2019 Vol. 45, No. 5

Display Method:
Volume 45 Issue52019
iconDownload (21691) 943 iconPreview
Bearing dynamic load model and optimal design of complex rotor system
HONG Jie, LI Tianrang, NI Yaoyu, LYU Chunguang, MA Yanhong
2019, 45(5): 847-854. doi: 10.13700/j.bh.1001-5965.2018.0484
Abstract:

Aimed at the bearing dynamic load vibration response and optimal design of a complex rotor system with inter-shaft bearing in a turbofan engine with high thrust-to-weight ratio, a mechanical model of bearing dynamic loads is established to study the effects of unbalance, bending deformation and inertia moment under different rotational speeds. The variation trend of the bearing dynamic loads of a dual-rotor system with rotating speeds is calculated and analyzed. The relationship between the dynamic load of inter-shaft bearing and rotor bending deformation as well as inertial loads is revealed. An optimal design method for the vibration response of the inter-shaft bearing based on the slope control of the elastic curves of the rotors is proposed. The results show that by optimizing the rear journal structure of the high pressure turbine and adjusting the rear bearing of the low pressure turbine near the inter-shaft bearing, the dynamic load of the inter-shaft bearing and the sensitivity of the unbalance can be effectively reduced, which provides a theoretical method for the optimal design of the bearing vibration response of a complex rotor system with inter-shaft bearing.

Robust design method for dynamic properties of high-speed flexible rotor systems
HONG Jie, YANG Zhefu, LYU Chunguang, MA Yanhong
2019, 45(5): 855-862. doi: 10.13700/j.bh.1001-5965.2018.0492
Abstract:

In order to control the deformation of rotor and distribution of multiple critical speeds, it is common to adopt multi-support configuration, which indicates that the optimization is a multi-objective, multi-variable and non-deterministic problem, taking into account parameter uncertainties. An equation of motion for flexible rotor is derived with the aid of Lagrange equation. Penalty functions are introduced to quantitatively describe the distribution feature of multi-order critical speeds. A robust design method for dynamic properties of rotor is presented based on the optimization of critical speed distribution and stiffness loss control of joint structure with the combination of interval analysis method and genetic algorithm. A numerical example shows that by concentrating the multi-order critical speeds into a certain speed interval and controlling the bending strain energy proportion of joint structure, the vibration response passing through multi-order critical speeds and sensitivity of rotor dynamic properties to the change of joint structure stiffness loss are both reduced, thus improving the robustness of this type of rotor system.

Conflict detection and resolution in scenario of military aircraft flow passing through civil aviation route
WU Minggong, JIANG Xurui, WEN Xiangxi, CHEN Bin
2019, 45(5): 863-872. doi: 10.13700/j.bh.1001-5965.2018.0504
Abstract:

Aimed at the conflict problem of military aircraft flow passing through civil aviation routes, the aircraft flow centering scenario is modeled and analyzed. A centering flight conflict detection method based on sliding windows and a multiple aircraft conflict resolution method based on cooperative game theory are proposed. When the aircraft flow enters the control zone, the sliding window is used to judge the conflicts within look-ahead time. Based on this, the potential conflict aircraft can form a coalition and game with each other to balance the benefits. In this problem, the maximum coalition welfare solution in cooperative game is regarded as the fair allocation, and all solutions should satisfy the safety boundary conditions. Finally, according to the characteristics of the optimal maneuver direction, the strategy is solved quickly by using the immune particle swarm optimization algorithm. The simulation results show that the proposed method can effectively get the resolution strategies and balance the benefits between the military aircraft flow and civil aircraft flow.

An efficient method for adaptive segmentation of oil wear debris image
REN Song, XU Xueru, ZHAO Yunfeng, WANG Xiaoshu
2019, 45(5): 873-882. doi: 10.13700/j.bh.1001-5965.2018.0547
Abstract:

In order to improve the segmentation effect of oil wear debris image and optimize the main content of automatic recognition of wear debris, an adaptive segmentation method of oil wear debris image which combines watershed algorithm and regional similarity has been proposed. First, the gradient image was modified by morphological reconstruction and H-minima technology, and the watershed algorithm was then used to segment the image. Second, after watershed, the Lab color feature and local binary patterns (LBP) texture feature of the homogenous region were extracted as their quantitative indicators, and the color similarity and texture similarity between the regions were calculated based on the Bhattacharyya coefficients. In order to merge the over-segmentation region with much accuracy, an efficient feature fusion rule was designed considering the dynamic weight of color and texture factors. Finally, some post-processing methods were taken to complete the segmentation. Sixty images were selected to test the segmentation effect of the proposed method. The results indicate that the average segmentation speed of single image is about 12 seconds, and the segmentation accuracy is more than 90%. This method avoids the interactive processing when segmenting wear debris images, well balances the segmentation efficiency and segmentation accuracy, and significantly improves the adaptation degree of segmentation program.

Vibration response analytical solutions of cantilever beam with tip mass and spring constraints
MA Binjie, ZHOU Shutao, JIA Liang, HOU Chuantao, RONG Kelin
2019, 45(5): 883-892. doi: 10.13700/j.bh.1001-5965.2018.0482
Abstract:

According to the eigenvalue condition of cantilever beam with tip mass and spring, this paper proposes a characteristic transformation method, and obtains the analytical solutions of generalized mass and vibration response of cantilever beam with constraints. By analyzing the variational regularities of amplification factors of root bending moment, tip displacement, tip velocity, and tip acceleration for this cantilever beam, the results indicate that the stiffness of tip spring has notable effect on static and first-order load responses, the restriction of tip mass can be relaxed in the load reduction design, and the analysis order of load response is between the analysis orders of velocity and acceleration. The proposed characteristic transformation method can be used to obtain the vibration response analytical solutions of cantilever beam with other loading distribution, boundary conditions and tip constraints.

Simulation and experimental study of mechanically pumped two-phase loop for CCD
ZHAO Zhenming, MENG Qingliang, ZHANG Huandong, ZHAO Hui
2019, 45(5): 893-901. doi: 10.13700/j.bh.1001-5965.2018.0519
Abstract:

As one of the core components of spaceflight optical remote sensor, the temperature of the charge-coupled device (CCD) will affect the working performance. Therefore, traditional thermal control products have gradually been difficult to meet the needs of high-power CCD precise temperature control. In this paper, the start-up characteristics, operation status, flow and heat transfer characteristics of internal working fluid of mechanically pumped two-phase loop (MPTL) used in temperature control of CCD are studied by simulation and test. The results show that MPTL can absorb the influence of external heat flow of condenser and working mode of CCD by adjusting quality, and the temperature control accuracy of MPTL can reach ±1℃. The parallel branch of the evaporator, the load of the evaporator and the temperature change of the condenser in a certain range will not affect the stability of the system, and the CCD can still be controlled at the required temperature. By comparing the simulation with the experiment, it is found that the error of the simulation model is within ±1℃, which verifies the validity and accuracy of the model. MPTL can satisfy the requirement of temperature control of space optical remote sensor CCD very well. It can ensure that the CCD always has good temperature stability and uniformity, and the system has good operational characteristics and robustness. It has a good application prospect in the precision temperature control of CCD.

Matrix decomposition based control for space tether system with incomplete state feedback
WANG Changqing, FU Lichun, ZABOLOTNOV Yuriy, LI Aijun
2019, 45(5): 902-911. doi: 10.13700/j.bh.1001-5965.2018.0533
Abstract:

A solution to the stage of state-keeping after tether deployment or stage of tether in-plane motion stabilization after payload capture with space tether system (STS) in the case of incomplete state feedback is proposed, which is based on matrix decomposition. Feedbacks of in-plane angle and its angular velocity are assumed to be absent. Tension controller is designed to surpass tether non-normal behavior after deployment and in-plane swing in-plane after payload to make the system return to stable state. Conventional combination method of linear quadratic regulator (LQR) + reduced dimension observer is also introduced for comparison with the proposed controller. Effectiveness of the proposed controller is validated with perturbed parameters. The simulation results indicate that the proposed control law demonstrates better performance in overshoot and settling time than LQR + reduced dimension observer method. Deployment error of tether and in-plane perturbation are effectively controlled by the proposed control law. The proposed control law has the advantages of structural simplicity, good control effectiveness, and no parameter adjustment in design process.

Fine alignment method for rotary strapdown inertial navigation system based on augmented state
YE Wen, ZHAI Fengguang, CAI Chenguang, LI Jianli
2019, 45(5): 912-918. doi: 10.13700/j.bh.1001-5965.2018.0545
Abstract:

Initial alignment is a key technology of rotary strapdown inertial navigation system (SINS). The existing 10D model of traditional rotary SINS is mostly used for the fine alignment, which cannot meet the requirements of navigation accuracy. To solve this problem, a fine alignment method for rotary SINS based on augmented state is proposed. First, scale factor errors and installation errors are extended to state variables, and a 28D fine alignment model is established. Second, the observability of 28D model during rotation is analyzed. Third, a 13D alignment model is designed according to analysis results. Finally, Kalman filter is used to achieve the fine alignment of rotary SINS. The simulation results show that the proposed method can effectively improve the attitude alignment accuracy and estimate more gyroscope error terms compared with the traditional initial alignment method.

Evolutionary generation of test data for EFSM based on irrelevant variable separation
PAN Xiong, HAO Shuai, YUAN Zhengguo, SONG Ningfang
2019, 45(5): 919-929. doi: 10.13700/j.bh.1001-5965.2018.0531
Abstract:

Extended finite state machine (EFSM), a more accurate test model than finite state machine (FSM), has been widely used to describe dynamic behavior of system, and thus has been taken as the test model of various control flow and data flow systems. For EFSM model test, using search method to obtain test data to trigger a given test path has become a research hotspot in recent years. In order to improve the search efficiency, this paper proposed a method that originates from genetic algorithm (GA) and can automatically separate irrelevant input variables in a test path. By analyzing the relationship between variables and state transitions in EFSM and separating irrelevant input variables from the individual that does not affect the transition's guard in the sub-test path, the new method reduced the search space and enhanced the efficiency of test data generation. The experimental results on various complex benchmark EFSM models show that the success rate of the new method to generate effective test data is larger than 98.2%. Compared to the traditional genetic algorithm, the average number of iterations of the new method is reduced by 44.7%-85.9% and the average running time is reduced by 24.1%-85.5%.

A step-compensation optimization method for modular reconfigurable airfoil
LUO Lilong, WANG Likai, NIE Xiaohua
2019, 45(5): 930-935. doi: 10.13700/j.bh.1001-5965.2018.0510
Abstract:

For optimization of the modular reconfigurable airfoil structures, three wing modules that distributed along the span direction are taken as research object, and the correlations of load among airfoils with different wingspan are investigated. The complex coupling effects between variables and constraints are resolved by adjusting the design space during iteration automatically. A step-compensation optimization method is proposed for design of the modular reconfigurable airfoil structure. Optimization model of airfoil structures from a modular UAV is established and optimization design is conducted using both the step-compensation method and the traditional single scheme optimization method. The results show that using the proposed method can achieve steady convergence, and compared with the results from single scheme optimization method, the final design in this paper can meet all the design requirements of those three reconfiguration schemes with limited cost of weight, and keep better practicability in engineering.

Three-dimensional optimal path planning for high-altitude solar-powered UAV
WANG Shaoqi, MA Dongli, YANG Muqing, ZHANG Liang
2019, 45(5): 936-943. doi: 10.13700/j.bh.1001-5965.2018.0511
Abstract:

In order to enhance the flight performance and load capacity of high-altitude solar-powered UAV, a three-dimensional optimal path planning model that examines the interaction between flight status, energy acquisition, storage, and consumption was established. The Gauss pseudo-spectral method was employed to transform the optimal control problem into a nonlinear programming problem through approximating the state variables and control variables on discrete points and satisfying the constraints of dynamic equations on a set of collocation points. Then optimization and simulation were carried out for a typical point-to-point mission and the optimum path was compared with current constant-altitude constant-velocity path. The results indicate that appropriate changes of flight attitude angle increase the net energy of solar-powered UAV by 9.2%. By comprehensive utilization of changing flight attitude angle and flight altitude, the proposed optimum path brings more energy profits, which improves the battery pack final state of charge by 18.8%.

Foggy image enhancement based on multi-block coordinated single-scale Retinex
GAO Yuanyuan, HU Haimiao
2019, 45(5): 944-951. doi: 10.13700/j.bh.1001-5965.2018.0528
Abstract:

Aimed at the problem that the existing algorithms are not ideal to enhance foggy images with non-uniform fog distribution, this paper proposes a foggy image enhancement algorithm based on multi-block coordinated single-scale Retinex. Different from traditional Retinex algorithms that use the global statistic to obtain dynamic truncation values, the proposed algorithm first divides the image into several sub-blocks to calculate dynamic truncation values suitable for different areas with different concentrations of fog. Then, the dynamic range of detail information is adjusted with these dynamic truncation values to obtain multiple locally optimal images. Finally, the final enhancement image is calculated by fusing multiple optimal local images. This strategy enables the enhancement of detail in each area of a foggy image. The experimental results show that the proposed algorithm can effectively remove the non-uniform fog and ensure that the brightness of defogged image is kept within a range suitable for human eyes.

Equivalent fault injection method based on FFS failure behavior model
QIU Wenhao, HUANG Kaoli, LIAN Guangyao, ZHANG Xishan
2019, 45(5): 952-960. doi: 10.13700/j.bh.1001-5965.2018.0486
Abstract:

A equivalent fault injection method based on failure mode-function-state (FFS) failure behavior model is proposed to deal with the incapability of fault injection and permanent damage caused by fault injection in the fault injection based testability verification test. Firstly, the general FFS modeling idea is described, and the function is proposed as the basic element of modeling. Based on the multivariate modeling information of equipment, the failure behavior model is established. Then, the correlation matrixes and behavior state vector are defined, the method for characterizing uncertain information among failure modes, functions, and states is studied, and the calculation method for fault mode-state correlation matrix is proposed. Finally, the definition of equivalent failure mode and the equivalent fault injection process based on FFS failure behavior model are proposed. This method was applied to a launch control system. The results show that by this method the equivalent fault injection can be realized, and the rate of fault injection is increased by about 16.7%.

Dynamic compression measurement identification algorithm of LPV model
QIU Peng, LI Mingqian, YAO Xuri, ZHAI Guangjie, WANG Xueyan
2019, 45(5): 961-969. doi: 10.13700/j.bh.1001-5965.2018.0487
Abstract:

In solving the identification problem of linear parametric variation (LPV) model, the least squares algorithm is widely used due to the advantages of simple structure and low computational complexity. However, the results of least squares algorithm are subject to computational accuracy and model approximation accuracy, which are mutually exclusive in the same system. Therefore, there is always a certain error between the identification result and the true value of the algorithm. In addition, in the case of high-order LPV model identification or high sampling cost, the general model parameters are much more than the identification data. Consequently, it is difficult for the least squares algorithm to obtain stable identification results. The dynamic compression measurement identification (DCMI) algorithm proposed in this paper improves the system identification accuracy in this case from two aspects. First, the "uniform motion" and "non-uniform motion" models are used to represent the parametric function to improve the approximate accuracy of the model. Second, the under-sampling ability of the compressed sensing theory is utilized to improve the calculation accuracy of the parameters and expand the calculation scale of the model in the case of the same amount of data. The simulation results show that the proposed DCMI algorithm based on the "uniform motion" model can accurately identify the linear parametric function. Even in the case of insufficient identification data, the algorithm can still obtain stable identification results.

Performance of a passive heat sink using stearic acid based composite as phase change material
ZHAO Liang, XING Yuming, LIU Xin, LUO Yegang, RUI Zhoufeng
2019, 45(5): 970-979. doi: 10.13700/j.bh.1001-5965.2018.0513
Abstract:

The phase change material based passive heat sink is widely applied in the fields of aerospace and military equipment. To address the thermal management of electronic chip with high heat flux, the single temperature energy equation and the two temperature energy equation were applied to simulate the thermal management performance of the copper foam/stearic acid based heat sink, and their accuracy were validated by the lab-scale experiment. By combining with the thermal properties of grapheme nanoplatelets/stearic acid composite phase change material established by EMT based on Maxwell-Garnett model, the influence of different composition of thermal conductivity enhancement on the thermal performance of the heat sink was investigated. And the effect of the ambient temperature was studied. The results show that the two temperature energy equations can simulate more accurately when the heat flux of the chip is higher. When the volume fraction of the thermal conductivity enhancer is fixed, increasing pore density of copper foam has few improvement on the thermal management performance, while copper foam with GnP can effectively improve the thermal management performance of the heat sink. The serious change of ambient temperature can play an important role in the managed temperature and temperature control time.

Optimal design of multi-coil system for generating uniform magnetic field based on intelligent optimization algorithm and finite element method
LYU Zhifeng, ZHANG Jinsheng, WANG Shicheng, ZHAO Xin, LI Ting
2019, 45(5): 980-988. doi: 10.13700/j.bh.1001-5965.2018.0524
Abstract:

To solve the problem of high-order derivation and reliability evaluation of optimization results in the multi-coil system magnetic field uniformity optimization design, an optimization design method based on intelligent optimization algorithm and finite element method is proposed. First, the parameters to be optimized are determined, and the magnetic field deviation rate is taken as the objective function. Then, the objective function is optimized by the intelligent optimization algorithm. Finally, based on the optimized structural parameters, the corresponding finite element numerical simulation model is established to verify the reliability of the optimization results. The structural parameters of two sets of Helmholtz coils are optimized. The simulation results show that the optimal parameters obtained by the proposed method are superior to the parameters obtained by traditional derivation method. And the reliability of the optimization results is confirmed by the finite element numerical method.

Effect of air-inlet structures on combustion and flow field of inner wall in secondary combustion chamber of solid rocket ramjet
WANG Jinjin, ZHA Bailin, ZHANG Wei, HUI Zhe, SU Qingdong, HE Qi
2019, 45(5): 989-998. doi: 10.13700/j.bh.1001-5965.2018.0525
Abstract:

In order to study the effect of air-inlet structures on combustion and ablation combustion chamber of solid ramjet, the flow field characteristics in the secondary in the secondary combustion chamber of solid rocket ramjet with bilateral 180° air-inlet structure and bilateral 90° air-inlet structure on both down sides were analyzed based on the standard k-ε turbulence model, a one-step eddy-dissipation combustion model and combustion mode of boron particles of KING. The results show that large whirlpools are formed in the secondary combustion chamber with bilateral 180° air-inlet structure, which is beneficial to the mixing and combustion of gas and air. The total combustion efficiency of gas phase is 90% at the outlet of the secondary combustion chamber. Moreover, the erosion due to particles is effectively reduced. In the secondary combustion chamber with bilateral 90° air-inlet structure, condensed phase particles and gas move along the unilateral combustion chamber wall, leading to the uneven distribution of oxygen mass fraction and temperature, which are not conducive to combustion of gas. The total combustion efficiency of gas phase is 74%. Comprehensive destruction due to high-temperature thermal ablation, high-concentration particle erosion, high-velocity jet flushing and thermal stress concentration occurs at the side far from the inlet. The overall performance of the secondary combustion chamber with bilateral 180° air-inlet structure is better than that with bilateral 90° air-inlet structure on both down sides.

Modeling and experimental study of hydraulic damping isolator for satellite micro-vibration isolating
LIU Qiaobin, SHI Wenku, KE Jun, CHEN Zhiyong, CAO Fei, MIN Haitao
2019, 45(5): 999-1007. doi: 10.13700/j.bh.1001-5965.2018.0534
Abstract:

The modeling of satellite micro-vibration isolators is the basis for further simulation, optimization and control of system vibration. Because the model of five-parameter fractional derivative cannot describe amplitude variable performance of the damping satellite vibration isolator, according to the experimental data, parameter identification of dynamic characteristic curves of isolator under different displacement amplitude excitation was conducted. According to the parameter identification result, the amplitude correlation correction were conducted to five-parameter fractional derivative model, and the amplitude variable factor was introduced. From the comparison between the simulation results and the experimental results, it can be seen that the modified fractional derivative model with amplitude variable factor can well predict the amplitude variable characteristics of the vibration isolator with hydraulic damping. Based on the proposed fractional derivative model, the influence of main model parameters was analyzed. The proposed modeling method can provide reference for the design and analysis of micro-vibration isolators.

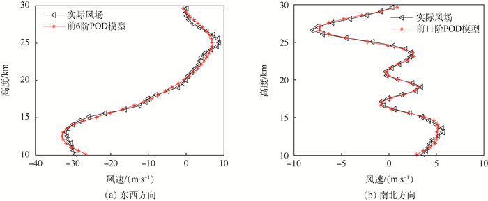
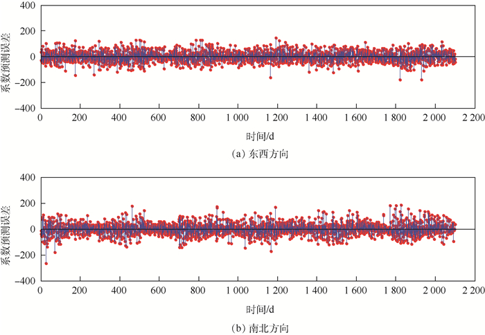
Trajectory control of aerostat based on prediction of stratospheric wind field
LI Kui, DENG Xiaolong, YANG Xixiang, HOU Zhongxi
2019, 45(5): 1008-1018. doi: 10.13700/j.bh.1001-5965.2018.0538
Abstract:

The stratospheric wind environment has an important influence on the aerostat design and trajectory control. Taking the wind field data from 2005 to 2010 in Changsha as an example, this paper firstly uses the proper orthogonal decomposition (POD) method to reduce order of the wind field data, and then uses the Fourier series and BP neural network algorithm to predict the stratospheric wind field. The prediction accuracy of the two models is compared and analyzed. Finally, the dynamic model and height control model of the near-space aerostat are established, and the influence of the two wind field prediction models on the trajectory control of the aerostat is analyzed. The research results show that the prediction model based on the BP neural network is more accurate and more reliable than the Fourier prediction model, and it can provide a better reference value for the flight trajectory control of the aerostat.

Key composition of aviation alternative fuel on ignition performance at low temperature
ZANG Xuejing, ZHOU Guanyu, YANG Xiaoyi
2019, 45(5): 1019-1025. doi: 10.13700/j.bh.1001-5965.2018.0559
Abstract:

Liquid fuel volatile compositions play an important role for ignition at low temperatures. The composition distribution of aviation kerosene RP-3 and coal-based Fischev-Tropsch F-T fuel in the vapor phase under low temperatures were analyzed in this research. The volatile components and content distribution of the fuel from -40℃ to 15℃ were obtained, and the key materials for engine ignition in low temperature conditions were determined and the ignition boundary test and analysis were carried out. The addition of light hydrocarbons significantly improves the ignition performance of coal-based Fischer-Tropsch fuel. Cycloalkanes are preferential, which are followed by branched alkanes and n-alkanes. It is of significance for the application of aviation alternative fuels in engine cold start and high-altitude relight process.

Dynamic modal analysis of circular-arc airfoil transonic flow
HU Wanlin, YU Jian, LIU Hongkang, YAN Chao
2019, 45(5): 1026-1032. doi: 10.13700/j.bh.1001-5965.2018.0468
Abstract:

The periodic self-oscillation of the shock wave of the transonic airfoil will bring additional oscillating loads to the wing structure, thereby aggravating the fatigue damage of the aircraft structure. The dynamic mode decomposition (DMD) method is used to study the pressure fluctuation field of a symmetric circular-arc airfoil with a thickness of 18% around the transonic speed. The frequency characteristics of the main modes of DMD, the spatial distribution of pressure fluctuation and the time evolution of pressure fluctuation with shock wave motion are analyzed, and then DMD mode are used for flow field reconstruction. The results show that the DMD method can accurately capture the mode of each characteristic frequency of the flow field, and the first-order mode is the dominant frequency of the buffeting of the shock wave, which plays a dominant role in the self-oscillation process of the shock wave. The flow field loss function of the first seven modes is reduced within 4%, and the error is mainly distributed in the shock wave discontinuity area.

Ice shape prediction method of aero-icing based on reduced order model
LIU Teng, LI Dong, HUANG Ranran, ZHANG Zhenhui
2019, 45(5): 1033-1041. doi: 10.13700/j.bh.1001-5965.2018.0474
Abstract:

The numerical simulation prediction of aero-icing ice shape is usually complicated and time-consuming. In order to predict ice shape more quickly and accurately and to reduce computational resource consumption, a quick ice shape prediction method based on proper orthogonal decomposition and Kriging model is proposed in this paper. Using a database of high-fidelity CFD numerical simulations to build sample space, in view of the change of attack angle, the procedure for predicting the ice shape by reduced order model is introduced. With the data sampling method of parameter space, multiparameter prediction of the ice shape is achieved. Meanwhile, the related methods of the advanced Blind-Kriging model and the improvement of the prediction results are studied. The result shows that the prediction results of the airfoil icing shape using the reduced order model agree well with the CFD numerical simulation results. The conclusion is made that the reduced order model is a quick and accurate approach for predicting the ice shapes of airfoil icing.

Design method of civil aircraft functional architecture based on MBSE
MEI Qian, HUANG Dan, LU Yi
2019, 45(5): 1042-1051. doi: 10.13700/j.bh.1001-5965.2018.0494
Abstract:

Model-based systems engineering (MBSE) theory has been widely used in the civil aircraft design and functional requirement analysis. Firstly, the research starts from the top-down use case of civil aircraft system product based on user requirements to identify the relevant key sub-use cases. Secondly, the method expands the "requirement-function analysis" based on the object use case, builds the black box activity diagram and sequence diagram to express the black box function flow so as to clarify the system interface and identify the subsystem, and constructs the black box state machine which is proved to be reliable and can be used for logical simulation. Finally, this paper carries out the "forward design" process of the civil aircraft functional architecture based on the man-machine interactive complex system model, and turns white the black box based on modeling analysis and numerical simulation results. Further to build a "forward design" of the system function white box architecture which realizes the relevant aircraft-level requirements. This paper selects the final approach and landing scenario which has a key effect on the safety of civil aircraft products as a case model. The research shows that the MBSE method for civil aircraft functional architecture fully guarantees the close combination of requirement analysis and functional architecture design, and constructs a structural system design method which meets the requirements of civil aircraft products.

A biometric verification based authentication scheme using Chebyshev chaotic mapping
DONG Xiaolu, LI Meihong, DU Ye, WU Qianqian
2019, 45(5): 1052-1058. doi: 10.13700/j.bh.1001-5965.2018.0512
Abstract:

In cloud computing, access control and security are two major problems, and there are some differences from traditional identity authentication. Inspired by the semi-group and chaotic properties of Chebyshev polynomials, a scheme of password-authenticated key agreement using Chebyshev chaotic mapping and biometrics has been presented. In the proposed model, the users and the servers need to register at the cloud service provider (CSP) in the beginning. Then they can complete authentication and establish session key without the participation of CSP. Moreover, security analysis and performance comparison show that the proposed scheme satisfies many security factors, such as mutual authentication, user privacy protection, multi-factor security and forward security. Forward security assures the confidentiality of the user's session key, even if the private key of the CSP is compromised. The proposed scheme is also robust to resist man-in-the-middle attacks, off-line password guessing and impersonation attacks, etc. In addition, it supports efficient changes to user passwords and biometric characteristics in a multi-server environment.