Research on multi-layer heterogeneous chain sequence risk propagation model in airport movement area
-
摘要:
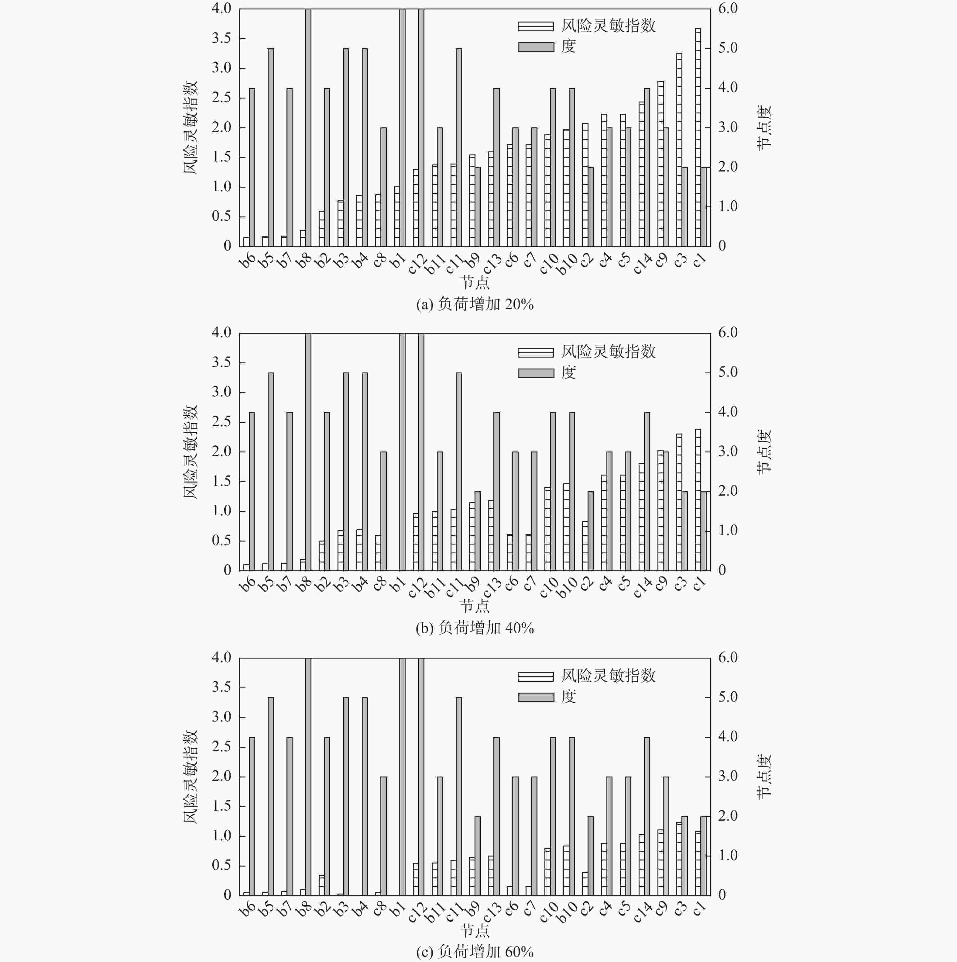
为探究机场飞行区风险发生机制及风险传播特性,增强机场飞行区安全管控能力,采用复杂网络理论,依据风险致因间的因果链序关系,构建多层异质网络风险传播模型。采用多层次因果图(AcciMap)理论分析机场飞行区运行风险传播的致因链;基于风险致因特征构建3层异质风险传播网络并根据网络特征设计概率-触发传播模型、容量-阻抗传播模型、容量-负荷传播模型;利用复杂网络理论设计风险传播评价指标,对风险网络传播特征进行分析。结果表明:多层风险网络中节点风险传播能力与节点度弱相关,节点风险灵敏指数可提升风险节点排序准确性;对风险灵敏度指数排序前15%的节点进行风险控制,可有效降低风险扩散近32%;网络风险传播结构存在高连通和松散状态,对风险扩散指数排序前15%的节点进行控制,可以有效降低网络结构鲁棒性指数使风险网络结构由高连通进入到松散状态;所建模型可有效识别风险扩散过程并进行精准控制,以提升机场飞行区风险控制水平。
Abstract:A multi-layer heterogeneous network risk propagation model was built using complex network theory and the causal chain relationship between risk factors in order to better characterize the characteristics of operational risks' propagation in flight areas and improve the safety management capabilities of airport flight areas. The accident analysis mapping(AcciMap) theory was employed to analyze the causal chain of risk propagation. A three-layer heterogeneous risk propagation network was built. Evaluation indicators were designed using complex network theory to analyze the characteristics of risk network propagation. The results demonstrate that the node's risk propagation capability exhibits a weak correlation with the node degree, and the node's risk sensitivity index can enhance the accuracy of risk node ranking. Implementing risk control measures on the top 15% of nodes ranked by the risk sensitivity index can effectively reduce risk diffusion by approximately 32%. It is possible to reduce the robustness index of the network structure and move the risk network structure from a highly connected state to a loose state by controlling the top 15% of nodes ranked by the risk diffusion index. The built model enables the identification and precise control of risk diffusion processes, thereby enhancing the level of risk control in airport flight areas.
-
Key words:
- air transportation /
- airport operations /
- complex network /
- risk propagation /
- control strategy
-
表 1 阻抗节点参数
Table 1. Impedance node parameters
工作年限/a $ {\kappa _{j1}} $ 工作负荷 $ {\kappa _{j2}} $ 工作时长/h $ {\kappa _{j3}} $ 0~6 0.15 0~0.3 0.25 1~2 0.25 6~15 0.25 0.3~0.7 0 3~4 0 15~30 0.4 0.7~1 −0.2 5~6 −0.1 注:${\kappa _{j1}} $、${\kappa _{j2}} $、${\kappa _{j3}} $为工作年限、工作负荷、工作时长的修正参数。 -
[1] SHYUR H J. A quantitative model for aviation safety risk assessment[J]. Computers & Industrial Engineering, 2008, 54(1): 34-44. [2] STAMATELATOS M. Probabilistic risk assessment procedures guide for managers and practitioners reliability[J]. Engineering System Safety, 2007, 11(1): 609-618. [3] TAMASI G, DEMICHELA M. Risk assessment techniques for civil aviation security[J]. Reliability Engineering & System Safety, 2011, 96(8): 892-899. [4] 孙殿阁, 孙佳, 王淼, 等. 基于Bow-Tie技术的民用机场安全风险分析应用研究[J]. 中国安全生产科学技术, 2010, 6(4): 85-89. doi: 10.3969/j.issn.1673-193X.2010.04.017SUN D G, SUN J, WANG M, et al. Application of the improved Bow-tie risk analysis technology in civil airport safety[J]. Journal of Safety Science and Technology, 2010, 6(4): 85-89(in Chinese). doi: 10.3969/j.issn.1673-193X.2010.04.017 [5] 倪晓梅, 王华伟, 熊明兰, 等. 基于文本挖掘的民航事件风险评估[J]. 湖南大学学报(自然科学版), 2022, 49(6): 73-79.NI X M, WANG H W, XIONG M L, et al. Civil aviation incident risk assessment based on text mining[J]. Journal of Hunan University (Natural Sciences), 2022, 49(6): 73-79(in Chinese). [6] 陈芳, 向千秋, 陈茜. 基于模糊DEMATEL-BN的管制单位动态风险评估[J]. 安全与环境学报, 2023, 23(1): 35-43.CHEN F, XIANG Q Q, CHEN X. Dynamic risk evaluation of air traffic control (ATC) based on fuzzy DEMATEL-BN[J]. Journal of Safety and Environment, 2023, 23(1): 35-43(in Chinese). [7] SAUMELL-MENDIOLA A, ÁNGELES SERRANO M, BOGUÑÁ M. Epidemic spreading on interconnected networks[J]. Physical Review E, Statistical, Nonlinear, and Soft Matter Physics, 2012, 86(2): 026106. [8] 张仕杰, 唐涛, 刘金涛, 等. 基于复杂网络的列车辅助驾驶危险致因传播模型[J]. 交通运输系统工程与信息, 2022, 22(4): 129-136.ZHANG S J, TANG T, LIU J T, et al. Propagation model for hazard causes of intelligent driving assistance system based on complex network[J]. Journal of Transportation Systems Engineering and Information Technology, 2022, 22(4): 129-136(in Chinese). [9] PARSHANI R, BULDYREV S V, HAVLIN S. Critical effect of dependency groups on the function of networks[J]. Proceedings of the National Academy of Sciences of the United States of America, 2011, 108(3): 1007-1010. [10] 肖琴, 罗帆, 朱本林. 基于突变理论的飞行签派员人因差错风险耦合演化研究[J]. 安全与环境学报, 2020, 20(2): 610-617.XIAO Q, LUO F, ZHU B L. Identification and determination of the human error risk coupling evolution of the flight dispatcher based on the catastrophe theory[J]. Journal of Safety and Environment, 2020, 20(2): 610-617(in Chinese). [11] 夏正洪, 万健, 朱新平. 机场热点时空分布特征及运行风险评价[J]. 中国安全科学学报, 2018, 28(1): 93-98.XIA Z H, WAN J, ZHU X P. Research on spatial and temporal distribution characteristics of airport hotspots and airport operational risk assessment[J]. China Safety Science Journal, 2018, 28(1): 93-98(in Chinese). [12] 武喜萍, 杨红雨, 韩松臣. 基于复杂网络的空中交通特征与延误传播分析[J]. 航空学报, 2017, 38(S1): 721473.WU X P, YANG H Y, HAN S C. Analysis of air traffic characteristics and delay propagation based on complex network[J]. Acta Aeronautica et Astronautica Sinica, 2017, 38(S1): 721473(in Chinese). [13] 王兴隆, 朱丽纳, 石宗北. 多层航线聚合网络建模及相关性分析[J]. 科学技术与工程, 2020, 20(3): 1243-1249. doi: 10.3969/j.issn.1671-1815.2020.03.055WANG X L, ZHU L N, SHI Z B. Multi-layer route aggregation network modeling and correlation analysis[J]. Science Technology and Engineering, 2020, 20(3): 1243-1249(in Chinese). doi: 10.3969/j.issn.1671-1815.2020.03.055 [14] 吴维, 罗欣然, 魏明. 基于SD模型的跑道侵入风控网络脆弱性分析[J]. 中国安全科学学报, 2021, 31(4): 41-48.WU W, LUO X R, WEI M. Vulnerability assessment of runway intrusion risk control network based on SD model[J]. China Safety Science Journal, 2021, 31(4): 41-48(in Chinese). [15] WU C L, LAW K. Modelling the delay propagation effects of multiple resource connections in an airline network using a Bayesian network model[J]. Transportation Research, 2019, 122: 62-77. doi: 10.1016/j.tre.2018.11.004 [16] 王岩韬, 刘毓. 基于复杂网络的航班运行风险传播分析[J]. 交通运输系统工程与信息, 2020, 20(1): 198-205.WANG Y T, LIU Y. Flight operation risk propagation based on complex network[J]. Journal of Transportation Systems Engineering and Information Technology, 2020, 20(1): 198-205(in Chinese). [17] 冯芬玲, 蔡明旭, 贾俊杰. 基于多层复杂网络的中欧班列运输网络关键节点识别研究[J]. 交通运输系统工程与信息, 2022, 22(6): 191-200.FENG F L, CAI M X, JIA J J. Key node identification of China railway express transportation network based on multi-layer complex network[J]. Journal of Transportation Systems Engineering and Information Technology, 2022, 22(6): 191-200(in Chinese). [18] 孙兴龙, 李亚雄, 邱艳粉. 基于改进融合算法的交通网络节点重要性评估[J]. 火力与指挥控制, 2021, 46(4): 65-71. doi: 10.3969/j.issn.1002-0640.2021.04.012SUN X L, LI Y X, QIU Y F. Evaluation of node importance in traffic network based on improved fusion algorithm[J]. Fire Control & Command Control, 2021, 46(4): 65-71(in Chinese). doi: 10.3969/j.issn.1002-0640.2021.04.012 [19] 孙娟, 李晓霞, 张金浩, 等. 多层单向耦合星形网络的特征值谱及同步能力分析[J]. 物理学报, 2017, 66(18): 329-342. doi: 10.7498/aps.66.188901SUN J, LI X X, ZHANG J H, et al. Synchronizability and eigenvalues of multilayer star networks through unidirectionally coupling[J]. Acta Physica Sinica, 2017, 66(18): 329-342(in Chinese). doi: 10.7498/aps.66.188901 [20] TANG L K, LU J N, WU X Q, et al. Impact of node dynamics parameters on topology identification of complex dynamical networks[J]. Nonlinear Dynamics, 2013, 73(1): 1081-1097. [21] 冯慧琳, 胡荣, 王德芸, 等. 航班时刻初级市场配置优化模型研究进展[J]. 交通运输工程与信息学报, 2022, 20(4): 42-58.FENG H L, HU R, WANG D Y, et al. Research progress in optimization modeling of primary slot allocation[J]. Journal of Transportation Engineering and Information, 2022, 20(4): 42-58(in Chinese). [22] 中国民用航空局机场司. 大型民用运输机场运行安全保障能力综合评价管理办法: AP-140-CA-2018-01 [Z]. 2018-08-22.AIRPORT Department of Civil Aviation Administration of China. Management measures for comprehensive cvaluation of operational safety guarantee capability of large civil transport airports: AP-140-CA-2018-01 [Z]. 2018-08-22. [23] 衡宇铭, 吴明功, 温祥西, 等. 基于复杂网络的管制员负荷评估[J]. 西华大学学报(自然科学版), 2022, 41(1): 52-58. doi: 10.12198/j.issn.1673-159X.4169HENG Y M, WU M G, WEN X X, et al. Controller workload evaluation based on complex network[J]. Journal of Xihua University (Natural Science Edition), 2022, 41(1): 52-58(in Chinese). doi: 10.12198/j.issn.1673-159X.4169 -


下载: