, FANG Yizhong, HAN Tuo, HU Qinglei
2024, 50(3): 831-838. doi: 10.13700/j.bh.1001-5965.2022.0519
Abstract:

In view of the design problem of a strong anti-disturbance terminal guidance method for kinetic kill vehicles against highly maneuvering targets, thrust disturbance, and measurement deviation, an incremental strong anti-disturbance terminal guidance method for extra-atmospheric kinetic kill vehicles with target maneuver compensation is proposed. By exploiting the thrust sensing information and the auxiliary differential information of the line-of-sight rate and combining the incremental guidance law and the inertial time delay-based disturbance estimation method, the disturbance caused by the uncertainties brought by target maneuvers and the internal and external uncertainties was compensated in real time and integrated into the guidance algorithm, so as to degrade the disturbance and enhance the robustness of the kinetic kill vehicle’s guidance system against maneuvering targets under complex working conditions. The simulation results under complex working conditions show that the proposed method has strong anti-disturbance capability against multi-source disturbances such as highly maneuvering targets, measurement deviations, and thrust disturbance and thus can fulfill interception tasks by precise collision.

Analysis and modeling method of civil aircraft emergency scenario
JIANG Yuhang, GUO Tai, GONG Qi, REN Wenming, SONG Tao, QIAN Xin
2024, 50(3): 839-849. doi: 10.13700/j.bh.1001-5965.2022.0339
Abstract:

According to the scenario-based civil aircraft system engineering forward development process, in order to ensure the integrity of requirement capture and function analysis in the early stage of aircraft development, the identification, analysis and modeling methods of emergency scenarios are studied. The description and extent of the emergency scenario are provided, together with an analysis of the necessity of taking it into account early in the aircraft development process. The identification of emergency scenarios based on external risk events is conducted for various stages of civil aircraft operation. The external risk events at each stage are provided, and the corresponding emergency scenario list is generated based on the evolution results of the external risk events at each stage. A technique for modeling emergency scenarios based on DoDAF is devised. A typical case of emergency scenario modeling is created when it is combined with a typical emergency scenario. Through the study of the analysis and modeling methods of civil aircraft emergency scenarios, a reference list of external risks and emergency scenarios is formed, and a technical approach for emergency scenario modeling is developed, laying the foundation for safety assurance-oriented, emergency scenario-based requirement capture and initial crew emergency operating procedures definition.

Scheduling method for multi-sensor cooperative area search and target tracking
ZHANG Yunpu, FU Qiang, SHAN Ganlin, HUANG Yan
2024, 50(3): 850-860. doi: 10.13700/j.bh.1001-5965.2022.0277
Abstract:

A multi-sensor scheduling method is proposed to address the competition of sensor resources during simultaneous execution of area search tasks and target tracking tasks. Firstly, for the dual-task cooperation, sensor scheduling is transformed into a multi-objective optimization problem, and the search performance and tracking performance are taken as the optimization objectives. Secondly, the area search model is established, in which the process of updated undetected targets is built as a non-homogeneous Poisson process, considering the rebirth, extinction, and transfer of targets. The missed alarm loss is proposed to quantify the search performance. Then, the target tracking model is established, and the posterior Carmér-Rao lower bound (PCRLB) is introduced to quantify the tracking performance in the future. Finally, to search the best scheduling scheme, a chaotic map multi-objective cooperative differential evolution algorithm (CM-MOCDEA) is proposed, utilizing the chaotic mapping theory and dual population cooperative method based on the traditional multi-objective differential evolution algorithm. Simulation results show that the proposed algorithm can consider both convergence and diversity, and has a strong global search ability. The proposed scheduling method can also effectively allocate sensor resources to complete area search and target tracking tasks, thus achieving higher operational gains.

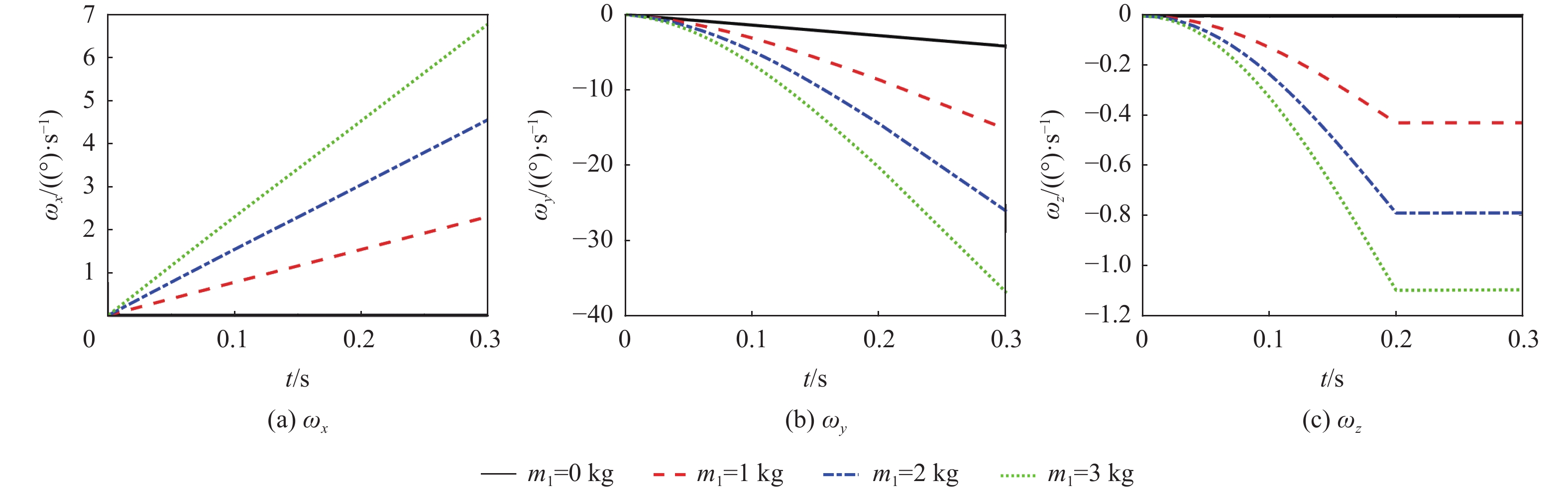
Dual-loop control of mass-actuated quadrotor UAV considering dynamic characteristics of moving mass
DU Qingfeng, JING Wuxing, GAO Changsheng, AN Ruoming
2024, 50(3): 861-873. doi: 10.13700/j.bh.1001-5965.2022.0350
Abstract:

The study focuses on the severe attitude jitter brought on by the extra disturbance torque generated by the dynamic properties of the moving mass. It investigates the moving mass parameter design and attitude/servo dual-loop control of the mass-actuated quadrotor UAV. Firstly, the influence of the moving mass introduction on the system is clarified and various additional disturbance torque introduced by dynamic characteristics of the moving mass is given by establishing an eight-degree-of-freedom motion model of mass-actuated quadrotor UAV. Next, in order to lessen the coupling and disturbance of the moving mass to the system, characteristics including the installation position, mass, and various maximum displacements of the moving mass are examined and constructed.Finally, an attitude/servo dual-loop dynamic sliding mode controller is designed with the mass driving force as the control input, and the nonlinear disturbance observer is used to estimate and compensate for the composite disturbance. The results of the simulation demonstrate that the controller has high anti-interference performance and robustness when taking into account the dynamic features of the moving mass. It can also achieve attitude control of the mass-actuated quadrotor UAV.

Soil moisture algorithm testing of interference signal inversion with GNSS linearly polarized antenna
LI Jie, YANG Dongkai, HONG Xuebao, WANG Feng
2024, 50(3): 874-885. doi: 10.13700/j.bh.1001-5965.2022.0282
Abstract:

Using global navigation satellite system Interferometric reflectometry (GNSS-IR) to measure soil moisture has become a prominent research topic. Smartphones equipped with low-cost linearly polarized antennas can easily and quickly acquire the signal noise ratio (SNR) of interference signals. The GNSS interference signals collected by the vertical and horizontal linearly polarized antennas are simulated separately, with the results of the SNR waveform and reflectivity of the interference signals changing with the satellite altitude angle under the two polarization modes. For the vertically polarized component, the electromagnetic wave is totally transmitted at the incident angle of about 65~85°, resulting in the disappearance of the oscillation effect of the interference signal. However, this phenomenon does not exist in the horizontal polarization. Then, the GNSS signals collected by the right-handed circle polarized (RHCP) direct and left-handed circle polarized (LHCP) reflective antennas are simulated separately, and the amplitude ratio of the direct reflection signal is calculated. Based on the simulation, experiments were carried out with different polarized antennas. Results show that the oscillation effect of the GNSS interference signal collected by the linearly polarized antenna is barely limited by the satellite altitude angle, providing more effective data for soil moisture inversion. The soil moisture obtained by the inversion is in good agreement with that of the isotopic data, and their correlation reaches 0.95. A dual-channel receiver equipped with a circularly polarized antenna is used to collect Beidou satellite data for comparison, revealing a correlation of 0.91. For different devices, the occupied space of the GNSS data collected by the smartphone is reduced to 1% compared with that of the dual-channel receiver, and the correlation of the inversion results is close. Since the interference signal needs a certain oscillation period to extract the direct reflection signal, the inversion results show a lower time resolution than that of a dual-channel receiver.

Three-dimensional transition corridor of tilt-propulsion UAV
XIA Jiyu, ZHOU Zhou, WANG Zhengping, WANG Rui
2024, 50(3): 886-895. doi: 10.13700/j.bh.1001-5965.2022.0284
Abstract:

In this paper, a three-dimensional transition corridor establishment method suitable for tilt-propulsion kind unmanned aerial vehicle is proposed to solve the problem that the dynamic characteristics are ignored and the angle of attack information is missing in the traditional transition corridor, which makes it difficult to be directly used in transition path planning. In order to establish the three-dimensional transition corridor about flight speed, tilt angle, and angle of attack, the proposed method limits the boundaries of lift characteristics of the entire aircraft from the perspective of flight mechanics, the power boundary of the propulsion system from the perspective of energy allocation, and the boundary of flight speed and tilt angle from the perspective of physical constraints. Then, a comprehensive performance function is designed to describe the performance of each flight path point in the corridor. Based on this three-dimensional transition corridor, the pigeon-inspired optimization algorithm is used to complete the search for the optimal transition path. The findings indicate that the three-dimensional transition corridor could serve as a foundation for the transition path planning and more precisely characterize the available flight envelope, which includes information on the angle of attack, performance index, and flight speed in addition to the traditional transition corridor's tilt angle and flight speed. The optimal transition path makes the unmanned aerial vehicle have a good flight effect, the throttle lever of the propulsion system is adjusted smoothly and the amplitude is small, which proves the feasibility of using the three-dimensional transition corridor to guide the transition flight and plan the transition path.

Corrosion behavior of 2195-T8 aluminum-lithium alloy with artificial defects in 30% HNO3
GUO Yi, LIU Dejun, CHANG Xinlong, TIAN Gan, YUE Chunguo, PANG Chuang
2024, 50(3): 896-903. doi: 10.13700/j.bh.1001-5965.2022.0344
Abstract:

To study the corrosion performance of the 2195-T8 Al-Li alloy in an acidic medium, the corrosion morphology of 2195-T8 Al-Li alloy in 30% HNO3 was analyzed by scanning electron microscope (SEM), scanning transmission electron microscopy (STEM) and other microscopic characterization methods. A method for processing images that combines edge detection and block segmentation is also suggested in order to examine the corrosion law of 2195-T8 Al-Li alloy in 30% HNO3 from a statistical perspective. The results show that the typical pitting and intergranular corrosion morphologies of the alloys appear after immersion at different times. The depth of artificial defects can accelerate the progression of corrosion. While the number and area of pits fluctuate little in the middle and later phases of corrosion, only a small number can continue to expand to create etch pits with an area >50 μm2. In the early stages of corrosion, the number of pits increases rapidly, and the pit area is primarily concentrated in 0~20 μm2.

Optimization of energy consumption on aviation biofuel derived from lignin
HUANG Xinghua, DONG Shengfei, YANG Xiaoyi
2024, 50(3): 904-912. doi: 10.13700/j.bh.1001-5965.2022.0347
Abstract:

The cyclic structure of lignin monomer makes it an effective precursor for the preparation of aromatic and naphthenic hydrocarbons in alternative aviation biofuel. Aspen Plus conducted a material and energy consumption analysis of various routes by comparing the features and material flow of lignin depolymerization-hydrotreating for the production of aromatic and naphthenic hydrocarbons, gasification for the production of hydrogen, and combustion for heat. The yield of aromatic hydrocarbons from lignin is 17.3%~20.7%; naphthenic hydrocarbons from lignin is 17.5%~23.7%; hydrogen from lignin is 35.519 g/kg lignin; and the heat from combustion is 22.942 MJ/kg lignin. In order to make full use of lignin, several integrated processes for biofuel production were designed with hydrogen supply from lignin gasification and heat supply from lignin combustion. By using energy analysis and optimization, the integrated process of pyrolysis-alkylation-hydrotreating for aromatic or naphthenic hydrocarbons produces a yield of 11.8% or 9.2%, with a heat load of 7.357 MJ/kg lignin or 7.687 MJ/kg lignin; for aromatic and naphthenic hydrocarbons (1∶1), the integrated process of lignin pyrolysis-alkylation-hydrotreating produces a yield of 10.3%, with a heat load of 7.538 MJ/kg lignin and hydrogen consumption of 0.27%. Although the process of lignin one-step hydrotreating for biofuel production is mild and simple, the reaction system still needs to be further improved for its significant energy consumption.

Classification method of radio fuze target and interference signal based on power spectrum entropy
LIU Bing, HAO Xinhong, CAI Xin
2024, 50(3): 913-919. doi: 10.13700/j.bh.1001-5965.2022.0355
Abstract:

Radio frequency modulation fuze is easy to be disturbed by jamming signals in a battlefield environment, which lead to explosion early and loss of attack ability. In a combat setting, jamming signals can easily disrupt radio frequency modulation fuses, resulting in an early explosion and a loss of assault capability. In order to identify target and jamming signals accurately, a classification method based on signal power spectrum entropy is proposed. Using the measured output signals of radio fuze, the power spectrum exponential entropy and Renyi entropy of the target and jamming signals are extracted to form feature vectors, which is used as the input of KNN classifier to classify target and jamming signals, and verified by 5-fold cross validation method. The target and jamming signals' power spectrum exponential entropy and Renyi entropy are extracted from the radio fuze's measured output signals to create feature vectors. These vectors are then fed into a K-nearest neighbor (KNN) classifier to classify the target and jamming signals, and their classification is confirmed through the use of the 5-fold cross validation method.The results show that there is a significant difference between the power spectrum exponential entropy and Renyi entropy of the target and jamming signals, and the highest classification accuracy reaches 99.47% when the KNN classifier is used to classify the target and jamming signals.

Damage distribution of composite structures of a certain type aircraft
DENG Jinxin, CHEN Lin, LU Sitong, HOU Yuxin, HUANG Wenjun, CHENG Xiaoquan
2024, 50(3): 920-930. doi: 10.13700/j.bh.1001-5965.2022.0379
Abstract:

To address the damage and repair of aircraft composite structures, the applications and damage of composite structures in a certain type of aircraft, including the wing, fuselage and other components, were statistically analyzed. Structural damage distribution models with time variable were established, and then the damage distributions of the structures were fitted and tested by statistical methods. The results show that the quantitative proportions of structural damage are 75% for skin delamination, 20% for stringer delamination and 4% for stringer debonding. Lognormal distribution, Weibull distribution and Gamma distribution can all be used to fit the geometric parameter distributions of the three types of structural damage, in which the Lognormal distribution model has the best fitting effect. The distribution of structural damage geometric parameters of one aircraft does not vary with time, and the distributions of geometric parameters of the structural damage between the same type of aircraft are also highly similar, which can be expressed in a unified function form.

Automatic recognition method of multi-radar signals based on multi-domain features
YANG Jin, HAO Xinhong, CHEN Qile
2024, 50(3): 931-939. doi: 10.13700/j.bh.1001-5965.2022.0294
Abstract:

In complex electromagnetic environments, simultaneous signal transmission of multiple radars in similar frequency bands can cause overlapping of reconnaissance’s received signals in the time and frequency domains. To address this problem, an automatic modulation recognition (MR) method with a low signal-to-noise ratio (SNR) is proposed. The energy of the received signal is concentrated on the respective Doppler frequency through the row FFT transformation between the received pulses to achieve the separation of multiple intercepted signals. The Wigner-Ville distribution (WVD) and ambiguity function (AF) of each signal are simultaneously sent to the trained residual neural network (ResNet) as two layers of an image to solve the problem of low recognition accuracy when some types of signals only use a single time-frequency distribution. Theoretical analysis and simulation results show that the proposed method can not only effectively separate multiple radar signals overlapping in the time and frequency domains, but also accurately identify their modulation modes with the SNR of −10 dB.

Surface dynamical environment analysis of a binary asteroid system
WANG Yaping, WANG Yue, WU Xiaojie, GAN Qingbo, YANG Zhitao, ZHANG Yao
2024, 50(3): 940-950. doi: 10.13700/j.bh.1001-5965.2022.0286
Abstract:

The binary asteroids are quite common in the solar system and are of unique scientific value. Studying the surface dynamical environment is the key to enabling surface roving exploration. The surface dynamical environment of the primary and secondary asteroid may be significantly affected by disturbances between them as compared to a single asteroid. In this study, the near-Earth binary asteroid system (66391) Moshup is taken as an example for the surface dynamical environment investigation. The polyhedral gravitational field models of the primary and secondary are adopted to establish the dynamical model of a point mass near the asteroid surface. The surface equivalent gravity and slope of the primary and secondary, as well as the minimum and maximum lift-off speeds, are calculated, and their distributions on the surface are analyzed. Much attention is focused on the periodical tidal effect of the secondary on the surface dynamical environment of the primary. Suitable areas on the primary and secondary for landing and roving are analyzed. Results show that the rotational centrifugal force causes the equivalent gravity to tend to decrease with latitude, and the slope is mostly dependent on the local terrain. The regions near the north pole of the primary and above the latitude of 80° of the secondary have small slopes and large equivalent gravity and are suitable for landing or roving. The tidal effect of the secondary has a periodic impact on the surface gravity of the primary. The minimum lift-off speeds in most areas of the primary surface are less than 0.3 m/s, while those in most areas of the secondary surface are between 0.10 m/s to 0.25 m/s. Due to the asteroid's rotation, almost all the directions of the minimum lift-off speeds are eastward.

Combustion instability analysis of pilot flame in model combustor
LI Mingjing, GUO Zhihui
2024, 50(3): 951-961. doi: 10.13700/j.bh.1001-5965.2022.0274
Abstract:

To address he combustion instability of pilot flame in the model combustor, the multi-point dynamic pressure and flame images are experimentally measured in the combustor, and analyzed by means of fast Fourier analysis and proper orthogonal decomposition(POD). It is observed that with the increase of the equivalence ratio, two bifurcations occur with limit cycle oscillations, and the corresponding unstable modes correspond to the third-order and second-order intrinsic longitudinal acoustic modes of the system. The POD results show that the vortex-acoustic frequency lock-in occurs at the longitudinal acoustic mode frequency of the combustor, and the acoustic-vortex-flame coupling instability process occurs in the combustor. On the one hand, large-scale vortex shedding increases sound energy output by altering the flame area and producing severe oscillations in heat release with an increase in equivalency ratio. Conversely, as the angle between two flame branches increases, the main wave direction of the flame position is along the same axis as the main acoustic wave. The modal transition takes place when two factors come into play: the thermoacoustic coupling becomes easier, and the phase angle of the pressure pulsation and heat release pulsation coupling lowers.

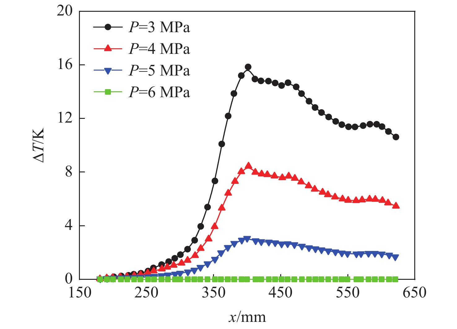
Study on heat transfer of combustor and regenerative cooling channel based on two-way coupling
ZHAO Chaofan, DONG Hao, ZHU Jianqin, CHENG Zeyuan, RONG Yi
2024, 50(3): 962-974. doi: 10.13700/j.bh.1001-5965.2022.0276
Abstract:

In order to investigate the heat transfer characteristics of regenerative cooling channels and scramjet combustors, a two-way weak-coupling iterative calculation method is adopted. The combustor settings and cooling channel impacts on heat transfer and N-decane pyrolysis were studied numerically using this information. The findings indicate that the burning region and the high-temperature area will move rearward when the equivalency ratio increases. When the equivalence ratio reaches 0.75, part of the high-temperature zone moves out of the combustion section and the cooling channel cannot effectively cool the combustor. Therefore, the limitation of cooling channel should be considered in the design of equivalence ratio of the combustor. Moreover, a larger fuel injection angle leads to an ascent of the average temperature of the wall. The cracking rate at the outlet of the cooling channel increases from 8% to 11% as the injection angle increases from 30° to 75°. The combustor's temperature can drop by up to 200 K as a result of improving the coolant's heat absorption capacity through increased operating pressure in the cooling channel and coolant flow.

Knowledge mining of aircraft configuration design for sonic boom/aerodynamics
MA Chuang, SHU Bowen, HUANG Jiangtao, LIU Gang, ZHONG Shidong
2024, 50(3): 975-984. doi: 10.13700/j.bh.1001-5965.2022.0310
Abstract:

Sonic boom suppression is a key technology in the development of a new generation of supersonic civil aircraft. The configuration parameters of aircraft have an important influence on its sonic boom characteristics. Data mining (DM) can search hidden information from a large amount of data through algorithms, thus becoming a powerful tool to extract aircraft design knowledge. Five configuration parameters, including the sweep angle, aspect ratio, taper ratio, dihedral angle and fuselage slenderness ratio, are selected as design variables. The objective function is defined as the perceived noise level, and the lift and drag coefficients are calculated as aerodynamic measurement indexes. The knowledge base of low sonic boom design is extracted based on the data mining system composed of analysis of variance (ANOVA), decision tree and self-organizing feature map (SOM). The method obtains the correlation between the selected design variables and sonic boom/aerodynamic force, realizing the stratification and dimensionality reduction of design variables. The sweep angle has the first design priority, the slenderness ratio and the dihedral angle the second, and the aspect ratio and taper ratio are low sensitive variables. For the aircraft of the example in this paper, choosing a larger sweep angle and dihedral angle in a reasonable range can minimize the sonic boom and design a small aspect ratio configuration suitable for supersonic cruises.

Optimization of TID assessment of micro-satellites
SHE Xuan, LOU Haijun, SONG Renting, LI Qicong, JIN Zhonghe
2024, 50(3): 985-993. doi: 10.13700/j.bh.1001-5965.2022.0331
Abstract:

Targeting the total ionizing dose (TID) effects that micro-satellites experience in space, the traditional spatial mesh division is improved based on the icosahedral space grid method in order to more accurately evaluate the TID of sensitive points in the satellite, realize the optimization of the equivalent evaluation of the sector shielding, and calculate and verify the attenuation of particles through the material macroscopically. Around the calculation accuracy and efficiency, shape models are built for comparison and verification. This approach is more stable and efficient than the optimized equal solid angle partitioning method and the normal octahedron partitioning method. Its calculation speed may be enhanced by 6.4%, making it more appropriate for analyzing complicated shape models. Based on an improved three-dimensional TID evaluation method, targeted TID protection is provided to the shape model, and the protective effect can be increased by 255.1% compared with indiscriminate protection. This method can effectively improve the efficiency of TID evaluation of microsatellites, ensure the reliable operation of sensitive devices in the satellite during the mission period, and provide an important reference for TID protection of microsatellites.

Deployment dynamics and multi-parameter performances analysis of spatial rectangular tether-net
LI Mengsheng, YUE Shuai, DU Zhonghua, ZHANG Qingzhan, LIU Zhou, LIU Zhi
2024, 50(3): 994-1004. doi: 10.13700/j.bh.1001-5965.2022.0342
Abstract:

A spatial tether-net system is a flexible capture system for space debris. A rectangular tether-net is proposed to capture a spatial target with solar wings. The dynamic model of rectangular tether-net during the deployment process is established to analyze the deployment characteristic. The accuracy of the simulation model is verified by comparing it with the on-ground experimental results. The dimensions of the towing tether distribution circle, the launching angle of the towing block, and the deployment properties of the tether-net under various towing modes were compared by each evaluation index, which was established for the rectangular tether-net. The results show that the results of the simulation are consistent with the experimental, so the simulation model is reliable. At eight-point towing mode, ten-point towing mode and twelve-point towing mode, the ten-point towing mode can achieve the best deployment effect. When the diameter of the towing tether distribution circle is larger, the maximum deployment area and shape preserving distance of the tether-net decreases, but the deployment distance of the tether-net increases. The maximum deployment area of the rectangular tether-net and the shape-preserving distance gradually grow with an increase in the towing block's launch angle, while the deployment distance gradually decreases.

A small sample data-driven radar compound jamming lightweight perception network
LANG Bin, WANG Huan, GONG Jian
2024, 50(3): 1005-1014. doi: 10.13700/j.bh.1001-5965.2022.0343
Abstract:

Radar jamming perception technology based on deep learning can accurately perceive all kinds of radar jamming types, but large-scale and complete training samples need to be constructed in advance. The workload and difficulty of data set construction are large. At the same time, there are some problems such as a large amount of network model parameters and high computational complexity, which make it difficult to apply in the actual platform. This research proposes a lightweight perception network powered by tiny sample data for radar compound jamming in order to overcome this challenge. For the first time, the jamming perception network is established combined with the idea of "target detection" in the field of computer vision. The multi-scale feature map is extracted by using the radar jamming time-frequency distribution data, and the anchor is preset for regression and classification. Secondly, the network structure with large parameters and high computational load is lightweight and improved by using group convolution and ghost convolution. The experimental results show that only a small-scale single jamming mode sample training can realize the flexible perception of single jamming mode, pairwise compound mode and three types of compound mode. The model has a considerably compressed number of parameters and processes while maintaining strong perception performance in the case of a low jamming noise ratio.

Shore-based BDS-R sea surface altimetry and weighting method of its observed values
HOU Jinhua, HE Kaifei, GAO Fan, CHU Ti, WU Yu
2024, 50(3): 1015-1026. doi: 10.13700/j.bh.1001-5965.2022.0360
Abstract:

With the completion of the global networking of BeiDou-3 satellite navigation system (BDS-3), its reflected signals are more and more widely used in the field of global navigation satellite system-reflectometry (GNSS-R) sea surface altimetry. A dual antenna coastal BDS-reflectometry (BDS-R) sea surface altimetry experiment based on BDS-3 B1C reflected signal code-level delay and the combination method of multi-satellite altimetry observations was carried out in order to investigate the performance of sea surface altimetry based on these two factors. The independently developed GNSS-R altimetry software receiver is used for post-processing of the experimental data, and the experimental results and the sea surface height of the shore-based synchronous observation radar altimeter were compared and analyzed to evaluate the accuracy of BDS-R sea surface altimetry. Additionally, the multi-satellite altimetry readings are combined using a weighted technique based on the signal-to-noise ratio (SNR) of the reflected signal and satellite elevation. The results show that the independently developed GNSS-R software receiver can be used for sea surface altimetry, and it is possible that the precision of BDS-R sea surface measurement based on B1C code can reach decimeter level. According to the result of moving averages with 10 s,the root mean square error (RMSE) and mean absolute error (MAE) of single satellite sea surface altimetry are 0.634 m and 0.507 m respectively, and the RMSE and MAE of the weighted combination of multi-satellite observations are 0.538 m and 0.500 m respectively. The observation accuracy of the latter is obviously better than that of the former, and the maximum and minimum observation accuracy can be improved by 70% and 17% respectively. The weighted model with thorough consideration of satellite elevation angle and reflected signal SNR is superior to other weighted models for the same signal multi-satellite GNSS-R altimetry data weighting method,and its measurement accuracy is improved by 9.4%, 9.5%, 20.5%, 35.2% compared with SNR segment model, sine function model, exponential function model, and equal weight model, respectively.

On-line co-location method of distributed missile swarms for maneuvering targets
FU Jinbo, ZHANG Dong, ZHAO Junmin, WANG Tinghui
2024, 50(3): 1027-1036. doi: 10.13700/j.bh.1001-5965.2022.0361
Abstract:

High-precision co-location of maneuvering targets is the key to coordinated strikes, and co-location through distributed bomb swarms is a current research hotspot. This paper proposes a distributed online co-location strategy for swarms to solve the real-time problem of co-location under the condition of limited swarm communication. Aiming at the characteristics of model nonlinearity and non-Gaussian distribution of noise in target state estimation, a volumetric Kalman is proposed. Particle filter algorithm, a constant-speed turning model (constant turn, CT) with adaptive turning rate is designed, and the existing 2D CT model is extended to 3D, which solves the problem of inconsistency in positioning accuracy caused by the fixed turning rate of the existing CT model. An interactive multi-model method of adaptive model transition probability is designed, and the Markov transition probability is corrected in real time, which solves the problem of low positioning accuracy of single-model filtering. The effectiveness and accuracy of the method proposed in this paper are verified by simulation.

Guaranteed-performance formation control of swarm systems based on leader-follower strategy
WANG Lin, ZHANG Qingjie, CHEN Hongwei
2024, 50(3): 1037-1046. doi: 10.13700/j.bh.1001-5965.2022.0371
Abstract:

Aiming at the problem of formation tracking control of swarm systems, an optimal control method with guaranteed-performance with switching topologies is proposed. Firstly, a mathematical description of formation tracking control problem based on leader-follower structure is established, and a distributed performance index is introduced to describe the formation adjustment performance of swarm systems. Then, the formation control protocol based on leader-follower structure is designed by using consensus theory. Then, the closed-loop stability of the system is analyzed by means of Lyapunov method, and the mathematical expression of the upper bound of the guaranteed-performance is given. Finally, a numerical simulation is used to verify the effectiveness of the control method, and the swarm system can realize formation tracking control under the upper bound of performance, and the formation tracking speed and performance consumption are better than the existing literature.

Design of a low cost chipless RFID humidity sensor
WANG Bo, LI Youwei, WANG Ke
2024, 50(3): 1047-1052. doi: 10.13700/j.bh.1001-5965.2023.0161
Abstract:

It is of great significance to design a low cost chipless radio frequency identification (RFID) sensor for environmental humidity monitoring. Polyvinyl alcohol (PVA) film is used as a humidity-sensitive material and the overall size of the rectangular substrate is 18 mm×18 mm×0.5 mm. Based on simulation studies and the humidity sensing principle, the permittivity of the humidity-sensitive material PVA changes in response to changes in ambient humidity, which in turn influences the resonant frequency shift of the entire sensor. The simulation results show that the designed humidity sensor operates in the range of 21.9%−52.5% for relative humidity, corresponding to the resonant frequency range of the sensor 2.76−2.51 GHz, the total offset reaches 250 MHz and the maximum relative humidity sensitivity is 23.08 MHz/%. The compact size, straightforward construction, and affordable price of the developed humidity sensor make it suitable for a range of humidity monitoring applications.