2020 Vol. 46, No. 1

Display Method:
Volume 46 Issue12020
iconDownload (26576) 1175 iconPreview
Interannular flow characteristics of coaxial rotational conical cylinder
BAO Feng, LU Yuan, ZENG Hualun, TU Li
2020, 46(1): 1-12. doi: 10.13700/j.bh.1001-5965.2019.0170
Abstract:

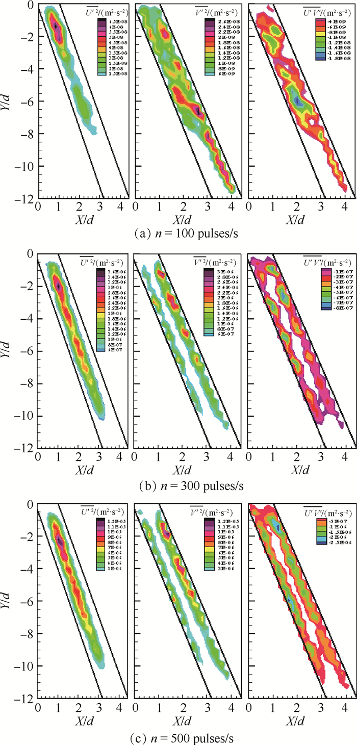
In order to solve the problem of complex flow between annulus of coaxial rotating conical cylinders, the flow characteristics of fluid between annular spaces were studied experimentally. Experimental studies were carried out for the complex flow characteristics of fluid between annulus of coaxial rotating conical cylinders. Emphasis was placed on staining fluid visualization experiment and PIV flow field measurements. The experimental results were analyzed qualitatively and quantitatively concerning the effects of rotating speed and annular width on interannular flow characteristics. Staining fluid visualization experiment and PIV flow field speed measurement experiment displayed the generation and variation of interannular spiral vortices qualitatively and quantitatively respectively. The period of motion of spiral vortex core under different inner cylinder speed and annulus width was analyzed. The results reveal that the period of motion decreases with the increase of inner cylinder speed, and the period of motion increases with the increase of annulus width. Instantaneous and time-averaged flow field were checked to analyze the mechanism of interannular spiral vortex motion and generation. The influence of inner cylinder speed and annulus width on three kinds of Reynolds stress and their distribution were studied. The radial normal Reynolds stress is always the largest when the inner cylinder speed is variable, and the Reynolds shear stress stays minimum when the annular width changes.

Control strategy of lunar orbit descent to achieve lunar landing
LI Gefei, LIU Yong, MA Chuanling, HAO Dagong
2020, 46(1): 13-19. doi: 10.13700/j.bh.1001-5965.2019.0168
Abstract:

Aiming at the problem of the probe's lunar landing, the control strategy of lunar orbit descent is studied. According to the control equations of the lunar orbit descent, the three kinds of relationship between the different combinations of the single-pulse control variables of the lunar orbit descent and the parameters of the lunar landing target are established. Three control strategies for lunar orbit descent, which are the fixed-point landing at the fixed time, the fixed-point landing and the landing at the target latitude area, are established. The algorithms and the procedures for solving the lunar orbit descent control strategies are presented. For the fixed-point lunar landing, the solutions of the single-pulse combined control of the semi-major axis and the lunar perigee height are analyzed. The control calculations of three kinds of lunar landings with the fixed-point at fixed time, the fixed-point, and the target latitude area are carried out respectively for the nominal orbit, the negative deviation orbit, and the positive deviation orbit, and the control strategies of the lunar orbit descent are verified. The strategies can be applied to the orbit control of the lunar landing mission, such as lunar landing, lunar sampling return, and manned lunar landing.

Study on Earth-to-Mars direct transfer trajectory by the Long March launch vehicle
GENG Guangyou, WANG Jue, HOU Xiyun, YU Menglun, WANG Jianming, ZHANG Zhiguo
2020, 46(1): 20-28. doi: 10.13700/j.bh.1001-5965.2019.0186
Abstract:

In order to solve the problem of searching for optimized launch period lasting 2-3 weeks for an engineering-oriented Earth-to-Mars transfer trajectory, with constraints from the launch azimuth scope and the longest coast time on parking orbit of the cryogenic final stage, adding coast constraint into models firstly, a forward-backward bi-directional differential correction scheme which is different from the B plane vector method is proposed. It also greatly reduces the required time to accurately design and match all the six orbital elements at the separation point with probe. The hyperbolic orbital elements at the injection point of launch vehicle are directly solved from the boundary velocity at the sphere of influence of the Earth. Meanwhile the flight arc of the ground track is given analytically as a function of the coast time. Initial launch trajectory satisfying the constraints are quickly found. The problem of launch trajectory optimization is solved when considering a small deep space maneuver of Mars probe. High-precision results are obtained using this bi-directional differential correction scheme in the high-precision mechanical model. The analysis shows that the accuracy is matched with the commercial software STK under the same condition. The transfer trajectory starting from liftoff to the nominal periapsis of Mars probe is optimized as a whole, which ensures that our first Mars exploration mission implements successfully.

Bifactor weight determination method based on direction and distance in geomagnetic data assimilation
LIU Xiaogang, XU Jinglin, GUAN Bin, MA Jian, DUAN Weichao
2020, 46(1): 29-37. doi: 10.13700/j.bh.1001-5965.2019.0108
Abstract:

In the geomagnetic data assimilation, we analyze the weight determination weakness of the direct average method, reverse distance weighting average method and latitude difference weighting average method which are widely used in the previous work. Considering the geomagnetic field strength has a close relationship with the changing of latitude, we propose a bifactor weight determination method based on the direction and distance. Concretely, it not only utilizes the distances among the geomagnetic observatories but also takes into account the changes from the latitude and longitude directions simultaneously, which assigns the different weights to the above three factors to improve the precision of geomagnetic data assimilation and obtain the more precise diurnal variation correction for the satellitic, airborne and seaborne geomagnetic measurement data. Furthermore, we use the geomagnetic observatory data supplied by Intermagnet website to validate the proposed method. The experimental results demonstrate that the proposed method is superior to the existing methods in the accuracy of calculation result. Thus, this paper proposes a novel and reliable weight determination method which has a potential application in the diurnal variation correction of geomagnetic measurement data in the regions where the ground survey is implemented difficultly.

Air disturbance affecting wing deflection deformation modeling for InSAR
ZHU Zhuangsheng, ZHANG Meng
2020, 46(1): 38-50. doi: 10.13700/j.bh.1001-5965.2019.0172
Abstract:

For the problem of multi-node InSAR wing deflection deformation error, a method based on mechanism modeling integrated parameter identification is proposed for the layered modeling of wing deflection deformation induced by air disturbance. First, this model takes atmospheric turbulence as the main air disturbance in the InSAR imaging working section, and based on Dryden model, it is analyzed that the working height and speed of the aircraft are the main factors affecting atmospheric turbulence. Therefore, the modeling of wing deformation affected by atmospheric turbulence is transformed to the layered modeling of wing deformation under different working conditions (height change, velocity change). Second, the wing deformation mechanism model is established based on the combination of the aerodynamic theory and the cantilever beam deformation theory. The parameters of the model are identified by the experimental data obtained from the simulation analysis of computational fluid dynamics and computational structural mechanics. Finally, the simulation experiments show that, calculated by both the proposed method and the mature modal superposition principle, the lateral displacement error is better than 0.6 mm (relative error 0.3%) and the axial displacement error is better than 0.015 mm (relative error 0.2%). In addition, based on the distributed fiber Bragg grating measurement system of wing structure built in the laboratory and the principle of modal superposition, the deformation is calculated to verify the proposed method, the lateral displacement error is better than 0.3 mm (relative error 1%) and the axial relative error is better than 0.06 mm (relative error 3%).

Design of spacecraft multi-channel near-field wireless energy transfer system
LIU Zhigang, ZHU Liying, ZHANG Xiaofeng, YANG Shichun, LIU Qingjun
2020, 46(1): 51-59. doi: 10.13700/j.bh.1001-5965.2019.0174
Abstract:

For the non-cable requirement in space rendezvous and docking, spacecraft power distribution, and on-orbit service and maintenance, the multi-channel near-field wireless energy transmission system is proposed. The multi-channel magnetic coupling near-field wireless energy transmission mathematical model is established, the important parameters that affect the transmission efficiency of the system are analyzed, and the simulation analysis of the influence of key parameters on system efficiency is carried out. Through the efficient coupling design of the coil, the efficiency of the near-field wireless energy transmission system is optimized. The multi-channel near-field wireless energy transmission system proposed in this paper solves the problem of wireless transmission of energy and realization of multi-load reception. Finally, an experimental study was carried out on a 1 000 W multi-channel near-field wireless energy transmission prototype. The experimental results show that the proposed multi-channel near-field wireless transmission device has high transmission efficiency and solves the multi-load problem of spacecraft wireless energy transmission.

Mechanism of spray in gasoline direct injection engine based on laser diagnostics
SHANG Yong, JIN Wei
2020, 46(1): 60-66. doi: 10.13700/j.bh.1001-5965.2019.0178
Abstract:

It is important to study the direct injection spray penetration and spray cone angle characteristics of gasoline for the occurrence and development of spray and combustion characteristics in gasoline direct injection engine. Based on the design and building of gasoline direct injection (GDI) system, the constant volume combustion bomb system and the optical testing system are established, and based on LSD measurement technique, the influence of injection pressure and back pressure on the spray characteristics of GDI engine is studied in this paper. The experiment shows that with the increase of injection pressure, the penetration at the same injection time gradually increases. With the increase of back pressure, the penetration at the same injection time decreases gradually. Under different injection pressure and back pressure, with the development of injection time, the penetration gradually increases, and the spray cone angle is between 38° and 50°.

Variable structure and dynamics properties of mixing rotor due to thermal expansion
PAN Jianzhi, WEI Dasheng, HU Weinan
2020, 46(1): 67-76. doi: 10.13700/j.bh.1001-5965.2019.0150
Abstract:

According to complex and changeable high-temperature environments of large rotating machinery, such as aero engines or steam turbines, the main rotor system of the unit has a variable structure due to thermal expansion under operating conditions, which could also affect the operation characteristics. First, considering high stiffness of turntable-drum mixing, compared with the rotating shaft, the structure is simplified and a single-thickness disk rotor dynamic model is established. Second, aimed at the variable structure characteristics of the system caused by thermal expansion, Hermite interpolation method and curve fitting method are used to depict the bending condition of rotating shaft when the thickness table is at any position, and then bending restoring force provided to disk and the bending restoration stiffness of the shaft are calculated by using numerical methods, basing on elastic potential energy stored in the bending.Finally, through numerical analysis of precession frequency, critical angular velocity and response amplitude of thick disk rotor system, it is verified that axial movement induced by thermal expansion is one of the main factors that affect the dynamics properties of thick disk rotor system.

Longitudinal stability analysis for X-37B like trans-atmospheric orbital test vehicle based on aerodynamic derivatives
ZHANG Qing, YE Zhengyin
2020, 46(1): 77-85. doi: 10.13700/j.bh.1001-5965.2019.0188
Abstract:

In order to quantitatively examine the dynamic characteristics in pitching direction of the tans-atmospheric orbiter under different flight conditions, on the basis of the Etkin aerodynamic model, the effects of Mach number, reduced frequency, oscillation amplitude, and average angle of attack on longitudinal dynamic performance of the orbiter were studied in detail. The results show that the average angle of attack and the Mach number determine the basic characteristics of the flow filed, so they have a great effect on the aerodynamic derivatives. The reduced frequency and oscillation amplitude determine the strength of the unsteady disturbance and that of the unsteady hysteresis effect, so they have a great effect on the unsteady aerodynamic forces. For X-37B like trans-atmospheric orbiter, with the increase of the average angle of attack, the effect of the vortical structure at the leeward side of the afterbody is larger and the longitudinal stability is increased. In the subsonic range, as the Mach number increases, the stability increases, and in the supersonic range, as the Mach number increases, the stability decreases. Although the amplitude has some effects on the flow field, it has no significant effect on the value of the aerodynamic derivative. The influence of oscillation frequency on dynamic characteristics is also not obvious. And we hope that these conclusions would provide some technical guidelines and reference for the future research and development of similar vehicle in China.

Hygrothermal property of domestic carbon fiber/bismaleimide resin composites for aeronautic application
XU Weiwei, WEN Youyi, GU Yizhuo, LI Bo, TU Jiayi, ZHANG Zuoguang
2020, 46(1): 86-94. doi: 10.13700/j.bh.1001-5965.2019.0155
Abstract:

For a kind of domestic T700-grade carbon fiber and four types of bismaleimide resin (QY9611, 5429, QY9512, QY8911-4) used in aeronautic field, three hydrothermal conditions, including 100℃ boiling water, 70℃ water immersion and 70℃/85% relative humidity, were adopted to treat these unidirectional composite laminates. Moisture absorption content, diffusion coefficient, microstructure, chemical groups, resistance to temperature and mechanical property were studied to evaluate hydrothermal property of composite. The results show that the moisture absorption of the four types of composites under the three conditions all follows Fick's second law. Moisture equilibrium content and diffusion coefficient are the largest under boiling water condition, while they are the least under the condition of 70℃/85% relative humidity. Obvious differences on the speeds of moisture absorption among the four bismaleimide composites have the relationship with material type and molding method. Hydrothermal treatment does not result in damage inside composite and chemical change, and the resulting plasticization effect results in decrease in glass transition temperature. The test results of 90° tensile properties of the composites show that the coupling of elevated temperature and moisture absorption causes more serious degradation in composite's mechanical property, and its failure mode transforms from matrix cracking to debonding and fracture at interface region.

Improved response surface method of reliability analysis based on efficient search method
HONG Linxiong, LI Huacong, PENG Kai, XIAO Hongliang, ZHANG Xu
2020, 46(1): 95-102. doi: 10.13700/j.bh.1001-5965.2019.0169
Abstract:

Aimed at the problems of large amount of calculation and low iteration efficiency of response surface method which is widely used in structural reliability calculation, an improved response surface method based on hybrid weighting of sample points and variable-direction search of reliability index is proposed. Firstly, based on the weight selection strategy of the traditional response surface function, a hybrid weighting method considering not only the distance between the sample point and the design point but also the limit-state-function value of the sample point is constructed. Secondly, due to the inefficiency problem of the traditional first-order second-moment method in each iteration of response surface, an effective search of design points based on the variable-direction search algorithm in each iteration process of response surface is realized. The numerical examples show that the method has good convergence and greatly reduces the number of iterations under certain calculation accuracy. And the maximum failure point and reliability index can be obtained accurately.

Integrated design scheme for fault sample size determination and allocation
WANG Kang, SHI Xianjun, HAN Xu, LONG Yufeng
2020, 46(1): 103-114. doi: 10.13700/j.bh.1001-5965.2019.0184
Abstract:

For the current testability verification field, the relationship between the fault sample size determination and the sample allocation is not taken into consideration, and the existing sample allocation schemes have no uniform framework for the selection of the impact factor, which lead to the problem that the determined sample size and sample allocation are unreasonable, so an integrated design scheme for fault sample size determination and allocation is proposed. Firstly, the prior information of each node's testability indicators was integrated to obtain the fusion distribution of top-level testability indicators, which could be used to establish a fault sample size determination process based on the hierarchical Bayes network model. Secondly, the structural importance was introduced as the sample allocation influence factor. At the same time, the failure modes, effect and criticality analysis (FMECA) information was used to determine the sample allocation influence factor of the nodes and the failure modes. Then the secondary allocation framework based on the nodes and failure modes was proposed to implement the sample allocation. Finally, a comparative analysis was carried out through actual cases. The results show that, compared with other sample allocation schemes, the proposed scheme can fully consider the system structure and its prior information, and realize the integrated design for fault sample size determination and allocation, which ensures the reasonable sample size and allocation with better engineering applicability.

LiDAR K-means clustering algorithm based on threshold
XIA Xianzhao, ZHU Shixian, ZHOU Yiyao, YE Mao, ZHAO Yiqiang
2020, 46(1): 115-121. doi: 10.13700/j.bh.1001-5965.2019.0113
Abstract:

For this question of low clustering accuracy problem in LiDAR full-waveform echo data with different targets at the same distance, a threshold-based K-means clustering algorithm was proposed based on the analysis of K-means clustering algorithm. Firstly, The distance information was calibrated using the intensity information, and the intensity information was used as a feature to distinguish different targets at the same distance by clustering. Secondly, the threshold was used to define the minimum distance between clustering centers to improve the clustering accuracy. Finally, the scanning verification platform was built for translation and rotation imaging to verify the effectiveness of the algorithm. The clustering experiments of different color targets and simulated road echo data show that the clustering accuracy rate of threshold-based K-means clustering algorithm is above 90% under different thresholds, and increases more than 10% compared with the threshold-free K-means clustering algorithm, which can effectively perform target clustering and simulation road extraction.

Negative ambiguity function characteristics simulation of FDA
WANG Bo, XIE Junwei, ZHANG Jing, SUN Bosen
2020, 46(1): 122-132. doi: 10.13700/j.bh.1001-5965.2019.0133
Abstract:

Considering that the existing extensive research on frequency diverse array (FDA) is mainly working on the assumption that single-carrier frequency signals are transmitted under narrow-band conditions. And there is a lack of relevant research on the issue whether linear frequency modulation signals are suitable for FDAs. Considering that ambiguity function based optimization is an important means of radar's waveform design, based on the establishment of FDA data model, this paper establishes FDA negative ambiguity function under linear array transmission and single-antenna reception model and analyzes its main characteristics systematically. On this basis, the characteristics of FDA negative ambiguity function based on rectangular pulse, linear frequency modulation (LFM) signal and different nonlinear frequency offset are simulated and compared. The performance of target range-angle two-dimensional joint estimation of FDA using different nonlinear frequency control functions is compared. The simulation results verify that the FDA ambiguity function is correct, and the performance of FDA with sinusoidal frequency offset is the best. This lays an important foundation for the complex signal FDA waveform design based on ambiguity function and the transmission waveform design based on FDA beampatten decoupling technology.

Outlier detection of ionospheric anomaly data in China
LIU Yutong, LI Rui, BAO Junjie, LIU Yaxi
2020, 46(1): 133-140. doi: 10.13700/j.bh.1001-5965.2019.0152
Abstract:

To solve the problem that continuously operating reference stations' receiver's outliers in China will interfere with ionospheric anomaly event extraction of satellite-based augmentation system (SBAS), an outlier detection method based on the ionospheric vertical delay time gradient is proposed. First, ionospheric delay data extraction method was introduced. Then, the ionospheric vertical delay time gradient outlier was detected based on the different spatio-temporal correlation characteristics of outlier and ionospheric anomaly. The correctness of outlier detection was verified by single-frequency and dual-frequency positioning error results. Finally, the detection results were analyzed. The results show that the method can effectively distinguish between outliers and ionospheric anomalies; among more than 200 reference stations of crustal movement observation network of China, the number of reference stations rejected by the outlier detection is about 3 to 10, and the effect on the spatial distribution of the ionospheric penetration points is within an acceptable range.

Modeling of GNSS-R signal under effects of swell and rain
WU Di, ZHANG Bo, LI Bowen
2020, 46(1): 141-149. doi: 10.13700/j.bh.1001-5965.2019.0125
Abstract:

The simulation of global navigation satellite system (GNSS) signal reflected from the ocean surface mostly uses wind-driven wave spectrum, which ignores the effect of swell and rain in real complex environment. For this reason, a model of GNSS signal reflected from the ocean surface under the effect of swell and rain is proposed. First, Elfouhaily spectrum, swell spectrum and rain spectrum are simulated respectively. The effects of swell and rain on GNSS-R signal are analyzed form the perspective of wave spectrum. Then, the method of modeling the GNSS-R signal after introducing the factors of swell and rain is designed. The noise model is established. Finally, the delay-Doppler maps(DDM) and dely waveform(DW) simulated in the spaceborne scenario are analyzed and compared with the results of the UK TDS-1 measured data. The validation results show that the swell mainly forms the large-scale rough sea surface which has great influence on the GNSS-R signal, while the rain has little influence on the GNSS-R signal. The simulated DDM has good consistency with the measured data, and the correlation coefficient between simulated DW and measured data is 0.92, which is better than the comparison result of the uncorrected model. The simulated reflected signal is more real, which proves the feasibility and effectiveness of the proposed GNSS-R signal modeling method. It has certain reference significance and practical value for the modeling of GNSS-R signal in real complex environment and the application of GNSS-R spaceborne detection.

MSCSG attitude measurement method based on inverse system decoupling
YU Chunmiao, WANG Zhou, REN Yuan, WANG Weijie, FAN Yahong
2020, 46(1): 150-158. doi: 10.13700/j.bh.1001-5965.2019.0132
Abstract:

Magnetically suspended control and sense gyroscope (MSCSG) is a new type of gyroscope which combines attitude control and attitude measurement functions and uses Lorentz force magnetic bearings (LFMBs) to drive the rotor to tilt. To solve the problem of coupling between two measuring axes of MSCSG, a measurement method based on inverse system decoupling is presented. First, the basic structure of MSCSG composition was analyzed. Then, the LFMB-rotor system dynamics model was established based on the basic structure of MSCSG composition. The principle of MSCSG for two-degree-of-freedom attitude measurement was deduced and the coupling between two measuring axes of MSCSG was analyzed. The inverse system is used to decouple two measuring axes of MSCSG. Finally, the effectiveness of the proposed method is verified by simulation. The simulation results show that the coupling effect between the two measuring axes of MSCSG is restrained well and the measurement accuracy is improved.

Optimal maneuver penetration strategy based on power series solution of miss distance
WANG Yafan, ZHOU Tao, CHEN Wanchun, HE Tailong
2020, 46(1): 159-169. doi: 10.13700/j.bh.1001-5965.2019.0135
Abstract:

Aimed at the proportional guidance missile, the state space model of high-order guidance system was established, and the optimal maneuver penetration strategy and influencing factors were studied based on power series solution of miss distance. First, when the missile guidance system was linear first-order and high-order, the simulations of optimal target maneuver penetration were carried out. The results show that the accuracy of the missile guidance model has an impact on the penetration effect, and the high order has larger miss distance and is more realistic. Then, the results were compared with step maneuver and weaving maneuver, the optimal maneuver penetration effect is the best. Furthermore, a two-dimensional nonlinear missile-target engagement model was established, and the simulation shows that the miss distance curve of optimal maneuver is highly identical with the linear system, and the linear system is selected appropriately. Finally, the impacts of effective navigation ratio and time-to-go estimation error on the optimal maneuver penetration effect were studied. The effective navigation ratio estimation error has little effect on the optimal maneuver penetration effect, the time-to-go estimation error makes the target optimal maneuver penetration performance decline greatly, and in some cases it is even worse than the weaving maneuver penetration effect.

Integrated planning method and optimization for off-chip time-triggered communication
WANG Jingjing, LI Qiao, XIONG Huagang, LI Ershuai
2020, 46(1): 170-180. doi: 10.13700/j.bh.1001-5965.2019.0136
Abstract:

As the processing capacity of system-on-chip (SoC) is getting close to the traditional integrated core processing module, the avionics system is developing towards the miniature, integrated off-chip system. Time-triggered switched interconnection can guarantee the strictly time deterministic property of off-chip message transmission. Considering the off-chip interconnection characteristics of lightweight switch structure and limited port number on a chip, an integrated planning method for off-chip time-triggered communication was proposed under the condition of interaction among topology planning, routing and scheduling. Given time-triggered message sets and port configuration, the off-chip interconnection network topology, message routing and scheduling table were obtained at the same time. Then the message allocation order is optimized using immune algorithm to further improve the performance of the algorithm. The simulation results show that, compared with the integrated planning method without consideration of overall optimization, the optimized method reduced the congestion on message transmission paths, reduced the message end-to-end delay and increased the schedulability of message sets while generating the off-chip interconnection topology with low costs.

Knowledge discovery of telemetry data cross-correlation structure based on ensemble learning
SHI Mengxin, ZHI Jia, GAO Xiang, YANG Jiasen
2020, 46(1): 181-188. doi: 10.13700/j.bh.1001-5965.2019.0137
Abstract:

Aimed at the problem that traditional telemetry data correlation analysis methods can only discover relevant degree knowledge and cannot provide relevant structural information, an extreme gradient boosting (XGBoost) and neural network ensemble learning method is proposed to discover the cross-correlation structural knowledge of telemetry data. Based on the dimension related structural information annotated by linearity, monotony, order pair consistency and scatter diagram shape, an algorithm combining hybrid sampling, cost sensitive matrix, neural network and XGBoost is developed to directly measure the telemetry data. The data is classified to obtain knowledge of relevant structural categories or related relationships. The results of experiments using quantum satellite mission data indicate that compared with the original XGBoost model, and the fusion-mixed sampling and cost-sensitive XGBoost model, the XGBoost model with neural network ensemble has higher classification accuracy on the performance indicators such as receiver operating characteristic (ROC) curve and F1-score. The proposed method is not sensitive to categorially imbalanced data, making it an effective method for the discovery of cross-correlation structural knowledge of telemetry data.

Super-resolution reconstruction algorithm based on deep learning mechanism and wavelet fusion
YANG Sichen, WANG Huafeng, WANG Yuehai, LI Jintao, WANG Yunhao
2020, 46(1): 189-197. doi: 10.13700/j.bh.1001-5965.2019.0146
Abstract:

Deep learning technology has developed rapidly in the field of super-resolution reconstruction. In order to further improve the quality and visual effect of reconstructed images, this paper proposes a super-resolution reconstruction based on wavelet transform and generative adversarial networks (GAN) for the unnatural problem of texture reconstruction based on the super-resolution reconstruction algorithm of GAN. In this paper, each component of the wavelet decomposition in the GAN is trained in separate subnets to realize the prediction of wavelet coefficients by the network. Effectively reconstruct high-resolution images with rich global information and local texture details. The experimental results show that the peak signal-to-noise ratio (PSNR) and structural similarity of the objective evaluation index of the reconstructed image can be improved by at least 0.99 dB and 0.031, respectively, based on the algorithm of GAN.

Mechanism of voltage spike production during switching transients and its suppression methods in Boost converter
YU Zhaolong, GE Hongjuan, LI Shang, YANG Fan
2020, 46(1): 198-209. doi: 10.13700/j.bh.1001-5965.2019.0154
Abstract:

Boost converter is often used as the pre-stage circuit in double-stage inverter. Because of the existence of parasitic parameters in the circuit, the output voltage will be superimposed with transient spikes, which reduces the waveform quality and even affects the operation of inverter. In order to suppress the voltage spikes, the switching transient of Boost converter is studied. Aimed at the switching characteristics of transient circuit and the operation status of switching devices, an analytical model of commutation unit based on metal-oxide-semiconductor field-effect transistor (MOSFET) and Schottky barrier diode (SBD) is established, and the influence of parasitic parameters on the current characteristics during switching transient, as well as the mechanism of causing voltage spikes, is analyzed. The relationships between the parasitic parameters and the output voltage spikes are analyzed and compared by simulation, and two methods are proposed to suppress the output voltage spikes, which are "slowing down the switching speed" and "reducing the output terminal parasitic inductance". The validity of these two methods to reduce voltage spikes and improve output voltage performance of Boost converters has been verified by simulation and experiments.

Optimization of pressing force considering instantaneous springback in skin-side pressed drilling
WANG Wei, WANG Min, CHEN Wenliang, XU Qinghe, HUANG Wen, JIANG Hongyu
2020, 46(1): 210-219. doi: 10.13700/j.bh.1001-5965.2019.0156
Abstract:

The automatic drilling for the docking of large parts of aircraft adopts the skin-side pressed drilling technology, and the instantaneous springback of the lamination material in the common automatic drilling system has serious influence on the drilling equipment and hole quality. The optimization analysis of the pressing force of the skin-side pressed drilling was carried out for this problem. The finite element simulation analysis method was used for the simulation of hole making process. According to the springback phenomenon in different environments, the optimal analysis scheme of pressing force was determined. Considering the influence of contact gap, instantaneous springback and drilling rigidity, multi-objective optimization analysis was carried out to obtain the optimal pressing force process parameters. The calculation results show that, in the automatic drilling of the docking area between the common frames of the aircraft, the optimal solution of the pressing force is 314.54 N when using twist drill with an axial force of 150 N, and 362.73 N when using automated integrated drill with an axial force of 100 N. Through on-site test, it was verified that the pressing force optimization analysis results meet the production requirements, and the actual optimal pressing force is less than 20 N lower than the pressing force optimization analysis results. Therefore, the different processing environments and other factors were considered to construct a reasonable range of process parameters.

Optimized two-dimensional FFT signal processing algorithm for millimeter-wave FM fuze
GUO Chenxi, HAO Xinhong, LI Ping, LI Guolin, JIA Ruili
2020, 46(1): 220-228. doi: 10.13700/j.bh.1001-5965.2019.0185
Abstract:

In this paper, a two-dimensional fast Fourier transform(FFT) signal processing algorithm based on relative distance evaluation function optimization is proposed for the joint estimation of target range and velocity information of millimeter-wave frequency modulated fuze. The relationship between the accuracy of the actual ranging and velocity measurement and the number of FFT points is analyzed first. Then an optimization mathematical model is established. The mathematical model is solved by utilizing relative distance evaluation function. After obtaining the optimal solution of the number of FFT points, the beat frequency signal is sampled into two-dimensional data matrix. The corresponding FFT transformation on the rows and columns of the matrix is performed respectively. Finally, the target range and velocity information is estimated by extracting the coordinates of the peak points. The simulation and discussion analysis demonstrate that the proposed algorithm can effectively improve the accuracy of the actual ranging and velocity measurement of the traditional two-dimensional FFT algorithm and meet the real-time requirements. The algorithm can extract the target range and velocity information of millimeter-wave frequency modulated fuze simultaneously.

Mechanism and experiment on high-efficiency chip removal in ultrasonic vibration core drilling of CFRP
LI Zhe, WANG Xin, ZHANG Yi, HOU Bo, ZHANG Deyuan
2020, 46(1): 229-240. doi: 10.13700/j.bh.1001-5965.2018.0620
Abstract:

To solve the problems of poor chip removal effects like the chip adhesion and rod jamming of core drill tool that would have a significantly negative influence on machining efficiency and machining quality during common core drilling (CCD) process of carbon fiber reinforced plastics (CFRP) using a core drill, the novel ultrasonic vibration core drilling (UVCD) technology was employed so as to carry out the basic theory and experiment study of high-efficiency core drilling CFRP. The core drilling principle and high-efficiency chip removal mechanism of UVCD were analyzed by theoretical method, meanwhile the machining effects of high-efficiency chip removal in UVCD of CFRP was verified by experimental method with a designed ultrasonic vibration air drill and lathe platform. The results indicate that compared with the CCD of CFRP, in the UVCD process, the chip removal effects of chip and rod are greatly improved, the problems of chip adhesion and rod jamming of core drill tool are effectively prevented, the thrust force, cutting temperature and hole surface roughness decrease by 12%-20%, 16%-24% and 33%-39% respectively, the machining quality of CFRP hole is obviously improved, and the tool life of core drill will be evidently prolonged.