2022 Vol. 48, No. 1

Display Method:
Volume 48 Issue12022
iconDownload (182462) 1075 iconPreview
Working principle of novel double-axis arc-shaped large-size involute artifact
CHEN Hongfang, LIANG Chaowei, LI Baoshan, XIE Huakun, SHI Zhaoyao
2022, 48(1): 1-7. doi: 10.13700/j.bh.1001-5965.2020.0515
Abstract:

Due to the difficulty of machining large-size involute artifact, it is even more difficult to measure, and as a result, the transmission of values in large gears has always been a problem. In this paper, an arc is used instead of involute tooth profile to construct a new type of large-size involute artifact—the double-axis arc-shaped large-size involute artifact. The principle of the new large-size involute artifact is introduced, the design method of the artifact is studied, the principle error model of the artifact is established, the single error of the gear measuring instrument which can be evaluated by the double-axis arc-shaped large-size involute artifact is proposed, and the method of evaluating the tooth surface deviation measuring performance of the gear measuring instrument by using the artifact is presented. In order to verify the feasibility, an artifact for testing principle was processed, and the experimental results show that the measured principle error curve of the processed double-axis arc-shaped large-size involute artifact is consistent with the overall trend of the theoretical principle error curve, which is hump-shaped, proving the accuracy and feasibility of the establishment of the principle error model of the artifact. The magnitude of the entire assessment deviation curve is 45.5 μm within the assessment range, corresponding to a resulting pressure angle error of 1.34 μm /rad. The experimental results also demonstrate the correctness of the arc selection criterion, the design model of center distance and the design model of arc radius for the double-axis arc-shaped large-size involute artifact. The paper provides theoretical support for establishing the value transfer of the large gear.

Improved conflict detection model of low-altitude flight based on support vector machine
WANG Ershen, SONG Yuanshang, TONG Gang, WANG Chuanyun, QU Pingping, XU Song
2022, 48(1): 8-14. doi: 10.13700/j.bh.1001-5965.2020.0533
Abstract:

In order to ensure the flight safety of general aviation aircraft in low-altitude airspace, an improved model of flight conflict detection based on support vector machine (SVM) is proposed. First, according to the physical form and flight status of the aircraft, a protection zone suitable for the general aircraft is established. Then, the improved ID3 decision tree algorithm is used to reduce the search space to a local method to select aircraft with potential flight conflicts, and choose the appropriate training set by random forest (RF) method. Finally, the tanh function is used to optimize the probability mapping of the easily saturated sigmoid function to the SVM classification results. Through simulation verification and contrastive analysis, the results show that the DBSACN algorithm based on density clustering is used to remove outliers, and the data generated by false alarms and missing alarms are removed as the training set to optimize the SVM classifier. Therefore, using improved flight conflict detection model, the false alarms and missing alarms are reduced by 0.6% and 1.6% respectively, and the execution efficiency of the algorithm is improved. The model has better anti-interference ability and stability.

Dehazing algorithm based on interval estimation and adaptive constraints of transmittance
YANG Yan, ZHANG Jinlong, ZHANG Haowen
2022, 48(1): 15-26. doi: 10.13700/j.bh.1001-5965.2020.0547
Abstract:

In order to solve the problems such as insufficient transmittance estimation and color cast of results of dehazing algorithms, an image restoration algorithm based on minimum channel interval estimation and transmittance adaptive constraint model is proposed. Firstly, bright channel of hazy image is obtained by using maximum operation of different sizes, and average value processing and frequency domain filtering are combined to get the atmospheric light estimation. Secondly, starting from the atmospheric imaging theory, minimum channel of hazy image is regarded as a constraint, then upper and lower boundaries of minimum channel of hazy image are fitted by plane model and adaptive mapping model respectively, and minimum channel of dehazed image and initial transmittance estimation are obtained. Finally, the initial transmittance can be refined by filter smoothing and adaptive boundary constraints to obtain the optimized transmittance, and according to atmospheric scattering model, restoration results are obtained. Experiments show that the restoration results of the proposed algorithm have natural colors, appropriate brightness, thorough degree of dehazing, rich detailed information and low time complexity, which effectively solves the problems of insufficient transmittance estimation and color cast.

Correlation between accelerated aging of coating and natural exposure test
WANG Pengfei, HE Xiaofan, ZHANG Han, LI Yuhai
2022, 48(1): 27-35. doi: 10.13700/j.bh.1001-5965.2020.0525
Abstract:

In order to study the correlation between accelerated aging test and natural exposure test, a comparative test between the exposure test and accelerated test on typical 7B04 T74 aluminum alloy-30CrMnSiA steel-7B04 T74 aluminum alloy connectors with double row 8 steel screws was carried out. The specimens were accelerated in the protective coating accelerated aging environment for 6 cycles and the natural exposure test of Wanning, Hainan for 2 years, respectively. The aging features including loss of gloss, fading, chalking, bubbling, cracking, flaking and metal substrate corrosion of protective coating were observed and measured, the aging characteristics and matrix corrosion products of accelerated aging and natural exposure protective coatings were compared and analyzed, the comparison on the tested aging characteristics of protective coatings indicates that the accelerated aging test can make the characteristics of the field aging reappear. Considering the multi-attribute and dynamic characteristics of aging characteristics of protective coatings, the aging damage in two environments is comprehensively evaluated quantitatively, and the variation law of aging characteristics with time is described by exponential function. By comparing the aging kinetics, the equation of the equivalent acceleration factor was given. The equivalent acceleration relation between two environments was obtained as 0.4 year/cycle.

Algorithm to detect thin strip-shaped structural diseases on airport pavement in complex background
LI Haifeng, HAN Hongyang
2022, 48(1): 36-44. doi: 10.13700/j.bh.1001-5965.2020.0512
Abstract:

The structural diseases on airport pavement, such as cracks, corner fractures, broken seams, and repairs, have the characteristics of narrow width, different length, and less pixel proportion in the image, which show a thin strip-shaped structure, and the contrast is low in the complex background. These factors lead to detection failure when using the existing detection algorithms. To solve these problems, a deep neural network model, named as DetMSPNet, based on attention mechanism and feature fusion is proposed. First, the attention mechanism module CBAM is used to make the feature learning more focused on the disease area of the thin strip-shaped structure and suppress the interference information. Second, the residual atrous pyramid module is constructed to extract the feature information with different scales. Then, the maximum pooling branch is designed to facilitate the fusion of different features from shallow and deep layers, and improve the positioning ability of the model for diseases. In addition, the deep features are fed into three dilated convolutions with different dilated rates and pyramid pooling modules, so that the disease features contain more global context information. Finally, the disease features generated from all levels are fused to fulfil the information complementation from different scales and different levels. The comparative experiment was conducted with three classical object detection algorithms on APD dataset, and the results show that the proposed algorithm achieves an mAP of 78.51%, which is better than its counterparts. The proposed DetMSPNet improves the adaptability of the algorithm to the narrow width, different length, less proportion of pixels in the image and low contrast with complex background for the detection of thin strip-shaped structural diseases on airport pavement. The experimental results show that the average detection accuracy of the proposed algorithm is improved.

HDR image generation method based on conditional generative adversarial network
BEI Yue, WANG Qi, CHENG Zhipeng, PAN Xinghao, YANG Mohan, DING Dandan
2022, 48(1): 45-52. doi: 10.13700/j.bh.1001-5965.2020.0518
Abstract:

Compared with low dynamic range (LDR) images, high dynamic range (HDR) images have a wider color gamut and higher brightness range, which is more in line with human visual effects. However, since most of the current image acquisition devices are LDR devices, HDR image resources are scarce. An effective way to solve this problem is to map LDR images to HDR images through inverse tone mapping. This paper proposes an inverse tone mapping algorithm based on conditional generative adversarial network (CGAN) to reconstruct HDR images. To this end, a multi-branch-based generation network and a discrimination network based on discrimination blocks are designed, and the data generation and feature extraction capabilities of CGAN are used to map a single LDR image from the BT.709 color gamut to the corresponding BT.2020 color area. The experimental results show that the proposed network can obtain higher objective and subjective quality compared with the existing methods. Especially for fuzzy areas in the low color gamut, the proposed method can reconstruct clearer textures and details.

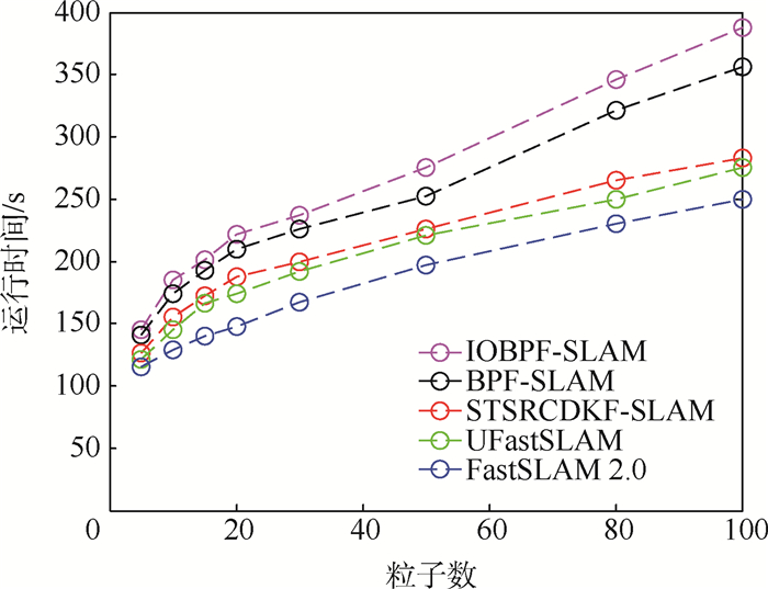
FastSLAM for mobile robot based on box particle filter with intelligence optimization
LUO Jingwen, QIN Shiyin
2022, 48(1): 53-66. doi: 10.13700/j.bh.1001-5965.2020.0549
Abstract:

The traditional FastSLAM algorithm requires a large number of particles to build the map, thus resulting in high computational complexity and difficulty in improving the estimation accuracy. In view of these problems, an algorithm of FastSLAM for mobile robot is presented based on box particle filter with intelligence optimization (IOBPF). First, the dynamic optimization mechanism of firefly algorithm (FA) is applied to the box particle filter (BPF), and the formulas of fluorescence brightness updating, attraction calculation and position updating of box particle are constructed, which makes the box particles move toward the high-likelihood region intelligently and avoid the phenomenon of box particle degeneracy. Then, the improved BPF with intelligence optimization is utilized to estimate the pose of robot, and the extended interval Kalman filter (EIKF) is employed to complete the map building and updating. The results of model simulation and entity experiment of mobile robot show that the intelligent FastSLAM algorithm in this paper can effectively improve the performance of box particles and reduce the number of particles required for map construction, thus significantly improving the positioning accuracy and robustness of map construction.

Application analysis of Durbin method in solving dynamic response of damped beam
ZHANG Xiayang, ZHANG Kai, ZHAO Qijun, WANG Bo
2022, 48(1): 67-78. doi: 10.13700/j.bh.1001-5965.2020.0550
Abstract:

Based on Timoshenko's beam theory and K-V damping model, the method for the frequency domain vibration solution of the non-proportionally damped beam under a stationary impact load is studied. The dynamic response of the damped beam is derived by introducing traditional Laplace transformation and Durbin's Laplace inverse transformation (Laplace method). Three typical beam boundaries are taken into consideration in the derivation of Laplace method to demonstrate its applicability. Thereafter, the numerical method is validated under a special proportional damping condition and compared with the modal superposition method. The numerical experiments fully investigate the impact of algorithmic parameters and system parameters. The calculation results indicate that the dynamic responses of the fundamental damped beam system can be reasonably computed by the Laplace method under various boundary and loading conditions, showing comparable accuracy with the modal superposition method. However, the Laplace method is slightly affected by the slenderness ratio of the system. Although Laplace method is easier to manipulate than traditional modal superposition method, its accuracy is affected by its inherent numerical parameters and step external load type, and thus the algorithm stability needs further improvement.

Windblast performance of pilot helmet-mounted night vision goggle system
ZHAO Yanpeng, WU Minglei, LIU Heqing, HONG Tao, LI Jun, ZHANG Yougang
2022, 48(1): 79-86. doi: 10.13700/j.bh.1001-5965.2020.0355
Abstract:

High-speed windblast experiments of pilot helmet-mounted night vision goggle system were carried out to study its aerodynamic characteristics and the forces on human cervical vertebra, and to evaluate the influence on the safety of ejection life-saving, so as to provide a basis for the design and use of helmet-mounted night vision goggle system. The test was carried out by an open wind tunnel called high-speed windblast test platform. The ejection seat was fixed in front of the tunnel nozzle, and the HYBRID Ⅱ dummy was fastened on the ejection seat with anti-gravity suit, helmet with night vision goggles and oxygen mask. Taking 850 km/h as the starting speed, we adjusted the speed in turn according to the principle determined by the experimental design. The night vision goggles had lower and upper state, which corresponded to working and non-working state respectively. The helmet-mounted night vision goggles wearing state during the windblast was recorded by a high-speed camera, and the force and torque of the lower cervical vertebra of the test dummy were measured. The high-speed camera and force and torque measuring system used the time benchmark set by the windblast test system to achieve synchronous measurement. A total of ten tests were carried out, in five of which the night vision goggles were blown off the helmet, and in another five of which they were not. The force and torque curves of the cervical vertebra, and the time and trajectory of the goggles blown off were obtained in each test. According to the test criterion, the blowing speeds do not exceed 850 km/h. Compared with the helmet without night vision goggles, the windblast performance of helmet-mounted night vision goggles is relatively reduced. The cervical torque exceeds the standard when the speed is more than 800 km/h, 700 km/h is the critical point and 600 km/h is qualified. It is recommended to limit the windblast performance envelope of helmet-mounted night vision goggle system to 600 km/h.

Rapid design method of spacecraft casting cabin structure
ZHENG Chengcheng, WANG Jiebing, WU Manqiao, XU Dashuai, YANG Chen, CHEN Shuang
2022, 48(1): 87-94. doi: 10.13700/j.bh.1001-5965.2020.0534
Abstract:

In order to improve the structural design efficiency, design quality and iterative efficiency of the spacecraft casting cabin in the scheme demonstration stage, the structural parameters of the casting cabin are studied in combination with structural characteristics of the spacecraft with complex surface, and the curve curvature method is used to express the parametric layout of longitudinal reinforcement. The publication elements of the cabin structural frame model are defined to achieve the Top-Down design of the casting cabin. Simultaneously, a rapid parametric design method for spacecraft casting cabin structure is proposed, normalized modeling is implemented by defining casting feature naming rules and creating feature sets, the rapid design is realized by encapsulating cabin design knowledge, and the feature parameterization is realized by creating feature parameters and formulas. Finally, the rapid design environment for the interactive casting cabin structure is established, rapid structure design and rapid structure modification of casting cabin structure are realized, and the feasibility and effectiveness of the proposed method are verified by the example of spacecraft casting cabin.

Many-objective aerodynamic optimization design for rotor airfoils
SONG Chao, ZHOU Zhu, LI Weibin, LUO Xiao
2022, 48(1): 95-105. doi: 10.13700/j.bh.1001-5965.2020.0543
Abstract:

The design of advanced rotor airfoils is a typical multi-design-condition and multi-objective optimization problem, and traditional optimization methods cannot meet the requirement of high-dimensional multi-objective optimization design for airfoils. In this paper, a many-objective optimization design method for rotor airfoils is proposed based on the multi-objective evolutionary algorithm based on decomposition (MOEA/D), which considers the lift and drag performance under both low-and high-speed conditions, moment performance and drag divergence performance. The high-precision kriging model is utilized to improve the optimization design efficiency. Five-objective global optimization design for the inner section and middle section of the rotor airfoil is conducted in this paper. The optimal Pareto solution set is clustering analyzed by the self-organizing mapping (SOM) and a representative rotor airfoil is selected and analyzed using the CFD solver. The results show that, for the airfoil in the middle section, the magnitude of the moment coefficient at low speed is reduced by about 50.7%. At high speed, the maximum lift coefficient is improved by about 6.5%, and the maximum lift-to-drag ratio is increased by about 7.7%, and meanwhile the drag divergence performance is enhanced. Evident performance improvement for the inner section airfoil is also achieved. The results show that the MODA/D is suitable for many-objective aerodynamic optimization design problems, and the proposed method can effectively improve the low-and high-speed aerodynamic performance design capability for the rotor airfoil.

Lifetime evaluation model of small sample based on Bootstrap theory
ZHAO Yuan, YANG Lin
2022, 48(1): 106-112. doi: 10.13700/j.bh.1001-5965.2020.0536
Abstract:

This paper proposes a small sample lifetime evaluation model based on Bootstrap method for aerospace products which have the characteristics of small sample and long service life. Using B-spline function as the Bootstrap sample empirical distribution function, a random case sample with replacement is obtained. And on this basis, the lifetime evaluation model is established by using non-parametric Bootstrap method and parametric Bootstrap method respectively. Hollow cathode ignition test data are evaluated based on the proposed method, and multiple lifetime characteristic results are acquired. The results are contrastively analyzed with those concluded by conventional maximum likelihood estimation method of parameters, and it meets the need of the engineering precision, which demonstrates the engineering practicability and effectiveness of the method.

Energy optimal control of hybrid electric vehicles in connected environment
CHEN Fei, XIE Hehui, YANG Shichun, FENG Song, LIU Jian, GAO Xinhua
2022, 48(1): 113-120. doi: 10.13700/j.bh.1001-5965.2020.0517
Abstract:

Energy management strategy is one of the core technologies of hybrid electric vehicles, which determines the fuel economy and emission performance of the vehicle. Aiming at the problem that the existing energy management strategies of hybrid electric vehicles are all developed based on the fixed operating conditions without considering the actual road driving conditions, proposes a hierarchical energy control method for hybrid electric vehicles in the connected environment based on the road trcoffic in formation and surrounding vehicle in formation obtained by intelligent transportation system (ITS) and dedicated short range communication (DSRC) technology. Road traffic information and model predictive control algorithm are utilized to predict the optimal velocity of vehicle in the upper controller. The lower controller is designed to follow the optimal velocity by using target vehicle velocity information obtained in the upper controller, and uses the fuzzy neural network control algorithm to optimize the torque distribution between the engine and the motor to reduce fuel consumption. The simulation results show that, compared with the traditional energy management strategy, the proposed method can avoid the vehicle stopping at the red light effectively, so that the fuel consumption rate of the vehicle is reduced by 34.88%, and the emission of HC, CO, and NOx are reduced by 10.59%, 66.19%, and 1.05%, respectively, which improves the fuel economy and emission performance of hybrid electric vehicles.

Energy consumption of condensation-hydrogenation process to prepare alkanes from lignocellulose biomass
HUANG Xinghua, DONG Shengfei, YANG Xiaoyi
2022, 48(1): 121-131. doi: 10.13700/j.bh.1001-5965.2020.0506
Abstract:

With the increasing maturity of technology for preparing furfural, 5-hydroxymethylfurfural, levulinic acid from lignocellulose biomass, platform compounds reuse technology has become an international hot spot. By studying the characteristics of the self-condensation and cross-condensation processes of platform compounds, as well as the feasible paths for subsequent hydrogenation to prepare synthetic jet fuel alkanes, two processes for preparing jet fuel with the full component use of lignocellulose biomass derived platform compounds were designed. Through energy consumption analysis and evaluation, the main energy consumption units and main input energy consumption materials in each process route were determined. Furfural-levulinic acid cross-condensation hydrogenation process compared with furfural self-condensation hydrogenation process and 5-hydroxymethyl furfural self-condensation hydrogenation process has obvious advantages in terms of heat consumption and hydrogen consumption. In order to realize the full-component utilization of straw, furfural-levulinic acid cross-condensation hydrogenation is combined with 5-hydroxymethylfurfural self-condensation hydrogenation process, and according to the current process technology, the jet fuel yield can reach 19.6%.

Steady blowing control at wing-engine junction of airliner
LIU Rui, BAI Junqiang, QIU Yasong, LI Yufei
2022, 48(1): 132-146. doi: 10.13700/j.bh.1001-5965.2020.0521
Abstract:

For airliner with a wing-mounted engine layout, in order to ensure ground clearance, the pylon has to be short, which leads to a slat cutout, and the nacelle wake of the engine generates low energy flow and even flow separation on the upper wing surface. Numerical simulation method has been used to systematically study active flow control technology at wing-engine junction of airliner to improve the aerodynamic performance of the landing configuration. The influence of the blowing parameters on blowing performance was studied using the wing-nacelle configuration. The results show that, at high angles of attack, blowing can suppress the separation of the upper surface of the wing behind the nacelle, and the maximum lift coefficient can be significantly improved. Since the width of the blowing slot and the blowing mass flow rate influence the total pressure of blowing air, they show great effects on the blowing performance with the improvement of the lift coefficient of more than 0.05. The angle between the blowing slot and the upper wing surface affects the area of blowing energy, making a considerable effect on the blowing performance. The position of blowing slot affects the control range of the blowing air, which also has some effects on the blowing performance. Finally, the full-body configuration with and without nacelle vortex fins were studied respectively. For the configuration without nacelle vortex fin, the lift coefficient of the linear segment increases by about 0.15, the maximum lift coefficient increases by 0.186, and stall angle of attack increases by 1°. For the configuration with nacelle vortex fin, the lift coefficient of the linear segment increases by about 0.13, and the maximum lift coefficient increases by 0.16.

Facial expression recognition based on attention mechanism and feature correlation
LAN Lingqiang, LIU Qiyuan, LU Shuhua
2022, 48(1): 147-155. doi: 10.13700/j.bh.1001-5965.2020.0507
Abstract:

There are many challenges including occlusion, illumination and posture variation in the facial expression recognition under natural conditions, leading to the low accuracy. This paper proposes a new deep learning network model for facial expression recognition. This model uses ResNet as backbone, and introduces the bottleneck attention module and the global second-order pooling layer. The bottleneck attention module focuses on the extraction of important expression features, and the global second-order pooling layer aims to measure the correlation among expression features. On this basis, the joint normalization strategies are used balance and improve the distribution of feature data, which improves the accuracy of expression recognition. The test and validation of the proposed method have been carried out on the two public datasets FER2013 and CK+, resulting in the highest accuracy rates of 74.227% and 95.8%, respectively. The performance is better than most of the latest facial expression recognition methods. The results indicate that this model has better accuracy and robustness.

FMEA analysis of mechanical system of three-dimensional material warehouse unit
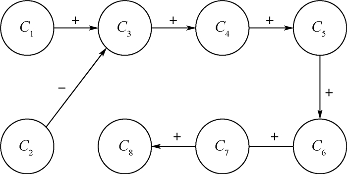
BIAN Renpeng, JIA Zhixin, BI Wenhai, LI Wei
2022, 48(1): 156-165. doi: 10.13700/j.bh.1001-5965.2020.0527
Abstract:

The three-dimensional material warehouse unit is an important sheet metal storage center in the sheet metal automatic intelligent production line. Its reliability is directly related to the reliability of the sheet metal automatic intelligent production line. Therefore, failure mode and effects analysis (FMEA) for the mechanical system of the three-dimensional material warehouse unit of the sheet metal automatic intelligent production line is very important. Aimed at the problem of lack of function and failure causality analysis in traditional FMEA, maintenance aware design environment (MADe) software is used to perform functional analysis and failure data analysis for the mechanical system of the three-dimensional material warehouse unit, and establish the function model diagram of the three-dimensional material warehouse unit and the failure causality diagram of the mechanical system. On this basis, the fuzzy cognitive map (FCM) adjacency matrix of the mechanical system is constructed according to the functional model diagram of the three-dimensional material warehouse unit, and then the FMEA table of the mechanical system of the three-dimensional material warehouse unit is obtained through calculation. The FMEA analysis of the mechanical system of the three-dimensional material warehouse unit based on MADe software shows that this method is universal for improving the reliability of the sheet metal automated intelligent production line.

Design and optimization of battery pack liquid cooling scheme based on serpentine channel
WANG Mingyue, LIN Jiayuan, LIU Xinhua, ZHANG Jingang, YAN Xiaoyu, YANG Shichun
2022, 48(1): 166-173. doi: 10.13700/j.bh.1001-5965.2020.0514
Abstract:

Compared with traditional vehicles, electric vehicles have a broad application prospect under the background of rapid development of new energy. As one of the power sources of electric vehicles, the performance of battery is easily affected by temperature. Battery thermal management system, which can control its working temperature, is of great significance to extend battery service time and ensure the safety and stability of electric vehicles. Aimed at the phenomenon that the temperature of power battery itself is too high, the heat generation characteristics of the battery are analyzed firstly, and then a set of liquid cooling thermal management scheme based on serpentine channel is proposed and optimized. Finally, the simulation results in temperature field show that the optimized liquid cooling structure has an obvious impact on the working environment of the battery pack. Especially under the high temperature condition, the battery can work in the optimal temperature range of 20℃-35℃, and meet the requirement that the temperature difference within the battery pack is less than 10℃.

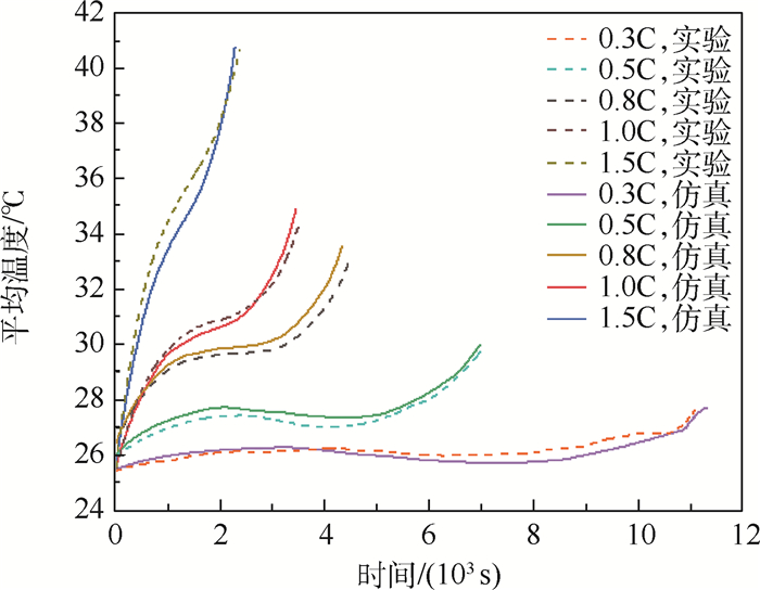
Influence of connection mode on consistency and heat production of battery modules
DING Changming, WEN Hua
2022, 48(1): 174-181. doi: 10.13700/j.bh.1001-5965.2020.0513
Abstract:

In order to study the inconsistency and uneven behavior of temperature in lithium-ion batteries packing, based on the electrochemical-thermal coupling model, this paper takes eight pouch batteries as an example, establishes different circuit modules through different series and parallel connection modes, and analyzes the temperature characteristics and inconsistency of batteries at the discharge of 1C and 0.5C. The results show that the inconsistency and temperature difference of the battery module are related to the discharge rate. The increase of parallel branches or the decrease of the number of series units will not only reduce the average temperature rise and maximum temperature difference of battery module, but also affect the temperature rise rate and voltage at the end of discharge. When the number of parallel branches is the same, the consistency of the series-parallel modules is better than that of parallel-series modules. For the parallel-series modules, the more batteries are connected in series in the parallel branch, the worse the consistency of the batteries is. For the series-parallel modules, the more the number of parallel branches, the worse the battery consistency.

Modeling and analysis of stratospheric airship's energy storage battery considering rate
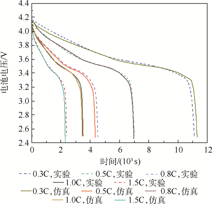
LIU Songsong, SUN Kangwen
2022, 48(1): 182-192. doi: 10.13700/j.bh.1001-5965.2020.0519
Abstract:

Accurately grasping the actual power of energy storage battery is one of the key factors for the stratospheric airship to realize long-time flight. First, a simulation model of a stratospheric airship energy system was established to analyze the energy input and consumption dynamically. Then, charging and discharging tests of energy storage batteries with different electric current ratios were carried out. The polynomial fitting method was adopted to establish an analysis model of state of charge (SOC), remaining discharging time (RDT) and remaining charging time (RCT) in the process of charging and discharging of energy storage batteries. Finally, the flight simulation was carried out by combining the energy input and consumption models of the energy system and the battery model to obtain the variation data of each part. And the quantitative comparison and analysis with the existing experimental data were conducted. The results show that the calculated errors of the established energy storage battery model in SOC, RDT and RCT are less than 3%, 1.5% and 1.5% respectively, which can accurately reflect the changes of SOC, RDT and RCT during the battery working process, and can provide quantitative support for the formulation of optimal flight strategies for the stratospheric airship platform.