2019 Vol. 45, No. 6

Display Method:
Volume 45 Issue62019
iconDownload (21042) 998 iconPreview
Adaptive nonsingular fast terminal sliding mode guidance law with fixed-time convergence
ZHAO Guorong, LI Xiaobao, LIU Shuai, HAN Xu
2019, 45(6): 1059-1070. doi: 10.13700/j.bh.1001-5965.2018.0621
Abstract:

To deal with the terminal guidance problem of missiles for intercepting maneuvering targets, a nonsingular fixed-time convergent fast terminal sliding mode guidance law is developed with impact angle constraints. Compared with finite-time convergent terminal sliding mode guidance laws, the proposed guidance law ensures that the line of sight (LOS) angle and the LOS angular rate are fixed-time convergent. The convergence time is independent of the initial states of the guidance system and can be set in advance by the guidance law's parameters. Compared with conventional fixed-time convergent control, a novel nonsingular terminal sliding mode is designed to solve the singularity problem and the faster convergence rate is guaranteed by regulating the index of the approaching laws of the sliding surface and the LOS angle error. Besides, an adaptive law for unknown upper bound estimation of the target acceleration is presented and a priori information on the target acceleration is not required to be known. Finally, simulation results show that the missile can intercept the maneuvering targets effectively with the proposed guidance law. Besides, comparison with the existing guidance laws indicates that the faster convergence rate of the guidance system, the shorter intercept time and the higher intercept accuracy are achieved by the proposed guidance law.

Classification of key influence factors for failure of turbo supercharged piston aeroengine
BAO Mengyao, DING Shuiting, LI Guo
2019, 45(6): 1071-1080. doi: 10.13700/j.bh.1001-5965.2018.0597
Abstract:

Using turbocharging technology dramatically increases the complexity of piston engine systems and the safety issues associated with turbocharger are becoming urgent. A typical two-stage turbo supercharged piston engine is considered and the judgment method for failure of incentives is focused in this study. Based on the built whole engine system model, a modified correspondence analysis method is proposed, which implements the classification of factors on the failure modes. The results show that the key influence factors and potential causes of coupling failure for turbo supercharged piston engine in actual motion can be judged through changed column contour coordinates in proposed classification method. The test presents that the diameter of exhaust valve is the dominant factors for safety margin boundary and needs to be controlled primarily.

UKF estimation method incorporating Gaussian process regression
YE Wen, CAI Chenguang, YANG Ping, LI Jianli
2019, 45(6): 1081-1087. doi: 10.13700/j.bh.1001-5965.2018.0591
Abstract:

The high-precision filter estimation is a key technology in the SINS/GNSS integrated navigation system, and its estimation accuracy has direct influence on the accuracy of navigation. The traditional filter estimation method is based on inertial navigation error model, and does not take its uncertainty into account. Aimed at the problem, a high-precision filter estimation method is presented, which uses Gaussian process regression (GPR) to enhance the capabilities of prediction and estimation for parametric unscented Kalman filter (UKF). On one hand, it can estimate the state vector of the nonlinear parametric UKF on condition that trained data is limited; on the other hand, GPR can also take both the noise and the uncertainty in the nonlinear parametric UKF into consideration. The real vehicle-mounted experiment results show that the proposed method can effectively enhance filter estimation precision through applying the enhanced GPR-UKF into the SINS/GNSS integrated navigation system.

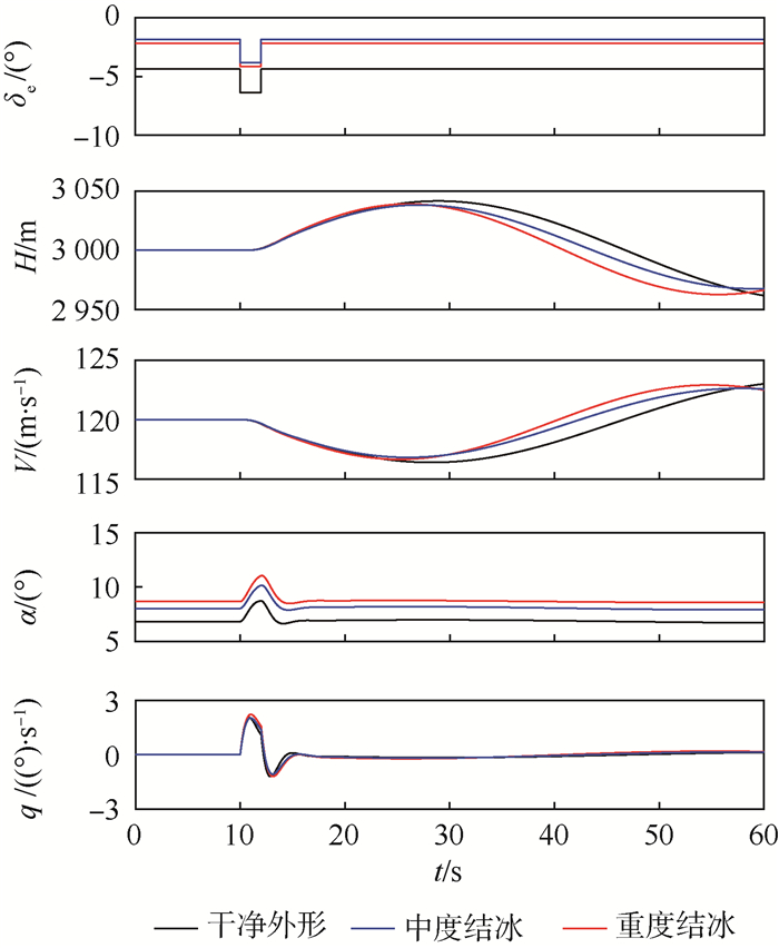
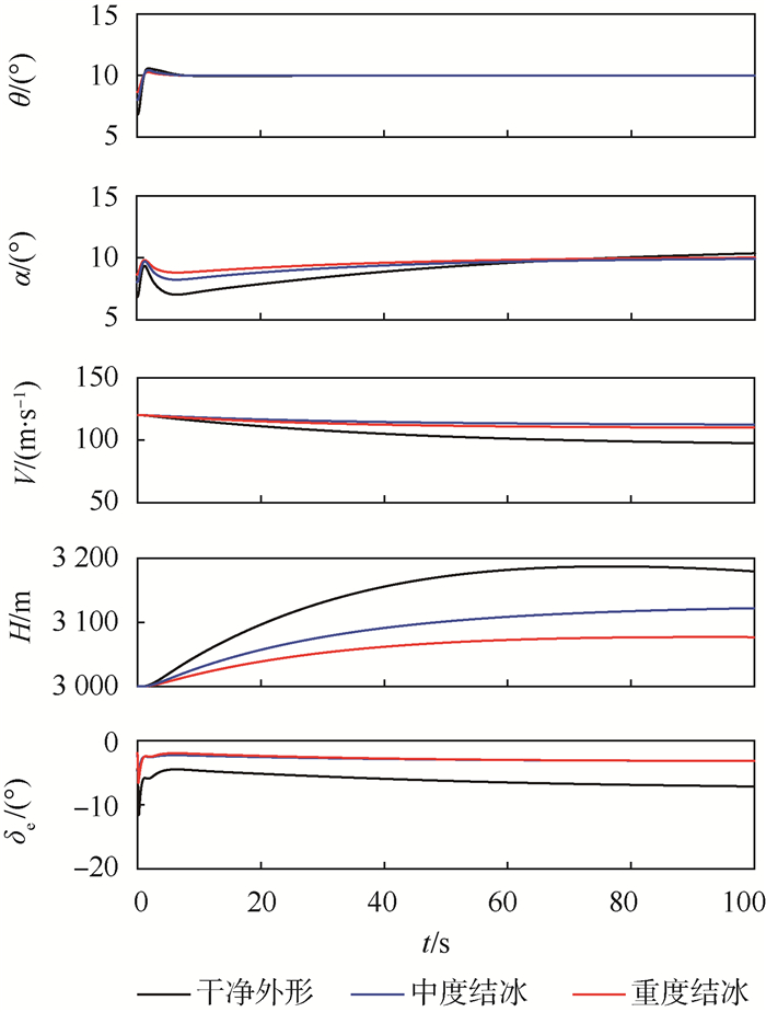
Influence of ice accretion on leading edge of wings on stability and controllability of large aircraft
WEI Yang, XU Haojun, XUE Yuan, LI Zhe, ZHANG Jiuxing
2019, 45(6): 1088-1095. doi: 10.13700/j.bh.1001-5965.2018.0589
Abstract:

Ice accretion on the wings can affect the operational characteristics and flight performance of the aircraft, posing a hazard to flight safety. Based on the experimental data, the typical ice shapes with different icing severity on the leading edge of wings are constructed. The high-precision numerical simulation method is used to obtain the aerodynamic data of the background aircraft due to ice accretion, and the aircraft six-degree-of-freedom nonlinear dynamics model is established. On this basis, an autopilot closed-loop simulation system with three modes, namely, pitch attitude hold mode, roll attitude hold mode and altitude hold mode, is designed. Through the open-loop simulation, the different severity of ice accretion effects on aircraft trimming characteristics, longitudinal long and short period modal and lateral modal are analyzed, and the differences of aircraft dynamic response under different severity of ice accretion are compared. By using the closed-loop simulation, the influence of ice accretion on the autopilot performance under three modes is studied. The simulation results show that the ice accretion has an adverse effect on the stability and controllability of aircraft, including trimming characteristics, modal characteristics and open-loop dynamic response characteristics of aircraft, and threatens the flight safety.

Influence of circumferential positioning error of an hourglass worm wheel hob on land width
RUI Chengjie, LI Haitao, YANG Jie, LONG Xinjiani, TAI Jianjian, DING Ning
2019, 45(6): 1096-1105. doi: 10.13700/j.bh.1001-5965.2018.0607
Abstract:

Land surfaces of an hourglass worm wheel hob needs to be controlled within a range to ensure the strength and sharpness of cutting edges. Circumference positioning errors lead to the changes of the land width. In order to grind out the required land surfaces, this paper studies the influence of the circumferential positioning errors on the land width. A mathematical model for solving the land width with the circumferential positioning error is established. The variation of the land width along the axial direction and the tooth height direction of the hob is studied. Effects of the circumferential positioning errors on the land width are simulated based on a four-axis linkage virtual hourglass worm grinding machine in VERICUT. The results show that the circumferential positioning errors have the greatest influence on the land width of the side teeth of the hob. There is a strong correlation between the land width and the errors, showing a linear relationship. In an example, the allowable range of the circumferential positioning error is between -0.122° and 0.054° when the land width e=1.0 mm varies in the range of ±10%.

Commercial aircraft engine post-repairing performance prediction based on fusion of multisource data
TAN Zhixue, ZHONG Shisheng, LIN Lin
2019, 45(6): 1106-1113. doi: 10.13700/j.bh.1001-5965.2018.0557
Abstract:

To solve the problem of multisource heterogeneous data fusion in commercial aircraft engine post-repairing exhaust gas temperature margin prediction, a combined method of convolutional auto-encoder and extreme gradient boost model was proposed. This method uses the proposed cross entropy increasing factor to regularize the parameter order in the multi-dimensional engine sensor parameter series observed before repairing, and then uses convolutional auto-encoder to extract features from the regularized parameter series and engine workscope data. With the combined feature composed of the extracted features and the features representing engine using time, extreme gradient boost model is trained in order to predict engine post-repairing performance and estimate the importance of influential factors. The experiment performed on the prediction of the post-repairing performance of an engine fleet proved that the proposed method achieves higher prediction precision than prediction methods supported by one-dimentional parameter series and can predict engine post-repairing exhaust gas temperature margin with an average relative error no higher than 8.3%.

Precision of crack moment-tensor inversion in porous media using finite element method
KONG Yue, LI Min, CHEN Weimin
2019, 45(6): 1114-1121. doi: 10.13700/j.bh.1001-5965.2018.0560
Abstract:

The monitoring method for the dynamic growth of cracks, which is based on the moment-tensor theory, utilizes the acoustic-emission signal of crack opening to obtain the information of cracks. The pore in media has an effect on the accuracy of monitoring results. The two-dimensional plane strain finite element method (FEM) was applied to build the numerical model with pore involved. The inversion results for specific cracks in media with different poriness were provided and the mechanism was analyzed. The numerical results show that the double-couple component is more sensitive to poriness than the other two components. For pure shear cracks, the proportion of double-couple component decreases with the increase of the poriness. For isotropic and pure tensile cracks, the proportion of double-couple component increases with the increase of the poriness. The reason is the wave scattering of pore changes the spatial distribution of elastic-wave amplitude and the effect contains the two aspects. The energy transfer results in the fact that the wave amplitudes of different directions become closer to each other. Meanwhile, the difference of pore distribution increases the difference between the wave amplitudes of different directions. The effect of pore on inversion results varies for different cracks, because the weight of the two aspects is different.

Equivalent thermal analysis and optimization method for three-dimensional lattice structure
DENG Haoyu, WANG Chunjie
2019, 45(6): 1122-1128. doi: 10.13700/j.bh.1001-5965.2018.0561
Abstract:

In order to achieve efficient and accurate thermal conduction analysis of three-dimensional lattice, based on the principle of thermodynamics, the equivalent heat conduction formula of lattice structure is deduced, and the modeling method of the equivalent heat conduction analysis model is proposed.The equivalent finite element model of lattice structure is established by using equivalent modeling method.Then the efficiency and accuracy of the heat conduction analysis of the equivalent model are proved by comparing with the results of the non-equivalent finite element model. Aimed at the optimization design of lattice structure under the requirement of function and performance, the lattice structure optimization method is given and the optimization mathematical model is established based on the proposed equivalent analysis method. The mixed integer sequential quadratic programming (MISQP) algorithm is used for iterative computation and the optimal design scheme is obtained, which makes the lattice structure meet the thermal performance constraints and mass has been reduced.

Analysis and optimization on compound PWM control strategy of high-speed on/off valve
GAO Qiang, ZHU Yuchuan, LUO Zhang, CHEN Xiaoming
2019, 45(6): 1129-1136. doi: 10.13700/j.bh.1001-5965.2018.0565
Abstract:

Aimed at slow response and high-power consumption of high-speed on/off valve (HSV) controlled by single PWM signal, a compound PWM control strategy proposed from the point of view of the digital signal generation mechanism, which consists of reference PWM, excitation PWM, high-frequency PWM and reverse PWM. First, mechanism and working principle of compound PWM control strategy are given. Next, the influence rules of duty cycle of excitation PWM, high-frequency PWM and reverse PWM signals on performance of HSV are studied by simulation under different boundary conditions. Finally, the closed-loop controllers of these PWM's duty cycle are designed based on state variable feedback. Simulation results show that the proposed compound PWM controller can reduce power consumption and closing time of HSV effectively. The coil current is reduced by 80% at maximum position of the ball valve, and closing time of HSV is shortened by 62.5% approximately, compared with single PWM control strategy.

Single-event-transient pulse width characteristics of 130 nm bulk silicon inverter chain
LI Sai, CHEN Rui, HAN Jianwei
2019, 45(6): 1137-1144. doi: 10.13700/j.bh.1001-5965.2018.0568
Abstract:

Experimental research of single-event-transient (SET) is carried out by means of pulse laser and heavy ion irradiation on the inverter chain fabricated by 130 nm bulk silicon process. The impacts of laser energy, heavy ion linear energy transfer (LET), and PMOS gate length on the characteristics of SET pulse width were analyzed. Experimental results of heavy ion and laser are similar, and both results show that the pulse width of SET increases with laser energy/LET raise, and the distribution of SET pulse width has double (or multiple) peaks, but the number of SET generated in the circuit increases first and then decreases. In addition, the experimental results show that, under different laser energy/LET, the size of PMOS gate length affects the characteristics of SET differently. At low laser energy/LET, the circuit with larger PMOS gate length produces a wider SET pulse, and on the contrary, at high laser energy/LET, the circuit with smaller PMOS gate length produces a wider SET pulse. Through the analysis of the experimental results, it is found that the parasitic bipolar amplification effect may be the main cause of the difference of SET characteristics with high energy/LET irradiation.

2UPR-RRU parallel mechanism and its kinematic analysis
CHEN Miao, ZHANG Qing, GE Yunfei, QIN Xianrong, SUN Yuantao
2019, 45(6): 1145-1152. doi: 10.13700/j.bh.1001-5965.2018.0575
Abstract:

To actualize the requirement of friction stir welding for light metal materials in aerospace manufacturing, this paper proposed a novel 2UPR-RRU parallel mechanism with IT2R 3-DOF as the manipulator of the welding equipment. Based on screw theory, the mechanism of one translational and two rotational full-cycle DOFs was found on general position and special position. Kinematic model of 2UPR-RRU parallel mechanism was constructed. Then the relationship between platform's positions and driving joints was analyzed by closed loop vector method and forward/inverse kinematics solutions were deduced. The optimal objective function was established in the process of forward kinematics, particle swarm optimization (PSO) algorithm was used to analyze the relationship between platform outputs and driving joints inputs, and finally the exact solution was found. Based on the input/output velocity Jacobi matrix, the motion singularity of 2UPR-RRU was analyzed, and especially the conditions to avoid driving singularity were discussed in detail. The research shows that 2UPR-RRU parallel mechanism, which is an important full-cycle DOF mechanism, possesses excellent kinetic characteristics, driving characteristics and high potential application.

Degradation system reliability analysis of EWIS based on UGF-GO methodology
CAO Hui, DUAN Fuhai, JIANG Xiuhong
2019, 45(6): 1153-1161. doi: 10.13700/j.bh.1001-5965.2018.0586
Abstract:

In view of several problems of electrical wiring interconnection system (EWIS), such as condition difference, ageing phenomenon and modelling difficulty, a UGF-GO methodology based EWIS degradation reliability analysis method is proposed by combining traditional GO methodology and universal generating function (UGF). In this paper, based on the difference of performance and environment of system components, using Wiener degradation process model with random parameters, the component reliability simulation model has been built. Markov chain Monte Carlo (MCMC) algorithm is used to estimate parameters in the model. The simulation test show that MCMC algorithm improves the estimation accuracy compared to the parameter estimation values of traditional two-step method. In analyzing the reliability of a degenerate system, the UGF-GO methodology works for calculating the EWIS reliability. Finally, the EWIS of an aircraft is taken as an example, and combined with the reliability calculation result of components, the reliability level of EWIS is evaluated under different thresholds. The results show that UGF-GO methodology can effectively solve the reliability analysis problem of the deteriorating system.

Hybrid laminar flow optimization design from energy view
SHI Yayun, GUO Bin, LIU Qian, BAI Junqiang, YANG Tihao, LU Lei
2019, 45(6): 1162-1174. doi: 10.13700/j.bh.1001-5965.2018.0592
Abstract:

For decreasing the drag and lowering the energy consumption for the hybrid laminar flow design correctly, the optimization system, whose object can be set as minimum energy cost, is built by correlating the relationship of suction control power consumption and drag. The optimization system includes the free freedom deformation (FFD) parameterization, the compact radial basis function (RBF) dynamic mesh method, the improved differential evolution (DE), and the high-fidelity Reynolds averaged Navier-Stokes (RANS) solver, which couples with the eN transition prediction method. For the infinite spanwise wing with 25° sweep angle, there are two optimizations:one is the uniform suction with minimum drag object; one is the distributed suction with minimum energy consumption object. At Reynolds number 10×106, the optimization results with minimum power consumption can obtain the same drag coefficient benefit with 29.1% decrease. The transition location is extended by 18% chord on the upper surface, while 15% chord on the lower surface. The power consumption is reduced by 1.7%. At Reynolds number 20×106, the distributed suction result can get more benefit than the uniform suction. The drag is reduced by 41.3% compared with the original configuration, which is improved by 4.5% compared with uniform suction dirstibution. The transition locations are extended by 52% chord on the upper surface and 14% chord on the lower surface. The suction power consumption is reduced by 8.14%. Thus, the optimization results show that the proposed hybrid laminar flow optimization method from energy view is reliable.

Cycle-by-cycle accumulation algorithm for predicting fatigue lives of double-lap and double-lug joints
CHEN Di, LI Yu, ZHANG Yibo, SONG Yinggang, XIONG Junjiang
2019, 45(6): 1175-1184. doi: 10.13700/j.bh.1001-5965.2018.0603
Abstract:

This paper aims to investigate the failure mechanics of complex joints and evaluate the crack initiate and growth lifetimes of complex joints. Fatigue tests were respectively carried out on double-lap and double-lug joints, failure modes and mechanisms were investigated through scanning electron microscope (SEM) analysis, and fatigue lifetime for crack initiation and growth was determined from fractographic quantitatively interpreted data by using reverse inference method. From the stress severity factor method, fatigue S-N-L (stress-life-stress severity factor) surface model was developed to characterize fatigue characteristics of complex joints for predicting fatigue crack initiation life. Based on fracture mechanics, the formulations were crafted to predict the length and angle of crack growth, and the cycle-by-cycle accumulation algorithm was presented to assess the lifetime of crack growth of joint. Finally, the proposed model and algorithm were used to respectively simulate the lifetime of fatigue crack initiation and propagation for double-lap and double-lug joints, which demonstrates the good agreement between the prediction results and the fracture interpretation results. The proposed model and algorithm provide theoretical basis for determining fatigue lifetime of complex joints.

Combination analysis of susceptibility influencing factors of stealth aircraft
HAN Xinmin, SHANG Bolin, XU Haojun, LIU Songbin, YANG Zixin
2019, 45(6): 1185-1194. doi: 10.13700/j.bh.1001-5965.2018.0605
Abstract:

For the assessment of stealth aircraft susceptibiliiy under the influence of multiple factors, the combined analysis of the factors in typical combat scenarios is conducted. Firstly, the susceptibility model based on task cycle is established. Secondly, the susceptibility parameters such as radar, infrared, radio frequency (RF) and electronic jamming are analyzed and the calculation models of different factors are established. Finally, the simulation of influencing factors under different stealth configurations are carried out. The results indicate that the combination of multiple methods can effectively reduce the susceptibility of stealth aircraft, and then the influence degree of susceptibility under multi-factor coupling is analyzed within a certain parameter range. The proposed results are valuable for both susceptibility reduction of aircraft in service and design of new aircraft susceptibility scheme.

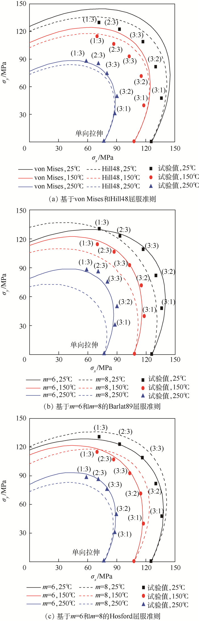
Acquisition and analysis of aluminum alloy property in thermal environment based on biaxial tension
FANG Taotao, LI Xiaoxing, XIAO Rui
2019, 45(6): 1195-1202. doi: 10.13700/j.bh.1001-5965.2018.0625
Abstract:

When sheet metal is forming, it usually bears complex loads. However, uniaxial tension test is usually used to obtain material properties, because the material only bears unidirectional load when deforming, which is far from the actual situation. In order to obtain more real material properties under complex loading, mechanical properties and deformation behavior of AA6016 aluminum alloy material under different stretching rates in thermal environment were studied using biaxial tensile test, including optimized design of cruciform specimen, relevant test method and equipment, analysis of test results, etc. The biaxial tensile tests and uniaxial tensile test were carried out under different temperatures of 25℃, 150℃ and 250℃ and different stretching rate of 1:1, 3:2, 2:3, 1:3 and 3:1. The stress-strain relationship, yield criterion and anisotropy at different tension rate ratios and different temperatures were obtained. Further by comparison with the test results, the several typic yield criteria and their suitability were discussed.

Liquid morphology at edge of vertical rotating disc
TAN Wenlong, FAN Weijun, SHI Qiang, XU Hanqing, ZHANG Rongchun
2019, 45(6): 1203-1210. doi: 10.13700/j.bh.1001-5965.2018.0615
Abstract:

For finding how the gravity affects the liquid on the rotating disc, the liquid morphology at the edge of the vertical rotating disc was experimentally studied by high-speed photography. The results show that there are three liquid morphologies at the edge of the vertical rotating disc:column, film and column film entanglement, which is different with the three morphologies at the horizontal rotating disc edge:direct drop, column and film. The liquid morphology at the bottom of the vertical disc does not match the top one, and the film morphology does not occur at the bottom. When the mass flow rate is less than 24 g/s, the liquid shows column morphology at the bottom, and when the mass flow rate is greater than or equal to 30 g/s, the liquid shows column film entanglement morphology. When the mass flow rate is between 12 g/s and 21 g/s and the rotating speed is between 1 000 r/min and 2 100 r/min, the liquid film morphology appears at the top of the disc. The liquid morphology is column when the mass flow rate is less than 12 g/s; if the mass flow rate is greater than 12 g/s, it will be replaced by column film entanglement. Due to the influence of gravity, the liquid morphology at the vertical disc edge changes much more than the horizontal disc; when the mass flow rate is large enough, the rotating speed required to form the liquid column at the bottom of the disc is greatly increased.

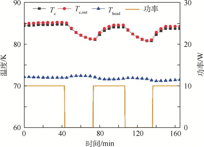
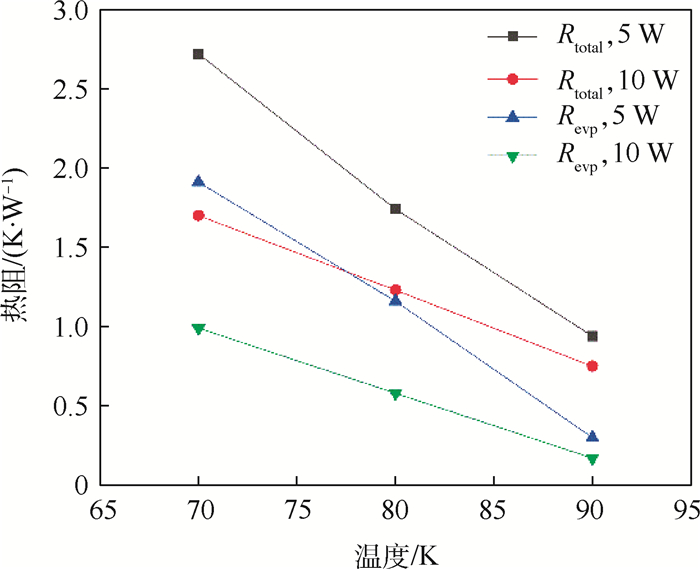
Experimental study on a liquid nitrogen temperature region loop heat pipe with flat evaporator
ZHANG Chang, XIE Rongjian, ZHANG Tian, LU Depu, WU Yinong, HONG Fangjun
2019, 45(6): 1211-1217. doi: 10.13700/j.bh.1001-5965.2018.0623
Abstract:

The cryogenic loop heat pipe is an efficient deep-hypothermic two-phase heat transfer device, which will be widely applied to cryogenic thermal control system for space projects such as infrared detection in the future. Zirconia is used to develop nitrogenous flat evaporator loop heat pipe for capillary wicking materials, effectively reducing the contact thermal resistance between the heat pipe and the heat load and the back leakage heat of the heat pipe. The experiment focuses on studying the non-assisted start-up characteristics, heat transfer performance and operation under intermittent thermal load of the heat pipe. The conclusion was drawn as follows:the flat evaporator loop heat pipe at liquid nitrogen temperature is in a good condition of self-start performance without assistance, which can be rapidly cooled down from room temperature to liquid nitrogen temperature by the diffusion of working fluids. The loop heat pipe can stably run from the liquid nitrogen temperature of 70 K to 100 K, and the thermal resistance will decrease with the increase of operating temperature and heat load at the maximum heat transfer power of 15 W and the minimum thermal resistance of 0.5 K/W. The loop heat pipe can keep the temperature stable and thermal response fast under the condition of intermittent heating of evaporator without secondary cooling. The flat evaporator loop heat pipe at liquid nitrogen temperature region effectively meets the requirements for the heat transfer of the thermal control system of the space cryogenic optical system.

Optimal-design and exploration for non-motor vehicle system in urban center
ZHANG Jun, ZHENG Nan, HUANG Chongxuan
2019, 45(6): 1218-1231. doi: 10.13700/j.bh.1001-5965.2018.0577
Abstract:

With the recent social and economic development and the expansion of urban size, the demand for urban transportation has increased substantially, that introducing large amount of bikes and electronically-driven bikes and the traditional non-motor bike and motor vehicle operation conflict is significant. To this end, it is necessary to explore the operation characteristics of non-motor vehicle system, design and optimize road facilities, and establish a safe and efficient green non-motor vehicle system under the new situation. First, for the main participation mode in non-motor vehicle system, namely the conflict between electric bike and bicycle, and the limitation of sharing non-motor vehicle lane space, it proposes an optimal design for the mixed traffic flow of non-motor vehicles, recognizing the heterogeneity between electrified and the normal bicycles and offering detailed infrastructure plan on lane separation. Then, a quantitative approach then is proposed to evaluate the different plans of infrastructure design, based on a modified version of the analytic hierarchy process. Finally, a case study is carried out utilizing a real urban region in the city of Jiaozuo in China, analyzing its present situation and main problems, designing and evaluating the feasibility and rationality of the improvement plan. The comprehensive index value, as defined in this paper, the service quality of the non-motorized carriageway on a trunk road has been greatly improved by optimizing its design, indicating that the improvement is evident, especially more sustainable for mixed bicycle flow. This paper aims to provide a reference for the design of non-motor vehicle lanes.

Multi-sensor measurement based position and pose adjustment method for automatic docking of spacecraft cabins
CHEN Guanyu, CHENG Qunlin, ZHANG Jieyu, HONG Haibo, HE Jun
2019, 45(6): 1232-1239. doi: 10.13700/j.bh.1001-5965.2018.0593
Abstract:

In view of the shortcomings of the manual operation methods commonly used in the docking of spacecraft cabins, such as low efficiency, poor precision, and difficulty in ensuring reliability, an automatic docking device for cabins based on multi-sensor measurement has been developed. The measurement and adjustment of the cabin position and pose is the key factor to ensure the quality and efficiency of the docking. Therefore, this paper proposes a six-degree-of-freedom position and pose estimation and adjustment method based on multi-sensor collaborative measurement of laser contour sensor and CCD image sensor. The specific method is as follows:the laser contour sensor is used to scan the cabin, the three-dimensional point cloud information of the position and pose is obtained, and the posture of the measured cabin is solved by the improved least squares method. On this basis, the position of the docking hole of the cabin is obtained by the image sensor, and the angular deviation is calculated by the circle fitting. The result of the solution and fitting will be fed back to the control system for posture adjustment and docking. The project uses the Gocator 2350 laser profile sensor and the Daheng MER-1810-21U3C industrial camera for cabin measurement and docking experiments. The experimental results show that the accuracy and efficiency of the cabin position adjustment meet the docking requirements. This method combines the reliability of the laser profile sensor with the flexibility of machine vision to effectively improve the efficiency, stability and consistency of the automatic docking system, which is sufficient for future military and civilian needs.

Model predictive control based on ADMM for aero-engine
SHAN Ruibin, LI Qiuhong, HE Fenglin, FENG Hailong, GUAN Tingjun
2019, 45(6): 1240-1247. doi: 10.13700/j.bh.1001-5965.2018.0599
Abstract:

In order to improve the real time performance of the nonlinear model predictive control (MPC) for aero-engine, an alternating direction method of multipliers (ADMM) was applied to the receding horizon optimization of MPC. The predictive equation was constructed based on the state space model. The auxiliary variables and dual variables were introduced to rewrite the quadratic control performance index and engine constraints into a new form which could be solved by ADMM. Simulations on a component level model show that the single input variable model predictive control based on ADMM achieves both high-quality reference tracking performance and efficient limit management of aero-engine. Compared with interior point method (IPM), the real time performance of ADMM is much better than that of IPM at different magnitude control commands, and the increment of time consumption is much less than that of IPM with the increase of the predictive horizon. The effectiveness of the ADMM in MPC is valid.

Soil moisture inversion method based on GNSS-IR dual frequency data fusion
JING Lili, YANG Lei, HAN Moutian, HONG Xuebao, SUN Bo, LIANG Yong
2019, 45(6): 1248-1255. doi: 10.13700/j.bh.1001-5965.2018.0555
Abstract:

At present, the study of soil moisture inversion in the field of global navigation satellite signal-interferometer and reflectometry (GNSS-IR) is only for single frequency deployment. In the paper, we propose a method that uses the entropy method to fuse two frequency to improve the accuracy of soil moisture inversion. First, the spectrum analysis method is used to analyze the oscillation frequency of the signal-to-noise ratio (SNR) sequence of each frequency point, and calculate the corresponding equivalent antenna height. The different frequency phase of SNR sequence can be solved by least square method. Then, the phase observation of two frequencies is fused by the entropy method. Finally, an empirical model was established by using the fusion results and the measured soil moisture to achieve soil moisture inversion. The method was verified by global positioning system (GPS) SNR ratio data obtained in frequency L1 and L2 by ground-based observation experiments. The results show that the average standard deviation of the L1 and L2 inversion results after dual frequency fusion is 0.6%, which is 64.73% higher than the L1 frequency inversion results and 32.12% higher than the L2 frequency inversion results. And the RMSE is 0.37%, 72.8% lower than L1 frequency and 73.4% lower than L2 frequency.

Dynamics modeling and simulation of UAV parachute recovery based on Kane equation
WU Han, WANG Zhengping, ZHOU Zhou, WANG Rui
2019, 45(6): 1256-1265. doi: 10.13700/j.bh.1001-5965.2018.0602
Abstract:

In the UAV parachute recovery process, the UAV and parachute are always in real-time dynamic balance state, and the coupling relationship between the two in the parachute recovery process is very complicated, so it is difficult to establish accurate dynamics model of UAV parachute recovery. For solving this problem, the UAV parachute recovery system was divided into the parachute and UAV, and the dynamics model of the parachute was established by the relationship between the drag area and the inflating time. First, based on the method of multibody dynamics, the UAV was divided into a multibody system, including the left wing, right wing and fuselage, and its high angle of attack dynamics model was optimized by the coefficient of flow around a flat plate. Second, the models of each body were introduced into the center of mass of the entire parachute recovery system by the partial velocity matrices. Finally, based on Kane equation, a six-degree-of-freedom model of the parachute recovery system was derived and established and the effects of the altitude and wind on the parachute recovery system dynamics were considered. Through the comparison of numerical simulation and experimental data, it is found that the two have good consistency, and this dynamics model can provide guidance for the UAV parachute recovery.

Design of a new path-sharing true-time-delay beamformer architecture
DANG Yanjie, LIANG Yu, ZHANG Wei
2019, 45(6): 1266-1272. doi: 10.13700/j.bh.1001-5965.2018.0626
Abstract:

In order to meet the requirement of multi-input and multi-output of broadband wireless communication system, a new path-sharing true-time-delay beamformer architecture is proposed in this paper. The output capability is improved by synthesizing multiple signals, compensating the time difference in reaching the antenna with a certain delay difference provided by the true-time-delay unit. Compared with the traditional beamformer architecture, this architecture can save the area of chip by true-time-delay unit sharing. It is not only extensional, supporting 2 M antennas and synthesizing 2 K signal beams, but also symmetrical. Based on HHNEC 0.18 μm CMOS process, four-in-four-out beamformer is designed to verify the proposed architecture. The simulation results show that this beamformer works over 0.5-1.5 GHz and has four antennas, with delay resolution of 80 ps and maximum delay of 720 ps. It can provide four scanning angles of ±43° and ±13° for four antennas with 10.5 cm spacing. The input-output return loss is not more than -10 dB, the gain is about 26 dB, and gain flatness is not more than 3 dB. The layout area (including I/O pad and ESD) is 3.69 mm×3.62 mm.