Thickness correction by lifting surface method and its application in morphing simulation of folding wing
-
摘要:
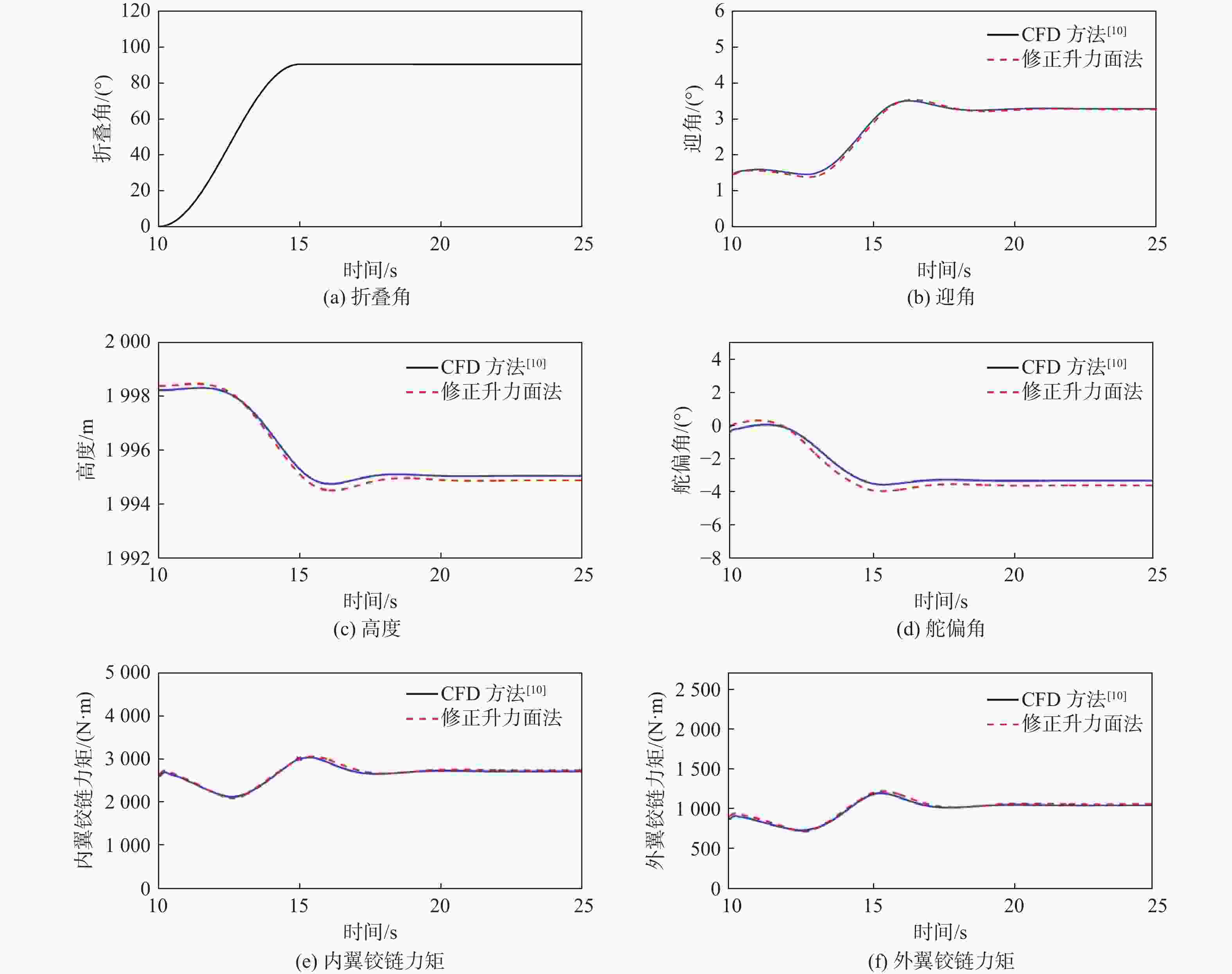
变体过程铰链力矩的计算是折叠翼飞行器设计的重要一环,现有仿真在气动建模中多采用传统的升力面法。该方法忽略了翼型厚度的影响,会产生较大的计算误差。引入一种可以考虑翼型厚度的定常高阶面元法,并给出一种采用高阶面元法对升力面法进行厚度修正的气动建模策略。将修正后的气动模型与现有多柔体结构模型及飞行控制模型耦合,对折叠翼的飞行变体过程进行仿真。结果表明:修正后的气动模型可以对翼型厚度进行有效考虑,计算所得铰链力矩误差小于5%。
Abstract:Calculating hinge moments during the morphing process is a critical link in the aircraft design with a folding wing. Existing simulations mostly use the traditional lifting surface method for aerodynamic modeling, which ignores the influence of the airfoil thickness and causes a great calculation error. This paper introduced a steady high-order panel method that considered the airfoil thickness and presented an aerodynamic modeling strategy using the high-order panel method to modify the thickness of the lifting surface method. The modified aerodynamic model was then coupled with the flexible multibody model and the flight control model to simulate the flight morphing process of a folding wing. The results show that the modified aerodynamic model can effectively consider the airfoil thickness, and the calculation error of the hinge moment is less than 5%.
-
表 1 展开构型的主要几何参数
Table 1. Main geometric parameters of unfolding configuration
质量m/kg 重心坐标xcg/m 转动惯量Iy/(kg·m2) 823 (2.45, 0, 0) 5475 表 2 计算时间对比
Table 2. Comparison of calculation time
气动力计算方法 计算耗时/h CFD方法(求解Euler方程)[10] 151 本文修正升力面法 0.6 -
[1] LOVE M H, ZINK P S, STROUD R L, et al. Demonstration of morphing technology through ground and wind tunnel tests[C]//Proceedings of the 48th AIAA/ASME/ASCE/AHS/ASC Structures, Structural Dynamics, and Materials Conference. Reston: AIAA, 2007. [2] IVANCO T G, SCOTT R C, LOVE M H, et al. Validation of the lockheed martin morphing concept with wind tunnel testing[C]//Proceedings of the 48th AIAA/ASME/ASCE/AHS/ASC Structures, Structural Dynamics, and Materials Conference. Reston: AIAA, 2007. [3] RODRIGUEZ A R. Morphing aircraft technology survey[C]//Proceedings of the 45th AIAA Aerospace Sciences Meeting and Exhibit. Reston: AIAA, 2007. [4] LEE D H, WEISSHAAR T. Aeroelastic studies on a folding wing configuration[C]//Proceedings of the 46th AIAA/ASME/ASCE/AHS/ASC Structures, Structural Dynamics and Materials Conference. Reston: AIAA, 2005. [5] REICH G, BOWMAN J, SANDERS B, et al. Development of an integrated aeroelastic multi-body morphing simulation tool[C]// Proceedings of the 47th AIAA/ASME/ASCE/AHS/ASC Structures, Structural Dynamics, and Materials Conference. Reston: AIAA, 2006. [6] BOWMAN J, REICH G, SANDERS B, et al. Simulation tool for analyzing complex shape-changing mechanisms in aircraft[C]//Proceedings of the AIAA Modeling and Simulation Technologies Conference and Exhibit. Reston: AIAA, 2006. [7] SCARLETT J N, CANFIELD R A, SANDERS B. Multibody dynamic aeroelastic simulation of a folding wing aircraft[C]//Proceedings of the 47th AIAA/ASME/ASCE/AHS/ASC Structures, Structural Dynamics, and Materials Conference. Reston: AIAA, 2006. [8] XU H, HAN J L, YUN H W, et al. Calculation of the hinge moments of a folding wing aircraft during the flight-folding process[J]. International Journal of Aerospace Engineering, 2019, 2019: 1-11. [9] KATZ J, PLOTKIN A. Low-speed aerodynamics, second edition[J]. Journal of Fluids Engineering, 2004, 126(2): 293-294. doi: 10.1115/1.1669432 [10] XU H, HAN J L, XI Y, et al. Comparative study of lifting surface and CFD methods in the simulation of morphing process of folding wing[J]. International Journal of Aerospace Engineering, 2022, 2022: 2476196. [11] MURUA J, PALACIOS R, GRAHAM J M R. Applications of the unsteady vortex-lattice method in aircraft aeroelasticity and flight dynamics[J]. Progress in Aerospace Sciences, 2012, 55: 46-72. doi: 10.1016/j.paerosci.2012.06.001 [12] CARMICHAEL R L, ERICKSON L L. PAN AIR—A higher order panel method for predicting subsonic or supersonic linear potential flows about arbitrary configurations[C]//Proceedings of the AlAA 14th Fluid and Plasma Dynamics Conference. Reston: AIAA, 1981. [13] 赵永辉. 气动弹性力学与控制[M]. 北京: 科学出版社, 2007: 310-319.ZHAO Y H. Aeroelasticity and control[M]. Beijing: Science Press, 2007: 310-319(in Chinese). [14] HARDER R L, DESMARAIS R N. Interpolation using surface splines[J]. Journal of Aircraft, 1972, 9(2): 189-191. doi: 10.2514/3.44330 [15] 李增刚. ADAMS入门详解与实例[M]. 2版. 北京: 国防工业出版社, 2014: 127-135.LI Z G. Detailed introduction and examples of ADAMS[M]. 2nd ed. Beijing: National Defense Industry Press, 2014: 127-135(in Chinese). [16] 纪玉杰, 杨强, 孙志礼, 等. 应用C语言编写ADAMS用户自定义函数的研究[J]. 机械设计与制造, 2006(1): 101-103. doi: 10.3969/j.issn.1001-3997.2006.01.046JI Y J, YANG Q, SUN Z L, et al. The research on writing user-written subroutine of ADAMS in C programming language[J]. Machinery Design & Manufacture, 2006(1): 101-103 (in Chinese). doi: 10.3969/j.issn.1001-3997.2006.01.046 -


下载: