2020 Vol. 46, No. 2

Display Method:
Volume 46 Issue22020
iconDownload (25262) 995 iconPreview
Non-orthogonal multiple-relaxation-time lattice Boltzmann simulation of natural convection in porous square cavity with internal heat source
ZHANG Ying, BAO Jin, GUO Hailong, LIAN Xiaolong, HUANG Yichen, LI Peisheng
2020, 46(2): 241-251. doi: 10.13700/j.bh.1001-5965.2019.0218
Abstract:

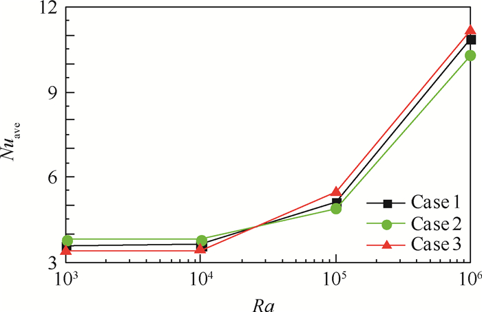
In order to enhance the effect of fluid flow and heat transfer in the porous square cavity, the non-orthogonal multiple-relaxation-time (MRT) lattice Boltzmann method (LBM) is used to simulate the natural convective heat transfer in the porous square cavity with internal heat source. The effects of different cold source arrangements (Scheme A-Scheme F), internal heat source structure (Case 1, Case 2, Case 3), internal heat source location (a, b), Darcy number, and Rayleigh number on fluid flow and heat transfer in square cavity are studied. The calculation results show that the arrangement of the cold source has an important influence on the fluid flow and heat transfer. When the cold source is symmetrically distributed, the temperature field and the flow field in the cavity are also symmetrically distributed; under high Rayleigh number, the double upper cold source arrangement of Scheme A can significantly improve the heat transfer intensity in the cavity; the shape of the internal heat source has a great influence on the convective heat transfer in the cavity. Under the high Rayleigh number, case 3 is arranged better. The positions a and b of the internal heat source have obvious influence on the heat transfer in the cavity. The fitting relationship between the average Nusselt number of the hot wall surface and the position a is proposed, and there is an optimal position a (a=0.25), which makes the convective heat transfer in the cavity strongest; the average Nusselt number of the hot wall surface also shows a specific variation law with the change of b value. With the value of b increases, the average Nusselt number of the hot wall surface increases first, then decreases and finally increases.

Integrated orbit, attitude and manipulator control of space multi-body system
WEI Chunling, YUAN Quan, ZHANG Jun, WANG Mengfei
2020, 46(2): 252-258. doi: 10.13700/j.bh.1001-5965.2019.0204
Abstract:

The rapid maneuver ability is widely required for spacecraft aiming the on-orbit servicing tasks. The integrated orbit, attitude and manipulator control was designed for the space multi-body system, which is composed of the satellite base and manipulator. First, the dynamic model of the multi-body system was established. Then, the integrated orbit, attitude and manipulator controller was designed via back stepping method, and the stability of the system was proved. Since all the degrees of freedom are controlled, the abilities of the system to fulfill different tasks are markedly improved, compared to the traditional system whose orbit or attitude is free. Thus, the system with the integrated controller can fulfill simultaneous orbit transfer and attitude maneuver in a large range of space, and meanwhile the manipulator can operate and control accurately. Finally, by establishing complete multi-body system simulation model, the controller was simulated, and the goal of simultaneous orbit, attitude and manipulator control is achieved. The effectiveness of the proposed method is validated.

Hierarchical porous ZnMn2O4 microsphere anode
REN Yanbiao, ZHANG Shichao, ZHANG Lincai, HE Xiaowu, ZHAO Jinguang
2020, 46(2): 259-265. doi: 10.13700/j.bh.1001-5965.2019.0190
Abstract:

The precursor of Zn-Mn oxides were synthesized by a facile hydrothermal method and subsequently calcined at different temperature of 400℃, 500℃, 600℃ and 700℃ in air in order to synthesis the hierarchical porous ZnMn2O4 microspheres assembled by a lot of nanosheets. The ZnMn2O4 microspheres synthesized by calcining precursor in air at 500℃ (ZMO-500) display rich hierarchical porous structures, and when used as the anode material of lithium ion batteries, ZMO-500 microsphere anode material exhibits a high discharge capacity of 1 132 mAh/g after 500 cycles at a current density of 500 mA/g. It is believed that the outstanding electrochemical performance of ZMO-500 microsphere anode material benefits from the hierarchical porous structure that can not only increase the contact area between the electrode and the electrolyte to facilitate the transfer of Li+, but also provide sufficient space for volume expansion of the electrode during the cyclic process.

Moving object speed measurement for low-camera-angle surface surveillance
ZHANG Tianci, DING Meng, QIAN Xiaoyan, ZUO Hongfu
2020, 46(2): 266-273. doi: 10.13700/j.bh.1001-5965.2019.0234
Abstract:

To build an effective airport surface visual surveillance system, a moving object speed measurement method based on long-term feature point tracking and analysis is proposed. First, the surveillance camera is calibrated using geographic features on the airport surface. Then, the feature points in motion regions of the images are continuously tracked via optical flow fields. On this basis, different moving objects are identified by clustering the feature point trajectories. Finally, the speeds of the moving objects are measured according to the heights and moving distances of the feature points. The proposed method can accurately measure the object moving speeds using low-camera-angle monocular video images obtained by cameras installed on the airport surface. Simulation studies are conducted based on the surface operation videos of Guangzhou Baiyun International Airport, which verify the feasibility and advantages of the proposed method for low-camera-angle speed measurement.

A technology for generation of space object optical image based on 3D point cloud model
LU Tingting, LI Xiao, ZHANG Yao, YAN Yan, YANG Weidong
2020, 46(2): 274-286. doi: 10.13700/j.bh.1001-5965.2019.0189
Abstract:

The lack of the prior image data in the space exploration tasks makes it difficult to quantitatively test and evaluate the situation awareness and navigation algorithms based on the optical images. Accordingly, in this paper, we present an algorithm for generating the synthetic space object optical image based on the 3D point cloud model and the basic theory of the projective transformation. First, the 3D point cloud model of the space object and the optical camera model were constructed. Then, the corresponding pairs between all the pixels in the image plane and the space points of the 3D point cloud model were obtained via the basic theory of projective transformation, and subsequently the intensity of each pixel in the image plane was calculated by the lighting direction of its corresponding space point and the Lambertian reflection model, and finally the simulated image was generated. A great deal of simulation experiments demonstrate that the proposed algorithm can produce the more vivid simulated images rapidly than the traditional analytical image generation algorithm, and the generated images can be applied to testing and evaluating the typical space application algorithms qualitatively and quantitatively, such as ellipse fitting, crater detection, optical navigation landing on the planet, automated rendezvous and docking of spacecraft, 3D tracking of spacecraft, and so on.

Design of Moon-to-Earth transfer orbit with direct atmospheric reentry
BEN Liyan, YAN Lingling, XIE Xianghua, ZHANG Rui, WANG Guoji
2020, 46(2): 287-293. doi: 10.13700/j.bh.1001-5965.2019.0194
Abstract:

A new solution algorithm for the design of Moon-to-Earth transfer orbit which leaves from the Moon parking orbit with direct atmospheric reentry and single impulse is presented in this paper. The algorithm is divided into two steps, designing the initial solution and searching the exact solution. First, according to the constraint conditions, the high-precision initial solution is generated by simple iteration using pseudostate theory. Then, the real orbit and state transition matrix are calculated by numerical integration in the real dynamic model, and the exact solution is found by the differential correction method. Because the initial solution with high accuracy is used, the difficulty of finding the solution for the design of Moon-to-Earth transfer orbit is greatly reduced. Numerical simulations indicate that the algorithm is of high efficiency and good robustness.

Dynamic property test and system identification of model aircraft actuators
SUN Yukai, ZHANG Renjia, WU Zhigang, YANG Chao, YANG Yang
2020, 46(2): 294-303. doi: 10.13700/j.bh.1001-5965.2019.0202
Abstract:

Small actuators are chosen due to the limitation of model aircraft's weight, space and design cost, most of which are lack of frequency response characteristics that need to be tested. Considering the influence of inertial loads and aerodynamic loads of rudder, an platform for testing frequency response characteristics of actuator was designed and capable to perform tests with or without loads on rudder. Frequency response characteristics test was conducted for three types of frequently-used actuators. Subspace identification method is used to obtain precise mathematical model of actuator. The comparison among frequency response characteristics of three actuators indicated that even if the nominal torque of the actuator meets the requirements of use, the amplitude-frequency characteristics change with the increase of loads. The time delay in the actuator also varies with the load. Widely used 50 Hz PWM signal limits the bandwidth of the actuator.

Dynamic characteristics of wire-driven parallel robot with wire damping
PENG Miaojiao, WU Huisong, LIN Qi, ZHOU Fangui, LIU Ting, WANG Xiaoguang
2020, 46(2): 304-313. doi: 10.13700/j.bh.1001-5965.2019.0205
Abstract:

To actualize the design requirement of a wire-driven parallel robot applied as the model support in wind tunnel tests, the influence of wire damping on the dynamic characteristics of the wire-driven parallel robot was studied by combining experimental and theoretical modeling methods. Firstly, in order to describe the wire damping accurately and quantitatively, a set of experimental devices was designed to measure the wire damping ratio under different parameters. Secondly, considering the wire damping, the wire tension was modeled and the motion equation of the wire-driven parallel robot was established. Finally, the influence of wire damping on the dynamic characteristics of the wire-driven parallel robot was analyzed. The results show that wire damping mainly affects the amplitude response of the wire-driven parallel robot. The larger the diameter of the wire is, the more obvious the effect of wire damping on the vibration reduction of the wire-driven parallel robot is. When the wire damping coefficient is greater than 0.6 N·s/m, the influence of wire damping on the dynamic characteristics of the wire-driven parallel robot cannot be neglected, regardless of the diameter of the wire.The research results can provide theoretical guidance for the design of the wire-driven parallel robot.

Time-varying formation control for UAV swarm with directed interaction topology and communication delay
HE Lyulong, ZHANG Jiaqiang, HOU Yueqi, LIANG Xiaolong, BAI Peng
2020, 46(2): 314-323. doi: 10.13700/j.bh.1001-5965.2019.0206
Abstract:

Time-varying formation control problems for unmanned aerial vehicles (UAV) swarm with directed interaction topology and communication delay are investigated. The UAV swarm is modeled as second-order discrete-time system on the formation control level and a distributed formation control protocol is designed by utilizing the instantaneous state information of UAV itself and the communication delayed state information of its neighbors. Through theoretical analysis, the necessary and sufficient conditions for UAV swarm to achieve time-varying formation are obtained, and an explicit description of the feasible time-varying formation set is given. Under the condition that the swarm communication topology has a spanning tree, the constraints of undetermined parameters and state update period in the control protocol are analyzed, and the flowchart of parameter design is given. Simulation results show that the designed control protocol can achieve time-varying formation control of UAV swarm even with relatively large communication delay, and thus the correctness and effectiveness of the theoretical analysis are verified.

Fault-tolerant design method for circuit system based on moment-independent importance
LU Zhendan, CHEN Yunxia, JIN Yi, HE Xiaobin
2020, 46(2): 324-330. doi: 10.13700/j.bh.1001-5965.2019.0233
Abstract:

Circuit failure is inevitable during operation and fault-tolerant design can significantly reduce the risk of failure. The traditional fault-tolerant method of circuit system is to analyze and improve the system mainly based on the designer's experience and cognition. However, it is usually difficult to determine accurately the important components that have significant impact on the system performance. Therefore, a fault-tolerant design method of circuit system based on importance analysis is proposed in this paper. Firstly, the definition and calculation method of moment-independent importance of circuit system are proposed to calculate and rank the moment-independent importance of components in the circuit system. Secondly, the quantitative relationship between redundancy coefficient and redundancy number is introduced, and the mapping rule of importance-redundancy coefficient is developed, based on which fault-tolerant design of circuit system can be optimized. Finally, a space power regulator is taken as an example to verify the effectiveness of the proposed method. The fault-tolerant design method of circuit system based on moment-independent importance presented in this paper is of great significance for improving the fault-tolerant ability of circuit system and improving the reliability of circuit system.

Information reconstruction algorithm of aero-engine sensors and actuators
SUN Hao, GUO Yingqing, ZHAO Wanli
2020, 46(2): 331-339. doi: 10.13700/j.bh.1001-5965.2019.0240
Abstract:

In order to realize the fault magnitude estimation and information reconstruction of aero-engine sensor and actuator in fault condition and to accommodate the influence of fault on engine performance, based on the fault detection and fault isolation algorithms, a reconstruction algorithm based on a modified generalized likelihood ratio (GLR) method is proposed. Aimed at the constant deviation fault and drift fault of sensors and actuators of a certain type of civil turbofan engine, a simulation experiment was implemented. The simulation results show that the modified GLR method has higher accuracy for fault magnitude estimation of sensors and actuators with constant deviation and drift fault. The root mean square error of the fault magnitude estimation does not exceed 0.005 in both fault types. And after the information reconstruction of fault component, the effect of the fault on the system performance is effectively accommodated.

Composite iterative learning control for electric dynamic loading system with control time delay
DAI Mingguang, QI Rong
2020, 46(2): 340-349. doi: 10.13700/j.bh.1001-5965.2019.0249
Abstract:

An electric dynamic loading system is designed for the load simulation of electro-mechanical actuator used in UAV front wheel steering control system, which can simulate the complex alternating load. In order to overcome the problem of control time delay and extraneous torque in electric dynamic loading system, a composite control strategy based on traditional PID control and iterative learning control is proposed. On the basis of introducing the composition of the electric dynamic loading system and establishing the mathematical model of the frequency domain of the loading system, this paper analyzes the generation mechanism of the excess torque in the system, puts forward the measurement method of the control delay time of the system, and designs the composite controller which combines the iterative learning control with the traditional PID. The convergence conditions of the iterative learning controller are given by theoretical analysis, and the effectiveness of the control strategy is verified by extraneous torque suppression and dynamic torque loading experiments respectively. Compared with the traditional feedback and feedforward compensation control strategy, this method can eliminate the influence of control time delay and extraneous torque on the loading system, and ensure the torque loading accuracy of the electric dynamic loading system.

Enhancement of implicit assembly strategy in overlapping grids
XUAN Chuanwei, HAN Jinglong
2020, 46(2): 350-358. doi: 10.13700/j.bh.1001-5965.2019.0260
Abstract:

As an important part of the overlapping grid technology, the implicit grid assembly has no explicit "hole-cutting" process, and it is only necessary to classify cells by comparing their qualities while searching for donor cells. By improving the traditional implicit assembly process, a more efficient implicit assembly strategy is developed to alleviate the effort of searching for donorcells. At the same time, a local donorcell search method based on Cartesian grid mapping is developed to improve grid assembly efficiency. First, for each sub-grid, the shortest distances to all other wall surfaces are calculated while calculating the shortest distance to its own wall surface.Then, the position of hole boundary is controlled by comparing the shortest distances of the same cell to different wall surfaces. Finally, only partial donorcell search is performed on interpolation cells, which avoids the process of global donor cell search for all cells. The accuracy and efficiency of the developed strategy are verified by three typical complex flow examples.

Similarity theory in icing wind tunnel test
TIAN Yongqiang, CAI Jinsheng, ZHANG Zhengke, YANG Leilei
2020, 46(2): 359-370. doi: 10.13700/j.bh.1001-5965.2019.0340
Abstract:

Similarity is the basic requirements of all kinds of wind tunnel tests including icing wind tunnel tests. To systematically study the similarity problem of icing wind tunnel test, the in-flight icing problem is analyzed and summed up, and then the variables involved are summarized, including both their physical meanings and dimensions. Then some dimensionless variables are obtained by applying the similarity theory analysis method to the in-flight icing problem and the physical meanings of the dimensionless variables are analyzed. Some simplifications to the dimensionless variables of the in-flight icing problem are conducted by ignoring the unimportant factors, and then the dominant similarity parameters of icing wind tunnel tests are obtained. Finally, the method of selecting the operating parameters of the icing wind tunnel test on scale models is achieved by applying the similarity laws, it is verified by CFD and its feasibility is confirmed.

Separation of midcourse multiple micro-motion targets based on DSFMT
CHEN Shuai, FENG Cunqian, ZHANG Rong
2020, 46(2): 371-378. doi: 10.13700/j.bh.1001-5965.2019.0128
Abstract:

The ballistic missile forms a target group in its mid-flight, and the narrowband radar cannot separate the ballistic target from the distance because of its narrow bandwidth. In order to enable narrowband radar to separate ballistic targets, the micro-motion characteristics of ballistic targets were studied. The narrowband radar signal echo of vibration target was modeled and its convergence characteristics in discrete sinusoidal frequency modulation transform (DSFMT) domain were analyzed. The convergence characteristics of multi-component signals in the transform domain were studied to separate different signal components and the vibration frequency of the target was estimated. The simulation results show that the narrowband radar echoes of multiple vibration ballistic targets have obvious convergence characteristics in the DSFMT domain under the signal to noise ratio of -10 dB, the proposed algorithm can distinguish different vibration scattering points, and the estimated vibration frequency root mean square error is less than -2.5 dB.

Influence of mechanical vibration on characteristics of plane tactile sensing
SONG Rui, SUN Xiaoying, LIU Guohong
2020, 46(2): 379-387. doi: 10.13700/j.bh.1001-5965.2019.0193
Abstract:

Tactile reproduction technology on touch screens enhances the sense of reality and richness of users' interaction experience. In the process of tactile reproduction, masking effect changes tactile perception characteristics (both absolute threshold and differential threshold), and influences the accuracy of tactile rendering model and the reality of tactile reproduction effect. Based on tactile reproduction device with mechanical vibration, squeeze film effect and electrostatic force, through "three-down-one-up" experimental method, we studied tactile feedback perception characteristics of squeeze film effect when the tactile feedback of five kinds of mechanical vibrations with different amplitudes were taken as masking stimulus. We also compared the results with those targeted by electrostatic force. The conclusions are drawn as follow:In terms of absolute threshold, when the mechanical vibration stimulation intensity increases from 0 V to 100 V, the absolute threshold of squeeze film effect increases 35.31%, from 34.30 V to 46.41 V, and the increase is 14.95% of the electrostatic absolute threshold growth. In terms of the differential thresholds, when the mechanical vibration stimulation intensity increases from 0 V to 100 V, the differential thresholds of squeeze film effect float within the range of (15.21±0.67) V, similar as the changing trend of electrostatic force tactile feedback.

Air combat threat assessment based on improved GRA-TOPSIS
XI Zhifei, XU An, KOU Yingxin, LI Zhanwu, YANG Aiwu
2020, 46(2): 388-397. doi: 10.13700/j.bh.1001-5965.2019.0207
Abstract:

In order to solve the problem that the coupling between indexes is not considered an the objective weighting method cannot reflect the true importance of indexes relative to evaluation objects from a logical perspective when calculating the weight of indexes in air combat threat assessment, a maximum entropy model based on grey relational degree and grey relational depth is proposed to determine the initial weight, and then the weight is modified according to the grey relational degree among indexes and the decoupling threshold. In order to overcome the shortcomings of grey relational analysis (GRA) and technique for order preference by similarity to solution (TOPSIS), a method of target threat assessment based on GRA-TOPSIS is proposed. First, the influence of mathematical model and fuzzy processing on the target threat assessment is analyzed through example. Second, the results of the target threat assessment using the GRA, TOPSIS, GRA-TOPSIS and mathematical models are compared and analyzed. Finally, different target threat assessment results are obtained by considering the subjective preference of different decision makers. Simulation proved the effectiveness and scientificity of the proposed method.

Two-stage variable threshold correlative and competitive degradation modeling
WANG Qianyuan, YUAN Hongjie, XU Ruyuan
2020, 46(2): 398-406. doi: 10.13700/j.bh.1001-5965.2019.0215
Abstract:

During the use of mechanical and electrical products, there are degradation failures and shock failures caused by the environment. It is often considered that self-degeneration and impact failure are independent of each other, or there is an incomplete phenomenon of the correlation, that is, the impact of the shock results in a sudden increase in self-degeneration. Considering that the impact will affect the degradation process, at the same time, the degradation will also affect the impact. When the amount of self-degradation reaches a certain value, it will not only affect the failure rate of impact failure, but also reduce the impact failure threshold of the product. As a result, the impact resistance of the product is reduced, and the impact failure process of the product shows a two-stage phenomenon. in the case of self-degeneration and shock failure, which is related and competitive, a reliability model for changing the failure rate and failure threshold has been established, which solves the problem of the incompleteness of the traditional competition model.

Burr characteristics of robotic rotary ultrasonic drilling aluminum alloy stacked components
HU Lichuang, ZHENG Kan, DONG Song, XUE Feng, SHU Jing, MIAO Didi
2020, 46(2): 407-413. doi: 10.13700/j.bh.1001-5965.2019.0221
Abstract:

It is easy to generate burr on the edge of holes when industrial robot drills the aluminum alloy stacked component. The assembly accuracy and efficiency of aircraft are severely affected. Aimed at the problem of robotic low stiffness, a model is developed to compute the burr height of holes produced by robotic rotary ultrasonic drilling. First, the impact of high frequency vibration on the burr height is invesgated by drilling experiments. Then, the empirical formula of drilling force in robotic rotary ultrasonic drilling aluminum alloy stacked component is obtained by analysing the experimental results. Furthermore, based on the classical thin plate bending theory and energy method, the influence mechanism of ultrasonic vibration and drilling position rigidity on the burr height of drilling is clarified. Finally, verification experiments are carried out and the results show that this method has high calculation accuracy and the relative error is within 13%.

Sensitivity analysis for aviation insecure event using Monte-Carlo method under uncertain conditions
CHEN Haoran, CUI Lijie, REN Bo, ZHANG Jiakui
2020, 46(2): 414-421. doi: 10.13700/j.bh.1001-5965.2019.0242
Abstract:

To solve the problem of sensitivity analysis of aviation insecure events under uncertain conditions, this paper proposes the aviation safety index and its sensitivity measurement based on the Bow-tie model. Taking the tire burst accident as an example, we calculate the aviation safety index, the global sensitivity for basic event and its local sensitivity for distribution parameters using Monte-Carlo method. According to the simulation results of the tire burst accident, both types of sensitivity indexes vary with the increasing flight hour, and the most significant change appears during 500-600 h, but with the same order of index importance. The type of basic events is the main factor affecting sensitivity, for the sensitivity of electronic events is far less than the mechanical events. In the uniform type of basic events, the mean time before failure is not the leading factor affecting the sensitivity, which has a close relationship with the failure transferring logic. The results of this example demonstrate that the safety index descends with the flight hour, and the focus for improving aviation safety is to pay attention to accident caused by aviation components failures in 500-600 h. The importance of sensitivity will not change with the flight hour, and the key of preventing aviation accident is to improve the degree of reliability for basic events with a higher sensitivity.

Design of LiDAR ranging system for short-distance dynamic range and error analysis
WANG Hao, LUO Pei, LI Xiaolu
2020, 46(2): 422-429. doi: 10.13700/j.bh.1001-5965.2019.0244
Abstract:

In this paper, a ranging system of LiDAR based on automatic gain control (AGC) circuit and constant fraction discriminator (CFD) circuit is designed for the problem that pulsed time of flight LiDAR ranging precision is limited by the walking error and time jitter error caused by dynamic range changes. It can adapt to measure the distance in short-distance dynamic range with better ranging precision. Through a series of experiments, within 10-100 m detection, the ranging precision is estimated to be on centimeter-scale. In the experiment of three-dimensional dynamic scanning, the planer fitting root mean square error of the target at 11.4-31.2 m achieves 2.05-4.35 cm indoors, and the planer fitting root mean square error of the target at 15.97 m achieves 3.54 cm outdoors.

Optimization for settings of sensor array in electromagnetic tomography
YUE Yuanli, LIU Ze, WU Jianli, MIAO Yu, LIU Xianglong, WANG Jiawei
2020, 46(2): 430-438. doi: 10.13700/j.bh.1001-5965.2019.0246
Abstract:

The settings of the sensor array in electromagnetic tomography (EMT) determine the number of induced voltages, which have an important influence on reconstructed image quality. To study the effect of the settings of coils on the quality of reconstructed images, the number and the position of the sensor array are discussed for optimization. In this paper, the models with different numbers of coils and different contributions are established by using COMSOL Multi-physics; the different algorithms are used to image reconstruction and the quality of the constructed images was compared by correlation coefficient. The simulation shows that the image quality improved by increasing the number of sensors, but when increased to a certain number, the image quality will become worse if the number of the coils continue to increase. In order to increase the measurement data instead of increasing the number of the sensor array, the sensor array is rotated. By comparing the image quality before and after rotation, the result shows that the quality of the reconstructed image is obviously improved after the combination. The simulation results can be a guide for the settings of the sensor array in the design of the EMT system in future work.

Hardware-in-the-loop simulation of fuel cell UAV power system
DAI Yueling, LIU Li, ZHANG Xiaohui
2020, 46(2): 439-446. doi: 10.13700/j.bh.1001-5965.2019.0250
Abstract:

Focusing on the flight test difficulty of fuel cell unmanned aerial vehicle (UAV) power system and aimed at improving the design and development level of power system, this paper designs and builds a hardware-in-the-loop (HIL) simulation platform of fuel cell UAV power system, on which the power system composed of fuel cell, lithium cell, DC/DC power converter, electronic governor and brushless motor is taken as the hardware, the mathematical models of UAV, autopilot, propeller and flight environment are taken as the software part, the throttle signal control of UAV and the load of motor in flight are taken as the simulation part, and the signal generator, dynamometer and torque loading device are taken as software and hardware interfaces. Facing the typical mission profiles and based on the state machine management strategy, the paper conducts a HIL simulation for power system of fuel cell/battery electric UAV, and analyzes the effectiveness and practicability of the HIL simulation platform and management strategy.

Deformation and end contact force of fiber-reinforced soft gripper
GU Sucheng, WANG Baoxing, LIU Juncheng, LI Wei, CAO Yi
2020, 46(2): 447-456. doi: 10.13700/j.bh.1001-5965.2019.0251
Abstract:

In order to solve the problem of lacking the research on the deformation and end contact force of soft robotics, a soft gripper is taken as the research object, and the research on the deformation and end contact force of fiber-reinforced soft gripper is carried out. Firstly, a soft pneumatic gripper is designed, which is composed of a unidirectional bending drive with a fiber-reinforced structure, an axially elongated contact airbag and a unitary connecting device. Secondly, a nonlinear mathematical model of curved center angle of a soft drive actuated by specific pressure is established, which is based on the Yeoh model. Based on the Neo-Hookean model, the theoretical model of the end contact force of the bending actuator is established. Then, a finite element simulation and experimental validation of the soft gripper are carried out to verify the correctness of the theoretical model. Finally, the study on the effect of fiber-reinforced structure on the deformation and end contact force of gripper is carried out. Experimental results show that fiber-reinforced structure can improve the deformation and end contact force of the soft gripper greatly. This research provides a theoretical basis for the research on the deformation and end contact force of other fiber-reinforced soft grippers.