2021 Vol. 47, No. 12

Display Method:
Volume 47 Issue122021
iconDownload (124603) 795 iconPreview
Dual-linear-array TFM ultrasonic imaging method for weld defects of complex structure
ZHOU Zhenggan, TENG Lichen, LI Yang
2021, 47(12): 2407-2413. doi: 10.13700/j.bh.1001-5965.2020.0464
Abstract:

A certain type of superalloy disk component of aero-engine is welded by the turbine disk and the outer integral blade ring, and when the conventional single-channel ultrasonic method is used to detect welding surface defects, there are problems such as low detection resolution and poor signal-to-noise ratio. For this reason, a detection scheme using dual-linear-array transducer is proposed. The Total Focusing Method (TFM) is used to image and characterize welding surface defects. Unlike the conventional TFM, the array aperture and waveform pattern can be dynamically changed with the detection depth, and the optimal parameters are determined by theoretical simulation. Samples of aero-engine superalloy disk with embedded defects were prepared, and testing experiments were carried out. The results show that the proposed dual-linear-array TFM ultrasonic imaging method can effectively improve the detection ability of unwelded area defects in superalloy disk and is a feasible detection scheme.

A multi-model centralized storage method for embedded system
YAN Zhipeng, CAI Xingquan, YANG Bo, WU Ji
2021, 47(12): 2414-2425. doi: 10.13700/j.bh.1001-5965.2020.0501
Abstract:

The software safety is important factor in our daily life, model-driven software development gains more and more attention. For the existing integration barriers of cross-domain models, we popose a method based on meta-modeling techniques, which is applied for extracting multi-perspective model information. In order to provide a solution for model checking in the design phase, we elaborate a methodological framework for model element parsing and integration description file generation for three modeling languages: AADL, SysML and Simulink. The experiment shows that the model warehouse implemented according to the proposed method can accurately extract the integration-related information between models from different perspectives, with over 90% coverage rate of element number under the condition that it can be properly stored and queried.

Air traffic CPS cascading failure and mitigation strategy
WANG Xinglong, HE Min, LIU Mingxue
2021, 47(12): 2426-2433. doi: 10.13700/j.bh.1001-5965.2020.0466
Abstract:

To effectively alleviate the cascading failure of air traffic, the traditional load-capacity model is improved, and the critical value of capacity adjusting parameter is discovered. An air traffic Cyber Physical System (CPS) model is built, and its nodes are defined to be in three states: normal, congested, and failed. Different flow allocation strategies, including degree allocation, betweenness centrality allocation, and remaining capacity allocation, are adopted to alleviate the cascading failure of air route network and air traffic control network, and the mitigation result is assessed by network normal rate. Taking air traffic CPS in East China as an analysis example, the results show that the network recovers first under betweenness centrality allocation, which suggests that it has good strength against cascading failure. Nodes' ability to receive additional flow is made full use of under remaining capacity allocation, and the network returns to normal state first, which indicates that the mitigation strategy is reliable.

Fatigue life prediction of aluminum alloy with pre-corrosion damage based on damage mechanics
ZHAN Zhixin, YU Xun, HU Weiping, MENG Qingchun
2021, 47(12): 2434-2441. doi: 10.13700/j.bh.1001-5965.2020.0477
Abstract:

In engineering structures, the corrosion fatigue failure is a common phenomenon. The fatigue crack often occurs around the corrosion pit, which seriously affects the fatigue characteristics of materials. In this paper, based on the continuous damage mechanics, a method is proposed for the fatigue life prediction of aluminum alloy with pre-corrosion damage. First, the influence of corrosion is studied from two aspects: one is the local initial damage caused by corrosion, and the other one is the local stress concentration caused by corrosion pit. Then, the fatigue damage evolution equations considering pre-corrosion damage are established and the related numerical solution is implemented. After that, according to the results of pre-corrosion fatigue test and numerical prediction, the initial damage of material caused by pre-corrosion is obtained. Finally, the fatigue life of the aluminum alloy with pre-corrosion pit is predicted by the proposed method, and the predicted results are compared with the experimental results, which verifies the effectiveness of the proposed method.

Behavioral decision learning reward mechanism of unmanned swarm system
ZHANG Tingting, LAN Yushi, SONG Aiguo
2021, 47(12): 2442-2451. doi: 10.13700/j.bh.1001-5965.2020.0600
Abstract:

Unmanned swarm system is composed of a multi-agent system, which can meet task requirements through autonomous and cooperative behavior. The instability of agent training is increased because agents adopt behavior and change states autonomously. In this paper, the prior constraints and the isomorphism between agents are used to enhance the real-time performance of reward signals and improve the efficiency of training and the stability of learning. Specifically, it includes the punishment of action space boundary collision and the reward for the satisfaction degree of the space-time distance constraint between agents. At the same time, through the relationship characteristics of agents in the group, experience sharing among agents is increased to further optimize the learning efficiency. In the experiment, the prior enhanced reward mechanism and experience sharing are applied to the Multi-Agent Deep Deterministic Policy Gradient (MADDPG) algorithm to verify its effectiveness. It is observed that the learning convergence and stability are greatly improved, and thus the behavior learning efficiency of unmanned swarm system is enhanced.

Supportability evaluation of aviation equipment system based on uncertainty
CUI Lijie, CONG Jiping, DING Gang, REN Bo, WANG Yi, LI Jihong
2021, 47(12): 2452-2461. doi: 10.13700/j.bh.1001-5965.2020.0490
Abstract:

Aimed at the characteristics of complex structure, various elements, and strong coupling of aviation equipment system, based on the analysis of its support process, the multi-Agent modeling technology is used to carry out the supportability modeling of the aviation equipment system, and analysis and evaluation are performed. Taking into account the large amount of subjective and objective uncertainty factors in the support process, the uncertainty factors are described in the forms of random distribution and fuzzy variables. In order to conform to the characteristics of dynamic time-varying objective variables, the maximum likelihood estimation based on cross-entropy and the Hamilton Monte Carlo method are combined to realize simulation parameter description based on information update and optimize aviation equipment system support simulation model. Finally, a typical combat training task is taken as an example to verify the feasibility and accuracy of the proposed method.

Principle and application of airspace spatial grid identification
ZHU Yongwen, PU Fan
2021, 47(12): 2462-2474. doi: 10.13700/j.bh.1001-5965.2020.0487
Abstract:

At present, in the related researches of airspace spatial finite element, the construction of a grid identification system for airspace space is an important foundation for applying information technology to airspace management and promoting airspace digitization. Based on the US military's global regional reference system and general geographic location reference system, this paper proposes a reference system that has the ability to identify both plane and three-dimensional spatial positions. By establishing a recursive system in the space below a specific height above the earth's surface, the airspace space is divides into several spatial grids. Grid at different scales is not only a geographic spatial position reference system, but also a basic airspace body that composes the airspace, which means to realize spatial position reference and spatial position calibration. The mixed expression of airspace provides an underlying model for the development of digital airspace management.

Robust nonlinear flight control method against control saturation
SUN Bing, CHEN Wei
2021, 47(12): 2475-2483. doi: 10.13700/j.bh.1001-5965.2020.0473
Abstract:

When the aerocraft is maneuvering in a large envelope, its rudder surface and engine are easily saturated. This phenomenon will not only affect the stability of the closed-loop system, but also greatly shorten the service life of the engine and other key components. To solve this problem, a nonlinear flight control method against saturation was designed. First, the strict feedback nonlinear model of the aerocraft was established. Then, the rudder control and engine speed control commands were designed by using adaptive backstepping design method, and the modeling error was approximated by Radial Basis Function (RBF) network. To solve the control saturation problem, the corresponding anti-saturation dynamic compensation systems were designed respectively. By establishing the Lyapunov function of the closed-loop system, the update weights of RBF network and the structural parameters of anti-saturation dynamic compensation system were determined by stability theory, which ensures the global stability of the designed closed-loop control system. Finally, the simulation results show that, when the control saturation occurs, the anti-saturation compensation system can modify the control command in real time, which helps the system to get out of saturation state quickly and shorten the saturation time by 30%-60%, with high command tracking accuracy.

Experimental and computational study on blade surface pressure measurement of coaxial rigid rotor in hovering state
JIANG Lusheng, CAO Yaxiong, LIU Ting, FAN Feng
2021, 47(12): 2484-2493. doi: 10.13700/j.bh.1001-5965.2020.0669
Abstract:

For the coaxial rigid model rotor in hovering state, the experimental and numerical simulation research on blade surface pressure measurement were carried out. The micro pressure sensor was used to measure the blade surface pressure, which not only obtains the experimental data of blade surface pressure, but also provides verification data for CFD method to calculate the blade surface pressure. The calculation results are in good agreement with the experimental results, which verifies the effectiveness of CFD method. The flow and pressure characteristics of the upper and lower rotor blade surface of the coaxial rigid rotor were obtained. The results show that, for coaxial rigid rotor with 4 upper blades and 4 lower blades, the blade surface pressure changes periodically with the rotation of the blade, and there are eight small cycles in one rotation cycle. In the hovering state of the upper and lower torque balancing, most of the area of the lower rotor blade is affected by the downwash flow, and the profile pull of the lower rotor is lower than that of the upper rotor; total pitch angle of the lower rotor in the tip region is larger than that of the upper rotor, and affected by respective upwash flow, the profile pull of the lower rotor is higher than that of the upper rotor.

Effect of alertness light environment on flight cognitive task performance
CHEN Yanhao, YU Suihuai, CHU Jianjie, CUN Wenzhe
2021, 47(12): 2494-2502. doi: 10.13700/j.bh.1001-5965.2021.0124
Abstract:

The effects of monochromatic blue light and three groups of blue-enriched light on the change of alert level of flight cognitive tasks were tested from the subjective and objective performance of flight cognitive tasks. Objective experimental evaluation, including the measurement of flight main and secondary tasks and information inspection tasks, obtains the changes of the performance level of flight cognitive tasks in four alert light environments from the level of calculation and memory, judgment, error finding and logic. Subjective comprehensive evaluation is based on the alertness subjective evaluation scale of multi-dimensional indicators, the subjective comprehensive evaluation model is established using entropy weight TOPSIS method, and the subjective comprehensive evaluation ranking under each group of light environment is obtained. The results of the subjective and objective measurement were analyzed. The results show that the calculation force level of monochromatic blue light is significantly higher than that of other groups in the measurement of main and secondary missions, and the four groups of light environment have no significant influence on memory level. In the information inspection task measurement, the enhancement effects of monochromatic blue light and blue-enriched white light on cognitive performance are the same, which are significantly higher than those of other groups. In terms of overall subjective feeling, the comprehensive evaluation of blue-enriched white light is the highest, and the results can provide guidance for the design of cockpit warning lighting.

Real-time performance optimization of TTE network based on "pay bursts only once" principle
ZHENG Zhong, ZHAO Luxi, HE Feng, XIONG Huagang, LU Guangshan
2021, 47(12): 2503-2513. doi: 10.13700/j.bh.1001-5965.2020.0415
Abstract:

The development of deterministic communication promotes the introduction of time-triggered concepts. Time-Triggered Ethernet (TTE) network supports real-time applications of mixed safety by providing three traffic classes, including Time-Triggered (TT) traffic, which has complete time certainty, Rate-Constrained (RC) traffic, which has bounded end-to-end delay, and the Best-Effort (BE) traffic. How to realize the tight analysis of real-time performance of RC traffic under time-triggered mechanism is still an open problem that determines the smooth application of TTE network. Under the assumption of First Input First Output (FIFO) service, this paper introduces the analysis method of "pay bursts only once" principle into TTE network to observe the influence of this principle on the performance analysis of time-triggered network. Different from Avionics Full-Duplex Switched Ethernet (AFDX), TT traffic with higher priority will have a key impact on the delay analysis of RC traffic, resulting in the complexity of "pay bursts only once" principle analysis. In this paper, the arrival curve model of aggregated TT traffic in the timely blocking mode is established, and the end-to-end service curve model of single RC traffic is obtained. Based on this model, the Worst-Case end-to-end Delay (WCD) evaluation of RC traffic is realized. Compared with those in the existing studies, this method gives a tighter upper bound of the WCD for RC traffic, which is helpful to improve the tightness of TTE network performance evaluation. Through the comparative analysis of A380 topology networking cases, compared with the traditional method, the proposed method reduces the average delay of RC traffic by 12.05%.

Theoretical and experimental study on synthesis of high-content catocene
LIU Xiaoju, SUO Qi, FENG Haitao, ZHANG Chi, MA Xiaoyan
2021, 47(12): 2514-2520. doi: 10.13700/j.bh.1001-5965.2020.0497
Abstract:

2, 2'-bis (ethylferrocenyl) propane (catocene) is a kind of high-efficiency burning rate liquid catalyst with excellent comprehensive performance. It is a mixture with four isomers of the different substituting positions of ethyl groups and other different substitutions of diferrocenyl propane compounds, which are difficult to separate due to their similarly physical and chemical properties. In this paper, Density Functional Theory (DFT) was used to simulate and determine the structure of the four isomers, and 1H-NMR and 13C-NMR spectra of the four isomers were obtained respectively. Meanwhile, the influence of reaction temperature on the content of four isomers in the product was studied. Under the guidance of the theory, the crude catocene was synthesized from high-purity ethylferrocene and acetone with sulfuric acid as catalyst and was purified by vapor distillation in inert gas atmosphere. The yield of catocene is more than 94.0% with a purity of more than 99.0%. The structure of synthetic product is confirmed by nuclear magnetic resonance spectra.

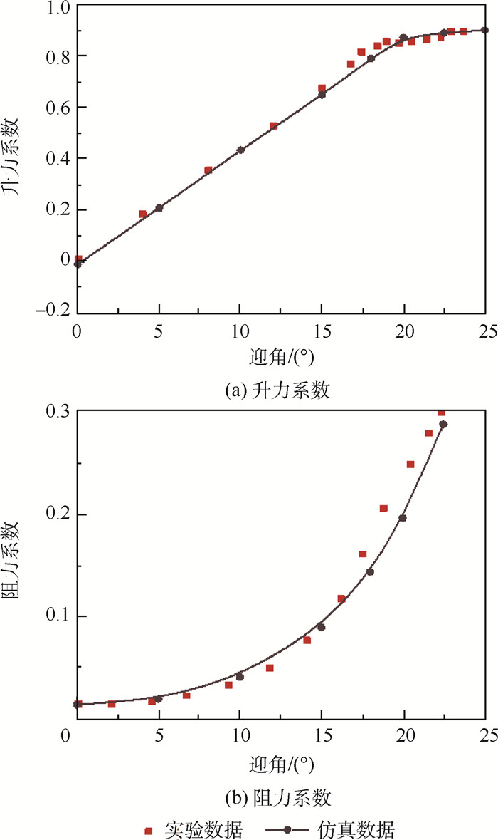
Aerodynamic characteristics of airfoil near wavy water surface
HU Haode, MA Dongli, YANG Muqing, GUO Yang
2021, 47(12): 2521-2532. doi: 10.13700/j.bh.1001-5965.2020.0448
Abstract:

The aerodynamic characteristics of NACA 4412 airfoil moving over wavy water at small clearance is studied by solving Navier-Stokes equations. The accuracy of the numerical method is verified. The aerodynamic coefficients of airfoil moving over wavy water surface and wavy ground are calculated and compared. The results show that the aerodynamic coefficient changes periodically when the airfoil moves over the wavy water surface. Compared with the case of wavy ground, the variation curve of aerodynamic coefficient is significantly different and the fluctuation amplitude is larger. Through the analysis of the flow field structure, the interaction mechanism between the airfoil and the wavy water surface is found. The particles on the wavy water surface have vertical motion, when the clearance is small, the upward movement of the particles on the water surface will squeeze the air between the airfoil and the water surface, resulting in a large fluctuation of the airfoil aerodynamic force. At the same time, the reason why the fluctuation amplitude of aerodynamic coefficient decreases with the increase of incoming flow velocity is explained.

High-resolution network Anchor-free object detection method based on iterative aggregation
WANG Xin, LI Zhe, ZHANG Hongli
2021, 47(12): 2533-2541. doi: 10.13700/j.bh.1001-5965.2020.0484
Abstract:

In order to solve the problems of inaccuracy in heat map generation and insufficient detection accuracy of anchor-free object detection method CenterNet (Objects as Points), a high-resolution representation network CenterNet-DHRNet based on feature iterative aggregation is proposed. First, for the purpose of improving the resolution of the network and reducing the spatial semantic information lost in the image downsampling process, a high-resolution representation backbone network is introduced and low-resolution features are fully fused by iterative deep aggregation. Then, an efficient attention mechanism is used to optimize the output of the high-resolution representation backbone network. Finally, the spatial pyramid pooling with dilated convolution is used to enhance the network's receptive field for objects of different scales. The experiment is carried out on PASCAL VOC dataset and KITTI dataset, and the experimental results show that CenterNet-DHRNet has higher accuracy, meets the performance requirements of real-time detection and has good robustness.

Remaining useful life prediction method based on random coefficient regression model with imperfect prior information
WAN Changhao, LIU Zhiguo, TANG Shengjin, SUN Xiaoyan, SI Xiaosheng
2021, 47(12): 2542-2551. doi: 10.13700/j.bh.1001-5965.2020.0439
Abstract:

Remaining Useful Life (RUL) prediction is a core problem of equipment prognostics and health management. Accurate RUL prediction can make effective maintenance management before the failure occurs to reduce the probability of equipment failure. A heuristic RUL prediction method is proposed to overcome the problem of imperfect prior information or lack of prior information in actual RUL prediction. First, the nonlinear Random Coefficient Regression (RCR) model is used for degradation modelling. Then, the relationship of the parameter estimation results between the Expected Maximization (EM) algorithm and the Maximum Likelihood Estimation (MLE) method based on the field degradation data of single equipment is studied and the conclusion that the result of EM algorithm finally converges to that of MLE method is obtained. Based on this conclusion, a heuristic RUL prediction method is proposed, which fuses both prior information and field information. Finally, the proposed results and algorithm are estimated by the numerical simulation data and practical degradation data of lithium battery. The experimental and simulation results show that, compared to the traditional Bayesian method, the heuristic RUL prediction method can overcome the impact of imperfect prior information and has higher prediction accuracy.

Effects of capsule wake on parachute working performance
WU Zhuoheng, YU Li, ZHAO Xiaoshun, NIE Shunchen
2021, 47(12): 2552-2559. doi: 10.13700/j.bh.1001-5965.2020.0465
Abstract:

To study the unsteady effects of capsule wake on parachute aerodynamic performance, the Realizable k-ε turbulence model and PISO algorithm are used to calculate the unsteady flow around the capsule-parachute system, and an accurate flow field vortex structure is obtained. The research on the variation of vortex, the flow field distribution and the aerodynamic characteristics of the canopy at different trailing distances has been carried out. The results show that the vortex of capsule wake causes the magnitude and direction of the vorticity at the entrance of the canopy to change constantly. As the trailing distance increases, the vorticity magnitude gradually decreases because of the increase of the vorticity's viscous dissipation, and a stable negative vortex area is formed at the entrance of the canopy. The canopy vortex's escape period is extended. The trailing distance has a much greater influence on the flow field pressure at the entrance of the canopy than at capsule. As this distance increases, the flow form gradually changes from closed to open, the velocity and pressure distribution of the flow field become more symmetrical, and a stable positive pressure zone is formed. The internal and external pressure difference increases. The influence of the capsule wake on the drag coefficient and surface pressure coefficient of the canopy is reduced when drag ratio equals or greater than 9.

Intelligent design method of landing gear retraction and extension trajectory for narrow space
ZHU Linhao, ZOU Zehua, YIN Yin, LIU Xiangyang, CAI Xinzhi
2021, 47(12): 2560-2570. doi: 10.13700/j.bh.1001-5965.2020.0440
Abstract:

The flattened aerodynamic shape is the preferred layout for hypersonic vehicles to obtain high lift drag ratio, but this shape seriously restricts the collection space of the landing gear, and the conventional mechanism is difficult to meet the requirements. Engineers can only use the three-dimensional motion of the complex mechanism to realize the narrow space retraction and retraction of the landing gear. However, the current mainstream iterative trial and error method of computer-aided design relies heavily on engineering experience in solving the design problems of spatial mechanisms, which is time-consuming and labor-consuming, and it is difficult to obtain the optimal results. To address this problem, an intelligent optimization algorithm based method for autonomous design of complex landing gear mechanisms is proposed in this paper. First, theoretical kinematics model of retraction mechanism is built after analysis. Then, the model of inter-structure distances between landing gears and fuselage is established for detecting collisions, and the optimal motion trajectory of landing gear mechanisms is designed autonomously by using the deep neural network based learning optimization algorithm. Finally, the proposed method is applied to a landing gear mechanism design of certain hypersonic aircraft with a narrow cabin. The results show that the optimal design scheme for retractable mechanism can be obtained quickly by the proposed method, which can be used to guide the design of landing gear retractable mechanism for hypersonic aircraft.

G1-variation-coefficient-KL based TOPSIS radar jamming effectiveness evaluation
LI Zhijun, XIANG Jianjun, SHENG Tao, XIAO Bingsong
2021, 47(12): 2571-2578. doi: 10.13700/j.bh.1001-5965.2020.0493
Abstract:

When jamming effectiveness evaluation is transformed to a multi-attribute decision-making problem, traditional Technique for Order Preference by Similarity to an Ideal Solution (TOPSIS) is too objective to fully reflect the will of the evaluator, and the method only considers the inter-index Euclidean distance during the usage, which causes that certain solutions on the vertical line of the positive and negative ideal solutions cannot be distinguished. This paper proposes a G1-variation-coefficient-KL based TOPSIS radar jamming effectiveness evaluation algorithm. This method uses the G1 method and the variation coefficient method to obtain the subjective and objective weight, and introduces the coefficient of difference which can fully reflect the subjective and objective degree. With the application of relative entropy, the problem that the solutions on the vertical line of the positive and negative ideal solution cannot be sorted is solved, simulation results show that the performance of the proposed algorithm is better than some traditional algorithms in evaluating the effectiveness of jamming.

A chicken swarm optimization algorithm based on improved X-best guided individual and dynamic hierarchy update mechanism
ZHANG Kewei, ZHAO Xiaolin, HE Li, LI Zongzhe
2021, 47(12): 2579-2593. doi: 10.13700/j.bh.1001-5965.2020.0322
Abstract:

In the improvement process of swarm intelligence algorithms, elite individuals are often used to accelerate the convergence, but excessive dependence on them will lead to the decline of population diversity and global convergence. In this regard, a chicken swarm optimization algorithm based on improved X-best guided individual and dynamic hierarchy update mechanism is proposed in this paper. Firstly, in the individual update stage, elite individuals are introduced into the search equation to accelerate the convergence, while the ordinary individuals are also introduced into the search equation to balance the influence of the elite individuals. Therefore, the information of elite and ordinary individuals can be fully used, and the population diversity and global convergence are improved. Secondly, by dynamically optimizing the hierarchy update parameter, the promotion effect of the population hierarchy update mechanism on the convergence is strengthened. Finally, through complexity and convergence analysis, the simplicity and global convergence of IDCSO are proved. The simulation results show that IDCSO has obvious advantages over other comparative algorithms in terms of optimization accuracy, optimization success rate and convergence speed.

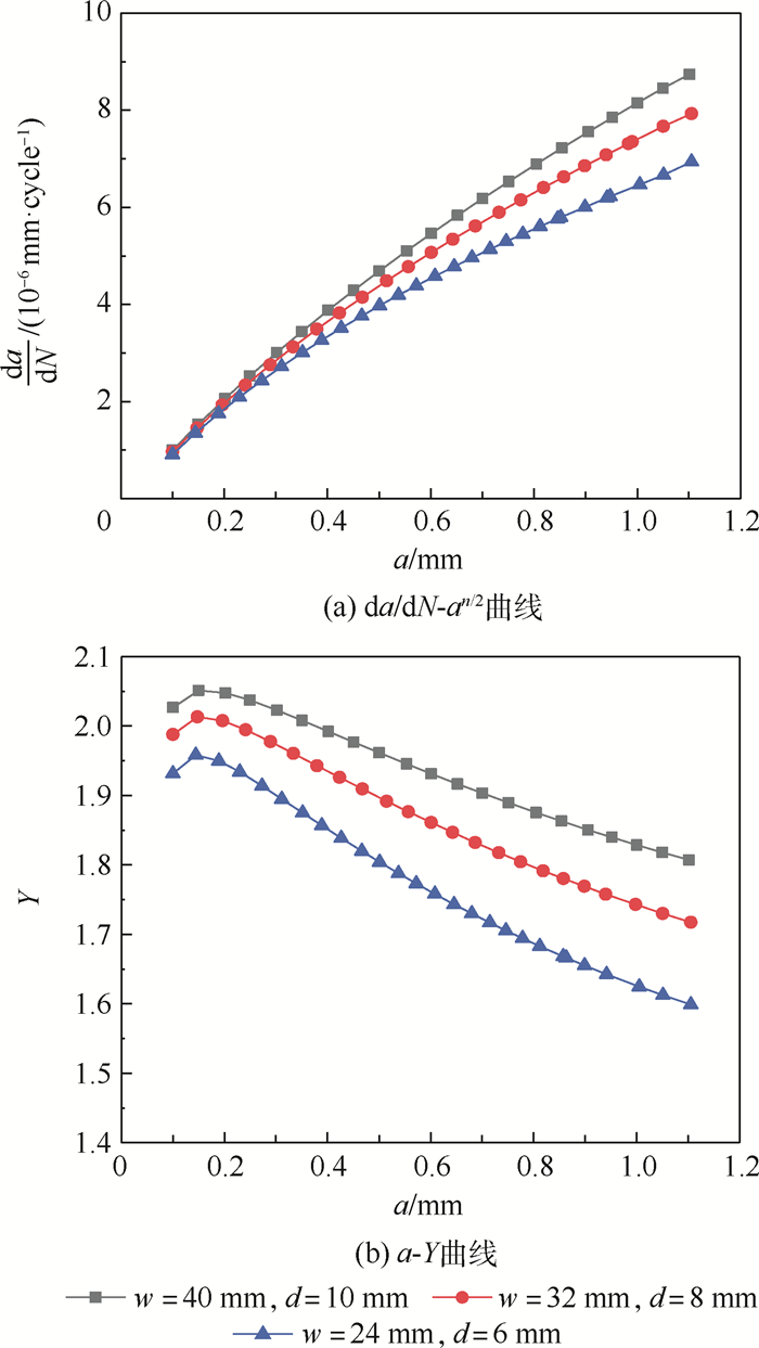
Parameter determination method of relative small crack growth rate formula in durability analysis
ZUO Randong, HE Xiaofan, LI Yuhai
2021, 47(12): 2594-2601. doi: 10.13700/j.bh.1001-5965.2020.0492
Abstract:

Relative small crack growth rate formula of structural details is the key to durability analysis using probabilistic fracture mechanics method. In order to determine the applicable range and parameters of the formula, it is necessary to carry out group fatigue tests under multiple stress levels, which is too complex. To solve this problem, in this paper, first, the stress intensity factor correction coefficient is expanded to a polynomial, and the relative small crack growth rate formula for durability analysis is obtained based on the crack growth rate formula of material stable crack growth section. Then, various crack growth of the central hole plate subjected to far-field uniform tensile load is analyzed based on the approximate solution of stress intensity factor and FRANC3D software, and a method is obtained to determine the relative small crack size range and the corresponding crack growth parameters. Finally, the correctness of the method is verified by durability tests of three specimens under constant amplitude alternating stress.

Dynamic modeling and simulation of morphing vehicle
YAN Qimin, HU Junhua, CHEN Guoming, LIU An, ZHANG Qiang
2021, 47(12): 2602-2610. doi: 10.13700/j.bh.1001-5965.2020.0496
Abstract:

In view of the problem that the dynamic model of some morphing vehicles is complex, which is caused by the complicated variant description and the rigid-flexible coupling, a general applicable dynamic equation of morphing vehicle is derived. The vehicle is regarded as a whole composed of mass points, and the dynamic differential equation of each mass point is established. The extended dynamic equation suitable for the morphing vehicle is derived by integral method, and the influence of the variants is described as additional forces and additional moments. The longitudinal open-loop motion simulation of a conformal semi-ring wing morphing vehicle with flexible wings is carried out. Aimed at the problem that some additional forces and additional moments are difficult to accurately calculate, a rapid calculation method for engineering is proposed. The dynamic response of the vehicle and the influence of additional forces and additional moments under different variant rates are analyzed. The results show that the additional forces and additional moments are positively correlated with the variant rate.

Analysis of accumulation effect of turntable bearing and its influence on rotary performance
DENG Biao, CHEN Jianwei, GUO Yang, TANG Shengjin, CHEN Wei
2021, 47(12): 2611-2622. doi: 10.13700/j.bh.1001-5965.2020.0499
Abstract:

In order to solve the problem of friction moment increase caused by rolling body accumulation during the rotating process of the space launch pad turntable bearing, this paper studied the influence of the change of clearance between the rolling bodies on the rolling. Based on the finite element analysis of the typical station of the transmitting station, the distribution law of raceway deformation and contact force of the rolling body in different contact types about the turntable bearing are compared, the influence of the time variation of raceway deformation and contact force of the rolling body on the clearance change of the rolling body is further analyzed after the determination of the geometrical relationship of rolling body and isolation block, and the relationship of clearance change and accumulation effect is established. The calculated deformation data of launch pad framework by finite element is consistent with the measured data by experiment, which verifies the reliability of the finite element calculation. The simulation results demonstrate that rolling body experiences alternative movement process of "climbing" and "going downhill" due to the axial deformation of the lower raceway. The radial deformation of raceway results in large clearance between the rolling bodies. The driving friction force of each rolling body changes constantly, and the motion state is time-varying. When there is an increasing clearance, the rolling body with constantly changing motion station will lead to the accumulation of the increased clearance, and as a result, the rolling bodies cluster. To eliminate the rolling body accumulation effect and study its influence on friction torque, the comparative experiment is conducted and the results indicate that the accumulation effect leads to the increase of the friction torque of launch pad and the change is remarkable.

Reconstruction of sparse parity-check matrix of LDPC codes based on iterative decoding
ZHONG Zhaogen, LIU Renxin, ZHANG Limin, DAN Bo, LIU Jie
2021, 47(12): 2623-2631. doi: 10.13700/j.bh.1001-5965.2020.0500
Abstract:

In order to improve the performance of Low Density Parity Check (LDPC) code sparse parity-check matrix reconstruction algorithm under high error rate, this paper proposes a sparse parity-check matrix reconstruction algorithm based on the idea of iterative decoding. First, the dual space algorithm is used to obtain part of non-sparse check vector and make it sparse. Second, the sparse check vector is used to perform soft-decision iterative decoding of the LDPC code, thereby correcting the error bits in the codeword to improve the quality of the codeword. Then, the check vector is obtained again for the codeword after error correction. Finally, with repeated iteration, the reconstruction of the sparse parity-check matrix of the LDPC code is realized. The experimental results show that the algorithm in this paper can effectively complete the reconstruction of LDPC codes under IEEE802.16e, IEEE802.11n and other protocols at a bit error rate of 10-3, and the sparse parity-check matrix reconstruction rate of the proposed algorithm is significantly better than that of traditional methods.

Lightweight identity authentication protocol based on dynamic ID in multi-server environment
QI Xiaochen, LI Meihong, DU Ye
2021, 47(12): 2632-2640. doi: 10.13700/j.bh.1001-5965.2020.0442
Abstract:

To realize the communication security and efficient identity authentication between users and servers, how to design effective identity authentication protocols has gradually become an important research hotspot, more and more identity authentication protocols are proposed. First, this paper analyses the security of the exiting protocols, and finds that it cannot resist Denial of Service (DOS) and offline password guessing attacks. Then, a new lightweight one-way hash function authentication protocol based on dynamic ID is proposed to remedy the security vulnerability mentioned above. For the security analysis, it is proved by non-formal security analysis and two formal analysis methods: Random Oracle Model (ROM) and AVISPA. Finally, the analysis and comparison of computation overheads and communication overheads prove that our protocol can achieve secure and efficient identity authentication.

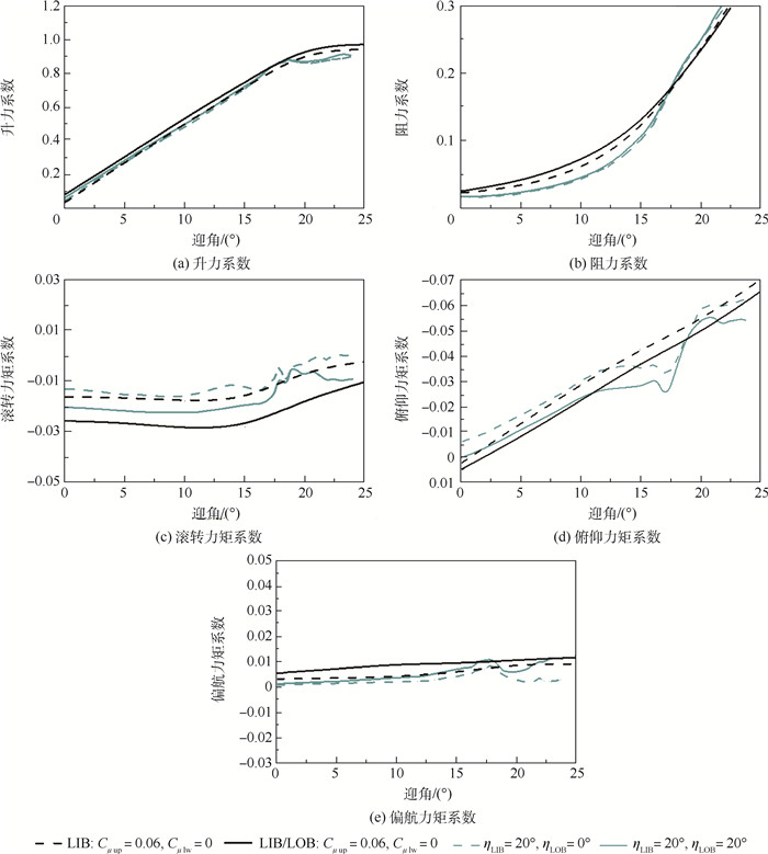
Control moment characteristics of double-jet circulation control airfoil
HE Yujuan, LEI Yuchang, ZHANG Dengcheng, ZHANG Yanhua, ZHOU Zhangwen
2021, 47(12): 2641-2649. doi: 10.13700/j.bh.1001-5965.2021.0080
Abstract:

In order to study the possibility of flight control by circulation control technology, the control moment characteristics of steady jet circulation control airfoil in steady flow field are studied. The aerodynamic coefficient variation rules of virtual rudder and traditional rudder produced by single jet and double jet are compared and analyzed by numerical simulation, and the aerodynamic moment control characteristics are verified based on the rudderless aircraft Circulation Control SCAOON (CCSCAOON). The verification results show that the virtual rudder under single jet can provide the rolling and pitching torque needed by aircraft, the action mechanism is similar, and the control performance is better than that of the traditional rudder. Whether under single jet or double jet, the aerodynamic characteristics of circulation control airfoils at high angle of attack are poor, which limits the use of circulation control angle of attack. The lift-drag ratio and control torque characteristics of double jet are better than those of single jet. By adjusting the momentum coefficient of the lower jet port, the virtual rudder under double jet can effectively reduce the coupling effect of yaw moment, rolling moment and pitching moment.

High-altitude floating mechanism and vertical trajectory simulation of double-layer latex balloon
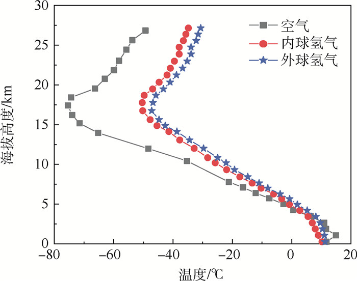
HE Hong, ZHU Huajian, SHEN Zhipeng, XIAO Di'e, PAN Xianzhi, LI Fanzhu
2021, 47(12): 2650-2656. doi: 10.13700/j.bh.1001-5965.2020.0505
Abstract:

The double-layer latex balloon overcomes the shortcomings of the single-layer latex balloon and can float at high altitude with long time to achieve continuous meteorological observation. However, its high-altitude floating mechanism influenced by multiple factors is much more complicated. In particular, the determination of the Amount of Hydrogen (AoH) needed mainly depends on engineering experience currently, resulting in a high probability of failure, so it is urgent to study the theory behind phenomenon. The test data prove that the balance of buoyancy and gravity is a necessary condition for the double-layer latex balloon to achieve high-altitude floating. The influences of the AoH in inner and outer balloon, and diurnal temperature variation on the motion of the balloon were derived. The geometric model and the dynamic model of the double-layer latex balloon were established. Combined with the test data of balloon release process, the trajectories during ascent and horizontal floating process were simulated. The influence of the AoH on the floating altitude was explored, and it is proved that the AoH in inner balloon is the key factor that determines the floating altitude, and is affected by the diurnal temperature variation. When the operating load is about 1 kg and the inner and outer balloon specifications are set to 750 g and 500 g respectively, the ultimate horizontal floating altitude will increase or decrease by around 5 km for every 0.04 kg weight change in pull force of inner balloon, while the AoH in outer balloon has no effect on its floating altitude.