留言板

尊敬的读者、作者、审稿人, 关于本刊的投稿、审稿、编辑和出版的任何问题, 您可以本页添加留言。我们将尽快给您答复。谢谢您的支持!

姓名
邮箱
手机号码
标题
留言内容
验证码

大型直升机荷载下黄土场地模型箱试验研究

陈翔 冯胜全 郝志宾 刘凯鑫 冯锦艳

陈翔,冯胜全,郝志宾,等. 大型直升机荷载下黄土场地模型箱试验研究[J]. 北京亚洲成人在线一二三四五六区学报,2024,50(12):3739-3746 doi: 10.13700/j.bh.1001-5965.2022.0942
引用本文: 陈翔,冯胜全,郝志宾,等. 大型直升机荷载下黄土场地模型箱试验研究[J]. 北京亚洲成人在线一二三四五六区学报,2024,50(12):3739-3746 doi: 10.13700/j.bh.1001-5965.2022.0942
CHEN X,FENG S Q,HAO Z B,et al. Model box test study on loess site subjected to large helicopter loads[J]. Journal of Beijing University of Aeronautics and Astronautics,2024,50(12):3739-3746 (in Chinese) doi: 10.13700/j.bh.1001-5965.2022.0942
Citation: CHEN X,FENG S Q,HAO Z B,et al. Model box test study on loess site subjected to large helicopter loads[J]. Journal of Beijing University of Aeronautics and Astronautics,2024,50(12):3739-3746 (in Chinese) doi: 10.13700/j.bh.1001-5965.2022.0942

大型直升机荷载下黄土场地模型箱试验研究

doi: 10.13700/j.bh.1001-5965.2022.0942
详细信息
    通讯作者:

    E-mail:jxchxiang@163.com

  • 中图分类号: V351.24

Model box test study on loess site subjected to large helicopter loads

More Information
  • 摘要:

    大型直升机着陆过程中会对着陆场地施加较大的冲击荷载,两者之间的动力相互作用与着陆场地的类型密切相关。基于大型直升机的设计着陆工况,设计双锤冲击试验装置,对大型直升机双轮式起落架的双轮同时冲击黄土场地的工况进行小比尺的模型试验,分析双锤冲击下黄土场地不同深度的沉降特性和动应力分布规律,并在此基础上探讨落锤间距对场地变形及动力响应的影响。在双锤冲击荷载作用下,黄土场地浅层区域的沉降曲线呈典型的W型,不同位置处的竖向动应力时程发展曲线相似,呈单峰脉冲特征。沿落锤中心线下的沉降量和动应力幅值随深度增加而递减,但递减速率与深度有关,浅层区域的递减速率最大。不同落锤间距下黄土场地的沉降特性和动应力时程变化规律类似,落锤间距主要影响场地沉降和动应力量值的大小。

     

  • 图 1  双锤冲击试验装置

    Figure 1.  Double tamper impact test device

    图 2  黄土场地模型箱

    Figure 2.  Model box for loess site

    图 3  土压力传感器及白砂标志线布置

    Figure 3.  Arrangement of earth pressure sensors and white sand marking lines

    图 4  不同深度处黄土场地的沉降曲线

    Figure 4.  Settlement curves for loess sites at different depths

    图 5  黄土场地沉降沿深度变化

    Figure 5.  Settlement variation along the depth of loess site

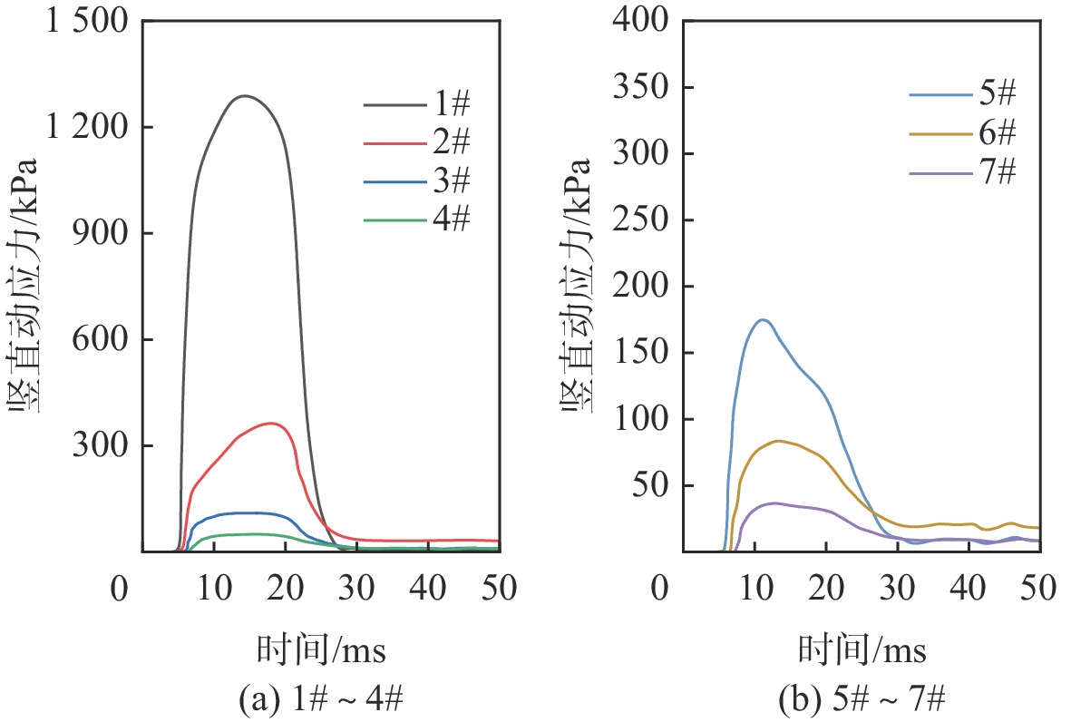
    图 6  竖直动应力时程曲线

    Figure 6.  Vertical dynamic stress curves versus time

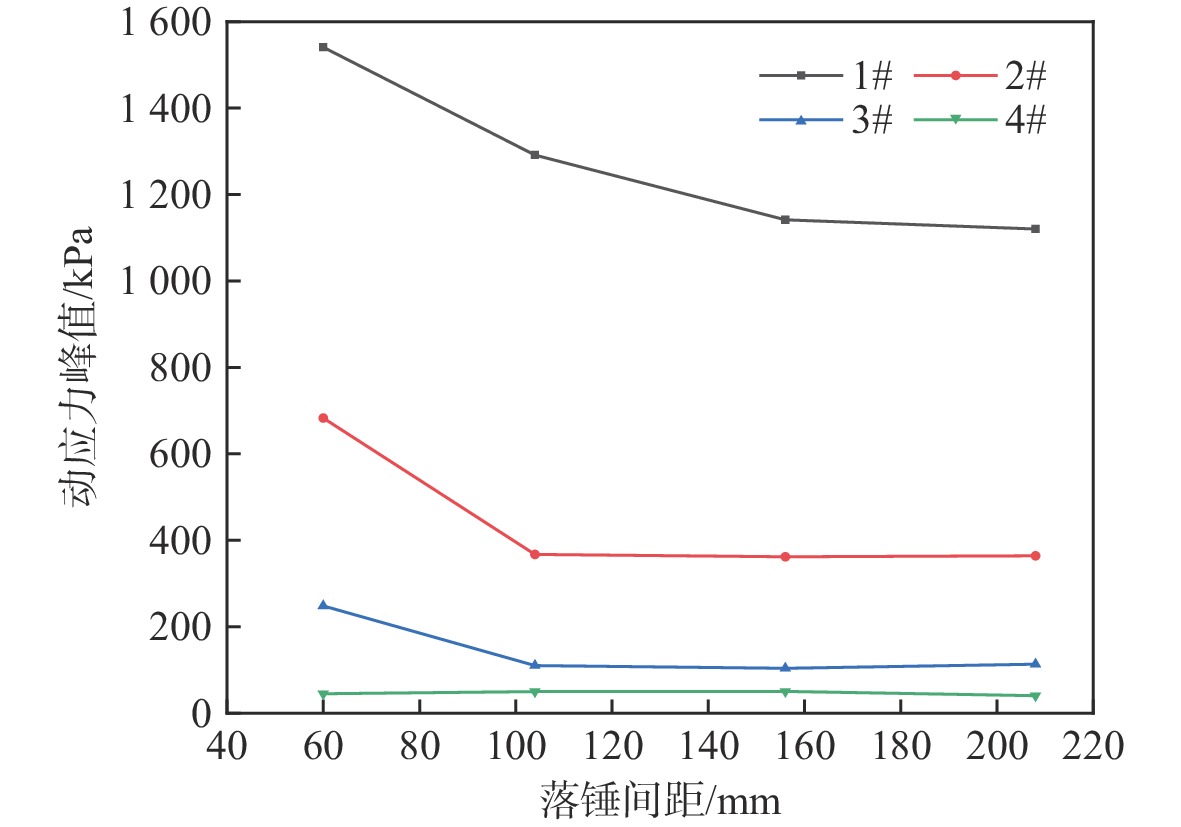
    图 7  竖直动应力峰值随深度变化

    Figure 7.  Peak vertical dynamic stress variation versus depth

    图 8  不同落锤间距下黄土场地沉降特征

    Figure 8.  Settlement characteristics of loess sites at different tamper spacings

    图 9  冲击坑深度随落锤间距的变化关系

    Figure 9.  Relationship between impact crater depth and tamper spacing

    图 10  不同落锤间距下沿落锤中心线的沉降

    Figure 10.  Settlement along centerline of hammer at different tamper spacings

    图 11  不同落锤间距下竖直动应力时程曲线

    Figure 11.  Vertical dynamic stress curvies for different tamper spacings

    图 12  动应力峰值随落锤间距S变化

    Figure 12.  Variation of peak dynamic stress with tamper spacing

    表  1  落锤冲击模型试验各物理量相似比

    Table  1.   Similarity ratio of physical parameters in tamper impact model test

    尺寸相似比 $ {C}_{\rho } $ $ {C}_{g} $ $ {C}_{W} $ $ {C}_{A} $ $ {C}_{E} $ $ {C}_{S} $
    n 1 1 $ {n}^{2} $ $ {n}^{2} $ $ {n}^{4} $ $ n $
    下载: 导出CSV

    表  2  大型直升机某真实着陆工况

    Table  2.   Real landing condition of heavy helicopter

    工况 双轮轮距/
    mm
    单轮载荷/
    kN
    单轮接地
    面积/cm2
    单轮冲击
    动能/kJ
    直升机 520 120 517 35.7
    下载: 导出CSV

    表  3  大型直升机某真实着陆工况的模拟工况

    Table  3.   Model condition of real landing of heavy helicopter

    模拟工况 落锤间距/
    mm
    单锤质量/
    kg
    落锤半径/
    mm
    单锤动能/J
    双锤 104 9 29.5 57.15
    下载: 导出CSV

    表  4  黄土的物理力学性质参数

    Table  4.   Physical and mechanical property parameters of loess

    比重 天然
    干密度/
    $ (\mathrm{g}\cdot{{\mathrm{cm}}}^{-3}) $
    天然
    含水率/
    %
    最优
    含水率/
    %
    塑限
    含水率/
    %
    液限
    含水率/
    %
    塑性
    指数
    2.71 1.44 18.4 22.4 19.3 36.1 16.8
    下载: 导出CSV

    表  5  不同落锤间距条件下的荷载作用时间

    Table  5.   Load action times for different tamper spacing conditions

    S/mm $ {T}_{{\mathrm{L}}}$/ms
    59 24.4
    104 21.9
    156 20.9
    208 20.0
    下载: 导出CSV
  • [1] 唐来鹏. 直升机轮印冲击载荷及甲板结构响应研究[D]. 上海: 上海交通大学, 2019: 17-39.

    TANG L P. Study on impact load of helicopter wheel print and response of deck structure[D]. Shanghai: Shanghai Jiao Tong University, 2019: 17-39(in Chinese).
    [2] GUERCIO M C, MEHTA Y, MCCARTHY L M. Evaluation of fatigue cracking performance of asphalt mixtures under heavy static and dynamic aircraft loads[J]. Construction and Building Materials, 2015, 95: 813-819. doi: 10.1016/j.conbuildmat.2015.07.025
    [3] WHITE G. Effect of aircraft traffic on the structure and response of asphalt[J]. Transportation Geotechnics, 2015, 2: 56-64. doi: 10.1016/j.trgeo.2014.10.001
    [4] WHITE G. Shear stresses in an asphalt surface under various aircraft braking conditions[J]. International Journal of Pavement Research and Technology, 2016, 9(2): 89-101. doi: 10.1016/j.ijprt.2016.02.002
    [5] JOSE A, NAIR R P, SANOOB B, et al. Structural optimisation of helideck structure using FEM[C]//Proceedings of the International Conference on Structural Engineering and Construction Management. Beilin: Springer, 2019: 505-512.
    [6] PORAN C J, HEH K S, RODRIGUEZ J A. Impact behavior of sand[J]. Soils and Foundations, 1992, 32(4): 81-92. doi: 10.3208/sandf1972.32.4_81
    [7] ZHU L, CAI W, FRIEZE P A, et al. Design method for steel deck plates under quasi-static patch loads with allowable plastic deformations[J]. Marine Structures, 2020, 71: 102702. doi: 10.1016/j.marstruc.2019.102702
    [8] VAGHEFI M, BAGHERI H, MOHEBPOUR S R. Nonlinear analysis of offshore helidecks due to the helicopter emergency landing loads[J]. Middle East Journal of Scientific Research, 2013, 13: 1351-1358.
    [9] 云庆文, 韩刘, 张野, 等. 直升机滑橇起落架土壤坠毁仿真分析[C]//探索 创新 交流——第六届中国航空学会青年科技论坛文集(上册). 北京: 航空工业出版社, 2014: 189-193.

    YUN Q W, HAN L, ZHANG Y, et al. Simulation analysis of helicopter skid landing gear soil crash [C]//Proceedings of the Exploration, Innovation, and Communication-An Anthology of the Sixth China Aviation Society Youth Science and Technology Forum (Previous Book). Beijing: Aviation Industry Press, 2014: 189-193(in Chinese).
    [10] JÓZWIK J, PYTKA J, TOFIL A. Dynamic analysis of aircraft landing gear wheel[C]//Proceedings of the 5th IEEE International Workshop on Metrology for AeroSpace. Piscataway: IEEE Press, 2018: 462-467.
    [11] PYTKA J. Determining and analysing the stress state under wheeled-vehicle loads[J]. Proceedings of the Institution of Mechanical Engineers, Part D: Journal of Automobile Engineering, 2009, 223(2): 233-253. doi: 10.1243/09544070JAUTO880
    [12] NARANJO S D, SANDU C, TAHERI S, et al. Experimental testing of an off-road instrumented tire on soft soil[J]. Journal of Terramechanics, 2014, 56: 119-137. doi: 10.1016/j.jterra.2014.09.003
    [13] PARVIZI M. Soil response to surface impact loads during low energy dynamic compaction[J]. Journal of Applied Sciences, 2009, 9(11): 2088-2096. doi: 10.3923/jas.2009.2088.2096
    [14] ZHANG R Y, SUN Y J, SONG E X. Simulation of dynamic compaction and analysis of its efficiency with the material point method[J]. Computers and Geotechnics, 2019, 116: 103218. doi: 10.1016/j.compgeo.2019.103218
    [15] KUNDU S, VISWANADHAM B V S. Numerical modelling of the densification of municipal solid waste landfills using dynamic compaction[C]//Proceedings of the Geo-Chicago . Reston: American Society of Civil Engineers, 2016: 202-211.
    [16] NIEDOSTATKIEWICZ M, LESNIEWSKA D, TEJCHMAN J. Experimental analysis of shear zone patterns in cohesionless for earth pressure problems using particle image velocimetry[J]. Strain, 2011, 47(S2): 218-231. doi: 10.1111/j.1475-1305.2010.00761.x
  • 加载中
图(12) / 表(5)
计量
  • 文章访问数:  647
  • HTML全文浏览量:  134
  • PDF下载量:  18
  • 被引次数: 0
出版历程
  • 收稿日期:  2022-11-24
  • 录用日期:  2023-01-13
  • 网络出版日期:  2023-02-27
  • 整期出版日期:  2024-12-31

目录

    /

    返回文章
    返回
    常见问答