2022 Vol. 48, No. 3

Display Method:
Volume 48 Issue32022
iconDownload (128859) 1103 iconPreview
Thermal boundary simulation and temperature prediction for aircraft fuel system with full flight profile
WANG Ruiqing, LI Dong, LI Yunhua, WANG Xi
2022, 48(3): 369-375. doi: 10.13700/j.bh.1001-5965.2020.0555
Abstract:

Through simulation experiments and machine learning, this paper studies the main factors that affect the temperature in aircraft fuel systems and predicts the temperature of the fuel system. The basic structure and layout of aircraft fuel system were determined. A simulation model was established using the Simulink simulation platform to simulate the temperature of each node of the fuel circuit with full flight profile, and the main factors affecting the temperature of each node of the fuel system were obtained by changing different conditions. The temperature of the fuel system was predicted through a machine learning model. This research can estimate and perceive the operating temperature of fuel system, aircraft hydraulic system and lubricating oil system, which lays a foundation for further sensing the thermal boundary of fuel hydraulic system and controlling the thermal load absorption of airborne hydraulic and electromechanical systems.

Remaining life prediction method of mechanical system under uncertain loads
XU Dan, XIAO Xiaoqi, FENG Zhixin
2022, 48(3): 376-383. doi: 10.13700/j.bh.1001-5965.2020.0582
Abstract:

Aimed at the problem that the random working load of complex mechanical systems cannot be clearly given, a life prediction method based on hidden semi-Markov model (HSMM) is proposed. After completing the construction of the load space based on the HSMM, the forward and backward transition parameters and the Viterbi algorithm are introduced to solve the model parameters. The estimated parameters are used to predict the transition direction and corresponding probability of random future loads. The prediction result of the load is combined with the life prediction model based on multi-sensor information to predict the remaining life of the system. The effectiveness and correctness of the proposed method are verified by using NASA's commercial modular aero-propulsion system simulation data as a case study.

Irregular flight recovery technique based on accurate transit time prediction
HE Jian, GUO Hongyan, YAO Yuan, BIAN Lei, TANG Hongwu, WANG Diansheng
2022, 48(3): 384-393. doi: 10.13700/j.bh.1001-5965.2020.0559
Abstract:

In previous studies, the general method for flight recovery problem used fixed flight transit time, rather than considered the result of flight transit time changes in real airports. We propose a LightGBM model to predict accurate transit time based on the airport-flight features from total 235 airports and all flights in China. The numerical results show that our model has 6.783 minutes root mean square error using real flights data. We construct an irregular flight recovery model based on effective transit time, and specifically design a column vector generation algorithm to solve this model. This algorithm can solve the problem of airport traffic flow decrease, airport closure, aircraft maintenance and other irregular conditions under the goal of minimizing flight delays, the number of cancellations, and the number of aircraft changes by canceling, changing the planned time, and replacing aircraft. Tests on actual operating data of airlines prove that the irregular flight recovery method based on transit time prediction is effective. The real case of large-scale flight delays test shows the total delay time can be reduced by 34.2%. The comparison between the spatio-temporal network algorithm and the column vector generation algorithm shows that the proposed flight recovery method also can reduce the recovery cost under the premise of the same recovery result.

Finite-time line-of-sight guidance law path following control for underactuated intelligent ships
FENG Hui, HU Sheng, YU Wenzhao, XU Haixiang
2022, 48(3): 394-400. doi: 10.13700/j.bh.1001-5965.2020.0561
Abstract:

In consideration of the problem that the lateral deviation of the underactuated intelligent ships increases due to the influence of path curvature and environmental disturbance during the path tracking task, the guidance law of intelligent ships is discussed. An adaptive guidance law with finite-time convergence is proposed. Based on the guidance law, the intelligent ships path following control is realized, so that the lateral deviation can converge to zero in finite time in the path following process. Compared with the traditional integral line-of-sight, the control parameters of the method can be adjusted adaptively according to the change of lateral deviation, and the intelligent ships can be guided to follow the desired line or curve path faster. The effectiveness and advancement of the proposed method are verified by simulation and comparison.

Drag and lift acceleration commands rapid calculation and tracking guidance
LIU Gang
2022, 48(3): 401-411. doi: 10.13700/j.bh.1001-5965.2020.0589
Abstract:

For the gliding flight phase guidance problem of lifting vehicle, a drag and lift acceleration commands rapid calculation and tracking guidance method is proposed. Drag acceleration command is calculated directly by one-dimensional particle kinematics and weighting. By introducing the "virtual target" and "pseudo line of sight angle" concepts, proportional navigation is used in gliding flight phase to give the lift acceleration command. Using the monotonicity of the drag acceleration and the attack angle, the attack angle is used to track drag acceleration command. The bank angle is used to track drag acceleration command in a supplementary way in the early stage. After a given criterion is satisfied, the bank angle switches to track lift acceleration command. The azimuth angle control is realized by changing the sign of the bank angle according the reverse corridor border. The dynamic pressure, heat flow, and overload constraints can be satisfied by specific sensitive parameters design. The proposed method does not need reference trajectory or attack angle profile, and the amount of calculation is small. It can control the terminal velocity and height with high accuracy.

Measurement of mass diffusion coefficient of CO2 in RP5 jet fuel
LI Chaoyue, FENG Shiyu, XU Lei, WANG Zhiling
2022, 48(3): 412-418. doi: 10.13700/j.bh.1001-5965.2020.0581
Abstract:

The experimental platform for measuring the gas-liquid mass diffusion coefficient is set up based on the method of digital holographic interferometry. The hollow stainless steel constant temperature diffusion tank is designed and processed and the digital image processing is coded by self-programming on MATLAB. The correctness of the experimental system is verified by measuring the mass diffusion coefficient of 0.33 mol/L KCl in water at 298.15 K. Then the mass diffusion coefficient of CO2 in RP5 jet fuel is measured in the temperature range of 278.15 K to 343.15 K under normal pressure. The mass diffusion coefficient increases with the increase of temperature. The mass diffusion coefficient at different temperatures can be fitted by Arrhenius equation model, and the relative difference between theoretical model calculation and experimental measurement results is less than 9.51%. Therefore, in practical engineering applications, the mass diffusion coefficient of CO2 in RP5 jet fuel can be accurately predicted according to the Arrhenius equation, and the experimental results provide data support for the optimal design of tank inerting system.

Modeling and simulation of spaceborne GNSS ocean-reflectometry
WANG Feng, YANG Dongkai, ZHANG Bo, LI Bowen, ZHANG Guodong
2022, 48(3): 419-429. doi: 10.13700/j.bh.1001-5965.2020.0575
Abstract:

The modeling and simulation of spaceborne GNSS reflectometry is important for the research of forward and inverse problem of GNSS reflectometry, and the evaluation of algorithm and performance in the receiver. This paper firstly develops the layered structure of modeling spaceborne GNSS reflectometry from the perspectives of geometry, signals and related power. Secondly, the bistatic geometry of spaceborne GNSS reflectometry is discussed in detail. Thirdly, the sea spectrum is developed by linearly combining wind-, swell- and rain-driven sea spectrum, and further bistatic scattering coefficient is computed. Fourthly, based on the assumption that scattered signals from each scattering unit are independent, an ocean-reflected GNSS signal model is derived. Finally, the ocean-reflected GNSS signals and delay-Doppler maps are produced by simulation, and are analytically compared to the measured correlation power from UK TDS-1. The results show the simulated delay-Doppler maps obtained through end-to-end simulating correlation power and through processing simulated GNSS signal have the cosine similarity of 0.97 and 0.94 with the measured delay-Doppler maps from UK TDS-1 respectively, so that proposed approach could be used to simulate correctly reflected GNSS signals and delay-Doppler maps through comparing the simulated delay-Doppler maps and actual ones received from UK TDS-1. In addition, the simulation analysis of the influence of swell and rain on the reflected GNSS signals shows that swell mainly impacts reflected GNSS signal for low wind speed and does not impact it for high wind speed, and rain has no significant influence on the reflected GNSS signal.

Dynamic analysis and disturbance rejection control of mass-actuated fixed-wing UAV
QIU Xiaoqi, GAO Changsheng, JING Wuxing
2022, 48(3): 430-437. doi: 10.13700/j.bh.1001-5965.2020.0573
Abstract:

Mass-actuated UAVs have the advantages of higher aerodynamic efficiency, better stealth performance and simpler wing structure. This paper proposes a single-slider mass-actuated UAV layout scheme with smaller time delay and simpler structure, and analyzes the influence of the slider parameters on the dynamical characteristics of the UAV. On this basis, the ideal installation position of the slider is given, and the change of the control efficiency of the mass-actuated scheme with the speed is studied. Aimed at the characteristics of strong coupling and nonlinearity of the mass-actuated UAV, an active disturbance rejection controller (ADRC) is designed based on the particle swarm optimization algorithm (PSO). The expanded state observer estimates the total disturbance term including coupling and parameter perturbation, and performs dynamical compensation at the same time. The simulation results confirm that the designed controller has good robustness and effectiveness.

Solidification heat release of copper foam/low-melting-point alloy composite phase change material
HOU Tianrui, XING Yuming, ZHENG Wenyuan, HAO Zhaolong
2022, 48(3): 438-446. doi: 10.13700/j.bh.1001-5965.2020.0553
Abstract:

In order to research the competence of the copper foam/low-melting-point alloy (LMPA) composite material to recover to the initial state in the intermittent exothermic working environment and the influence of the addition of copper foam with different porosity on the solidification exothermic process, this paper compares and analyzes the solidification exothermic process of 47 alloys and n-tricosane before and after compositing with copper foam through numerical simulation, and adjusts the porosity of the copper foam/47 alloy composite material to calculate the temperature change curve of the simulation chip temperature during the solidification exothermic process. The results show that the addition of copper foam can promote the solidification process of the two types of materials, and the time of the simulation chip to recover to the target temperature is shortened by 6.6% and 47.7%. Due to the difference in volume latent heat value, the copper foam/47 alloy needs to release more heat during solidification, and it takes longer to recover to the target temperature, which is 1.52 times that of the n-tricosane composite. With the increase of porosity, the time that is taken for the composite phase change material to return to room temperature does not change much. Considering the influence of porosity on the thermal control process of phase change, comprehensive consideration should be given to actual use.

SMSP jamming countermeasure method based on maximum entropy method and genetic algorithm
ZHOU Changlin, WANG Chunyang, GONG Jian, TAN Ming, ZHAO Yingjian
2022, 48(3): 447-453. doi: 10.13700/j.bh.1001-5965.2020.0584
Abstract:

Linear frequency modulation (LFM) signal is a commonly used transmission signal of modern radar, which can effectively improve the detection performance of radar. However, when smeared spectrum (SMSP) jamming is applied to the main lobe self-defense, the intensity of the jamming signal is much higher than the target echo signal, and it can cover the target echo signal, which is an effective jamming pattern against LFM signal. In this paper, the difference in time-frequency characteristics of the jamming signal and the target echo signal is used to highlight the difference in time-frequency characteristics through the generalized S transform (GST), and then the maximum entropy method and genetic algorithm (GA) are used to obtain the segmentation threshold of the time-frequency filter. The purpose of jamming suppression is achieved through the constructed time-frequency filter. The simulation results show that when the jamming-to-signal ratio (JSR) is greater than 10 dB and the signal-to-noise ratio (SNR) is greater than 0 dB, it has a better jamming suppression effect, and the maximum signal-to-jamming-plus-noise ratio (SJNR) gain is close to 25 dB.

Cooperative search algorithm for UAV swarm based on search intention interaction
WANG Ning, LI Zhe, LIANG Xiaolong, HOU Yueqi, WU Ao
2022, 48(3): 454-463. doi: 10.13700/j.bh.1001-5965.2020.0602
Abstract:

Aimed at the cooperative search problem of UAV swarm without prior information, a cooperative search algorithm of UAV swarm is proposed, which is guided by coverage rate and constrained by safe distance, communication distance, yaw angle adjustment and search boundary. The task area is described by establishing the environmental map matrix, and the environmental map update operator is further defined to realize the rapid update of the environmental map in the search process. The return function of swarm cooperative search task is designed, and particle swarm optimization algorithm is used to solve the problem in order to obtain the optimal decision of each UAV under the known environment map, namely the decision intention. Each UAV makes decisions again based on acquiring the decision-making intentions of other members to achieve cooperative decision-making. Two cooperative decision-making schemes, centralized and distributed, are proposed for swarms with different scales. The simulation results show that the proposed algorithm can effectively search the irregular task area with unknown threat, and the coverage is much higher than that of the individual decision method without cooperative decision.

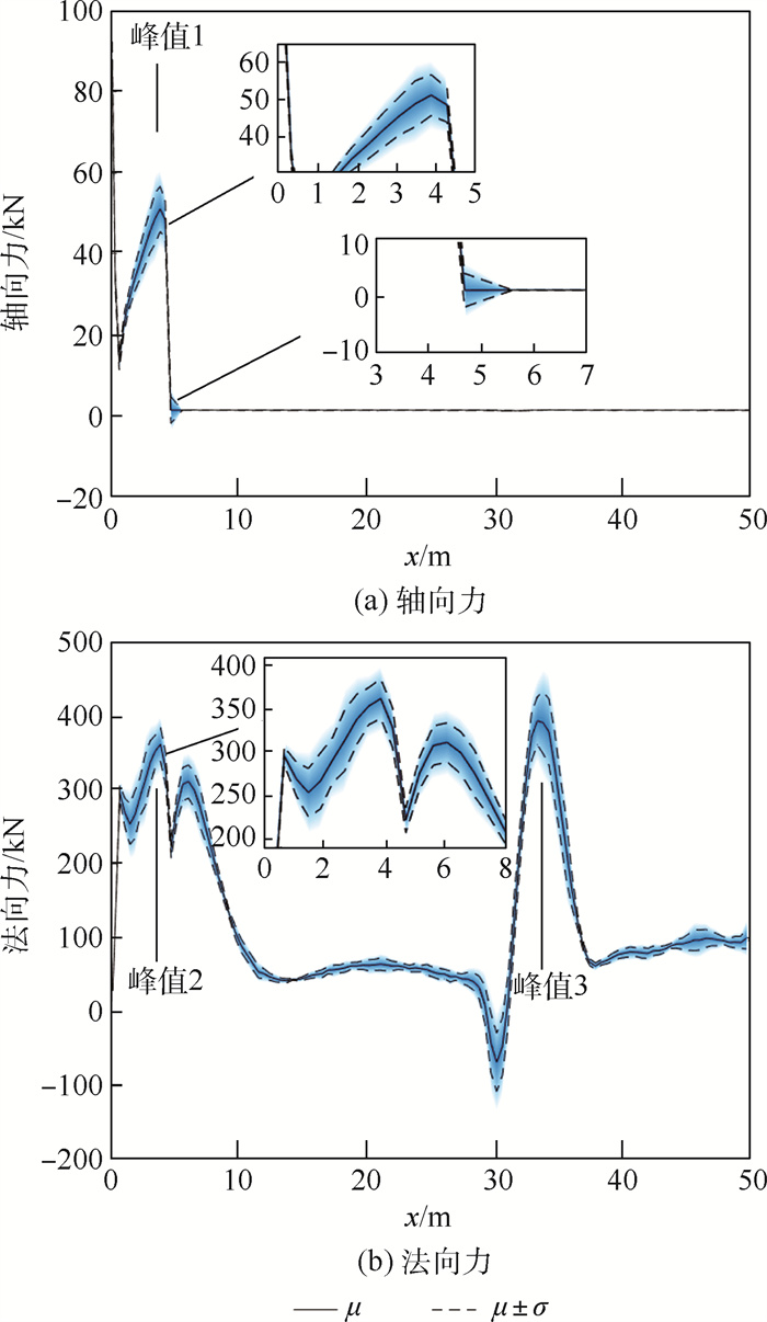
Uncertainty analysis of aerodynamic load distribution on strap-on launch vehicle
DONG Xinxin, LIU Li, GE Jiahao, WANG Zhi
2022, 48(3): 464-472. doi: 10.13700/j.bh.1001-5965.2020.0604
Abstract:

Aimed at the uncertainty of the aerodynamic load distribution of strap-on launch vehicles due to the uncertainty of flight status and shape parameters, a method based on the polynomial chaos theory to analyze the aerodynamic load distribution characteristics and quantify the uncertainty of the strap-on launch vehicle is proposed. A two-strap-on configuration was used as an example to verify the method. First, a method for uncertainty analysis of aerodynamic loads of the strap-on launch vehicles was proposed, and the simulation analysis process was given. Second, the method was verified by a two-strap-on configuration, the aerodynamic shape parametric model was established, and the aerodynamic characteristic analysis result was verified. Finally, the sensitivity analysis of influencing factors and the uncertainty analysis of load distribution were carried out, the influencing degree of different factors and the uncertainty distribution form of aerodynamic axial force and normal force were obtained according to the proposed method, and the flow mechanism was analyzed. The analysis results provide reference for the aerodynamic load control of strap-on launch vehicle. By describing the aerodynamic load uncertainty quantitatively, the safety factor redundancy can be reduced effectively and the basis of accurate structural design can be provided.

Lean blowoff process of bluff body based on heat release rate analysis
XING Jingwen, JIN Jie, WANG Fang
2022, 48(3): 473-484. doi: 10.13700/j.bh.1001-5965.2020.0588
Abstract:

To understand the complicated blowoff process of premixed turbulence methane-air flame after a conical bluff body, the numerical simulation method based on large eddy simulation (LES) and transport equation probability density function (TPDF) turbulence combustion model was adopted to simulate the flame situations, i.e. far away from blowoff, close to blowoff and blowoff conditions. The flame and the heat release rate (HRR) value under these different conditions were studied, and the criterion for lean blowoff judgement was analyzed quantitatively. The results show that the average relative error between velocity simulation results and experimental results is under 10% in cold situation and under 20% in hot situation. HRR appears in the region where OH and CH2O overlap, and is an important blowoff judgment parameter. When the flame is far away from blowoff conditions, HRR mainly appears at the inner shear layer; when close to blowoff conditions, HRR closes on the flow axis and also appears downstream of the recirculation zone; under blowoff conditions, higher HRR regions spread from downstream to upstream of the recirculation zone. The simulation blowoff predictions are consistent with the experimental PLIF results. In this study, the average HRR can be quantitatively used as a criterion for lean blowoff judgment. At 0.2d section behind the bluff body, blowoff will occur when the ratio of the average HRR for inner shear layer to the average HRR of the recirculation zone is less than 4.

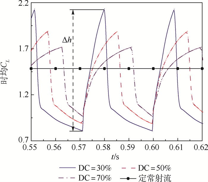
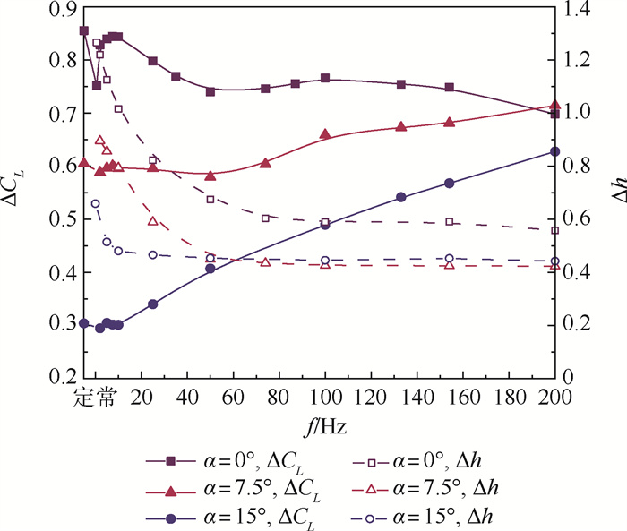
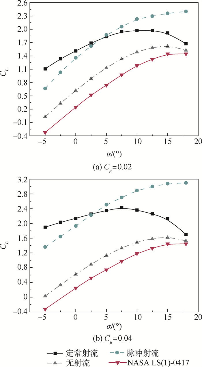
Effect of pulsed jet on aerodynamic performance of circulation control airfoil
LEI Yuchang, ZHANG Dengcheng, ZHANG Yanhua, SU Guangxu
2022, 48(3): 485-494. doi: 10.13700/j.bh.1001-5965.2020.0560
Abstract:

The aerodynamic performance of steady jet is poor at high angle of attack. With the help of pulsed jet, the aerodynamic performance at high angle of attack can be effectively improved and the mass flow rate of jet can be reduced. The unsteady numerical simulation method is used to calculate the aerodynamic characteristics and analyze the flow field of the circulation control airfoil under pulsed jet. The effects of duty cycle and frequency on the amplitude of time-averaged lift and lift pulsation are summarized. The flow mechanism of pulsed jet at different angles of attack is analyzed. Furthermore, the influence law of jet momentum coefficient is pointed out, and the lift pulsation phenomenon is effectively alleviated with the help of the superposition effect of pulsed jet and steady jet. The results show that, under low duty cycle, the pulsed jet can greatly reduce the mass flow rate under the same lift coefficient, but the amplitude of lift pulsation is larger at the same time. At low angle of attack, the lift coefficient increases at first and then decreases with the increase of frequency, but the overall change is not obvious, and at high angle of attack, the lift coefficient increases continuously with the increase of frequency. The pulsed jet can delay the stall angle of attack and widen the angle of attack, and this advantage becomes more obvious with the increase of momentum coefficient. With the help of the superposition effect of the pulsed jet and the steady jet, the lift pulsation under the pulsed jet can be effectively alleviated and the flight conditions can be achieved.

A general singularity avoidance algorithm for pedestal-controllable space manipulator
ZHAO Longze, SHE Haoping, HUANG Liangwei, HUANG Longfei
2022, 48(3): 495-503. doi: 10.13700/j.bh.1001-5965.2020.0603
Abstract:

A general singularity avoidance algorithm is proposed to solve the kinematic singularity problem of pedestal-controllable space manipulator in Cartesian path planning. First, we establish Jacobian matrix of the space manipulator by the method of virtual mechanical arm, and determine singular area by judging the relationship between the determinant of Jacobian matrix and angular velocity in real time. Then, Newton-Raphson iterative method is used to solve inverse kinematics of manipulator. Finally, we design a segmental path planning algorithm of "differential term extraction + refitting" for singularity avoidance, until the joint angle breaks away from the singular area. Simulation results show that the proposed algorithm can accomplish the singular avoidance task effectively. The proposed algorithm can be adapted to various degrees of freedom and configurations of mechanical arm. Moreover, it is convenient for users to adjust the relationship between calculation time and tracking accuracy, and has good universality.

PAUT data intelligent analysis method of welding seams based on deep learning
ZHU Tiantian, SONG Bo, MAO Jie, LIAN Guoxuan
2022, 48(3): 504-513. doi: 10.13700/j.bh.1001-5965.2020.0578
Abstract:

In the welding seam phased array ultrasonic testing (PAUT), the traditional manual judgment method is used to identify and locate the defects in the inspection data. However, this method has lower interpretation efficiency and higher requirements for the experience of the inspectors, and it has difficulty for meeting the requirements of automated ultrasound inspection. In this paper, combined with the features of S and B scan images of welding seam PAUT and 3D structure of weld, an intelligent recognition model based on target detection and tracking algorithm in deep learning is proposed to identify and locate the weld defect automatically. The experimental results show that the average value of 3D IOU of the defects (the average intersection ratio of the predicted and the actual 3D defect frame) reaches 0.644 9, which is close to the real defects' location. This method can realize the intelligent recognition and positioning from PAUT imaging data in welding seam.

A hardware Trojan insertion prevention method based on layout filling with A2-RO circuit
LI Zongzhe, HE Jiaji, MA Haocheng, LIU Yanjiang, QIN Guoxuan, ZHAO Yiqiang
2022, 48(3): 514-521. doi: 10.13700/j.bh.1001-5965.2020.0592
Abstract:

During the chip manufacturing process of integrated circuits, attackers can use blank areas in the circuit layout to implant hardware Trojans. For this reason, this paper proposes a method to prevent inserting hardware Trojans by filling the layout with A2-RO circuit. The goal of protection is reducing the blank areas in the circuit layout. This paper designs the power consumption characterization structure named A2-RO that can dynamically monitor the flipping of rare nodes. And the iterative filling algorithm and the path construction algorithm are proposed. We construct the A2-RO circuit in the blank area intelligently to improve the security level of the circuit. We apply the benchmark circuits in ISCAS'85 and ISCAS'89 as the research object for simulation based on the SMIC 180 nm process. The simulation results show that after filling the layout, the area utilization rate of the chip will be increased to more than 95%, and the remaining blank area cannot be filled with the smallest standard cell. After the removal attack of A2-RO circuit, the change of side channel current is 1.921 mA. The A2-RO circuit can effectively protect the blank areas. The additional routing overhead for layout filling can be controlled within 7%, and the impact on the critical path delay is within 1.2%.

Pixel-wise visible image registration based on deep neural network
HUANG Chenwei, CHENG Jingchun, PAN Xiong, SONG Ningfang, LIU Bing
2022, 48(3): 522-532. doi: 10.13700/j.bh.1001-5965.2020.0611
Abstract:

Current image registration algorithms relying on the internal parameters of sensing devices for image alignment face the difficulty of acquiring precise device parameters and reaching high mapping precision; while the ones using matched image features to calculate image homography matric for registration have the problem of insufficient utilization of scene depth information. Based on this observation, we propose a method which can generate more authentic image registration data from monocular images and their depth-maps, and use the data to train a pixel-wise image registration network, the PIR-Net, for fast, accurate and practical image registration. We construct a large-scale, multi-view, realistic image registration database with pixel-wise depth information that imitates real-world situations, the multi-view image registration (MVR) dataset. The MVR dataset contains 7 240 pairs of RGB images and their corresponding registraton labels. With the dataset, we train an encoder-decoder structure based, fully convolutional image registration network, the PIR-Net, extensive experiments on the MVR dataset demonstrate that the PIR-Net can predict pixel-wise image alignment matrix for multi-view RGB images without accessing the camera internal parameters, and that the PIR-Net out-performs traditional image registration methods. On the MVR dataset, the registration error of PIR-Net is only 18% of the general feature matching method (SIFT+RANSAC), and its time cost is 30% less.

Channel estimation of air-ground data link based on modulated convolutional neural network
LIU Chunhui, WANG Meilin, DONG Zanliang, WANG Pei
2022, 48(3): 533-543. doi: 10.13700/j.bh.1001-5965.2020.0591
Abstract:

Aimed at the inaccuracy of channel estimation of orthogonal frequency division multiplexing (OFDM) system in the complex air-ground data link environment, this paper proposes a channel estimation algorithm based on the modulated convolutional neural network (MCNN) and bidirectional long short-term memory (BiLSTM) network. First, least square (LS) algorithm is used to extract the initial channel state information (CSI), then MCNN network is used to extract the depth characteristics of the initial CSI while compressing the network model, and finally BiLSTM network is used to predict the final CSI and realize channel estimation. In the aspect of experimental verification, the air-ground channel model constructed is used to generate the channel coefficient dataset, so as to realize the training and testing of neural network model. The simulation results show that compared with the traditional methods and the existing deep learning method, the proposed channel estimation method has a lower estimation error, and the performance of the bit error ratio (BER) of the system under the condition of high SNR is improved by nearly an order of magnitude. Due to the introduction of the modulation filter technology, the number of network model parameters decreases remarkably with the increase of the number of neural network layers.

Numerical simulation of shell-side gas flow of airborne hollow fiber membrane module
LIU Guotian, BAI Wentao, PAN Jiangli, CHEN Guanghao, PAN Jun, FENG Shiyu
2022, 48(3): 544-550. doi: 10.13700/j.bh.1001-5965.2020.0612
Abstract:

Hollow fiber membrane module used for airborne inerting has the advantages of high separation efficiency, security, stability and compact structure. It is a relatively economic and efficient equipment of aircraft fuel tank inerting. The computational fluid dynamics (CFD) method is used to simulation shell-side gas flow of hollow fiber membrane module. By changing the gap, entrance velocity, rate of flow, arrangement mode of membrane tow and flight height, the gas flow distribution of the axial sections of component under different working conditions is obtained. The dimensionless parameter sectional average velocity ratio is put forward to describe gas flow distribution rule. The simulation results show that sectional average velocity ratio decreases at first and then increases with the decrease of the gap when entrance velocity is constant, and reaches the minimum when the gap is 1.5 times of the radius of membrane tow, and shell-side gas flow has the same rule with constant rate of flow. When the gap is constant, sectional average velocity ratio of uniform distribution is lower than that of non-uniform distribution. With constant the gap, entrance velocity has little effect on sectional average velocity ratio. The effect of flight height on the shell-side gas flow of the module is mainly reflected from the inner wall of the membrane module.