Dynamic characteristics of flexible micro-positioning platforms based on transfer matrix method
-
摘要:
随着精密微定位技术的发展,对柔性微定位平台的动态特性研究越发重要。传递矩阵法(TMM)作为分析多体系统动力学的一种有效方法,具有建模方便、计算精度高等优势。为此,基于传递矩阵法建立微定位平台的动力学模型,以分析其动态特性。介绍传递矩阵法的基本思想并建立柔性机构的传递方程,推导了其在任意激励下的瞬时动力响应;基于柔性铰链和柔性梁设计了一种
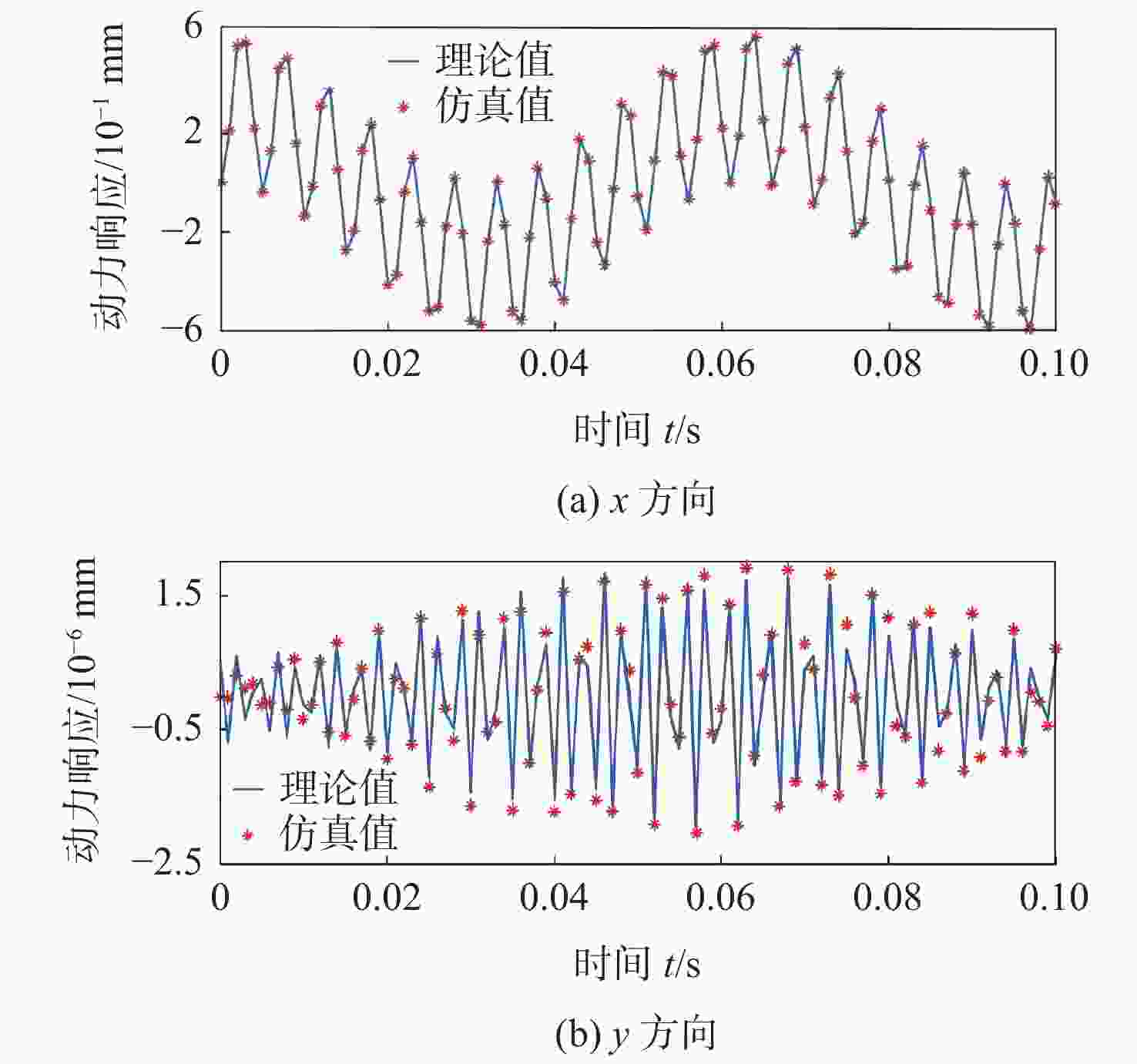
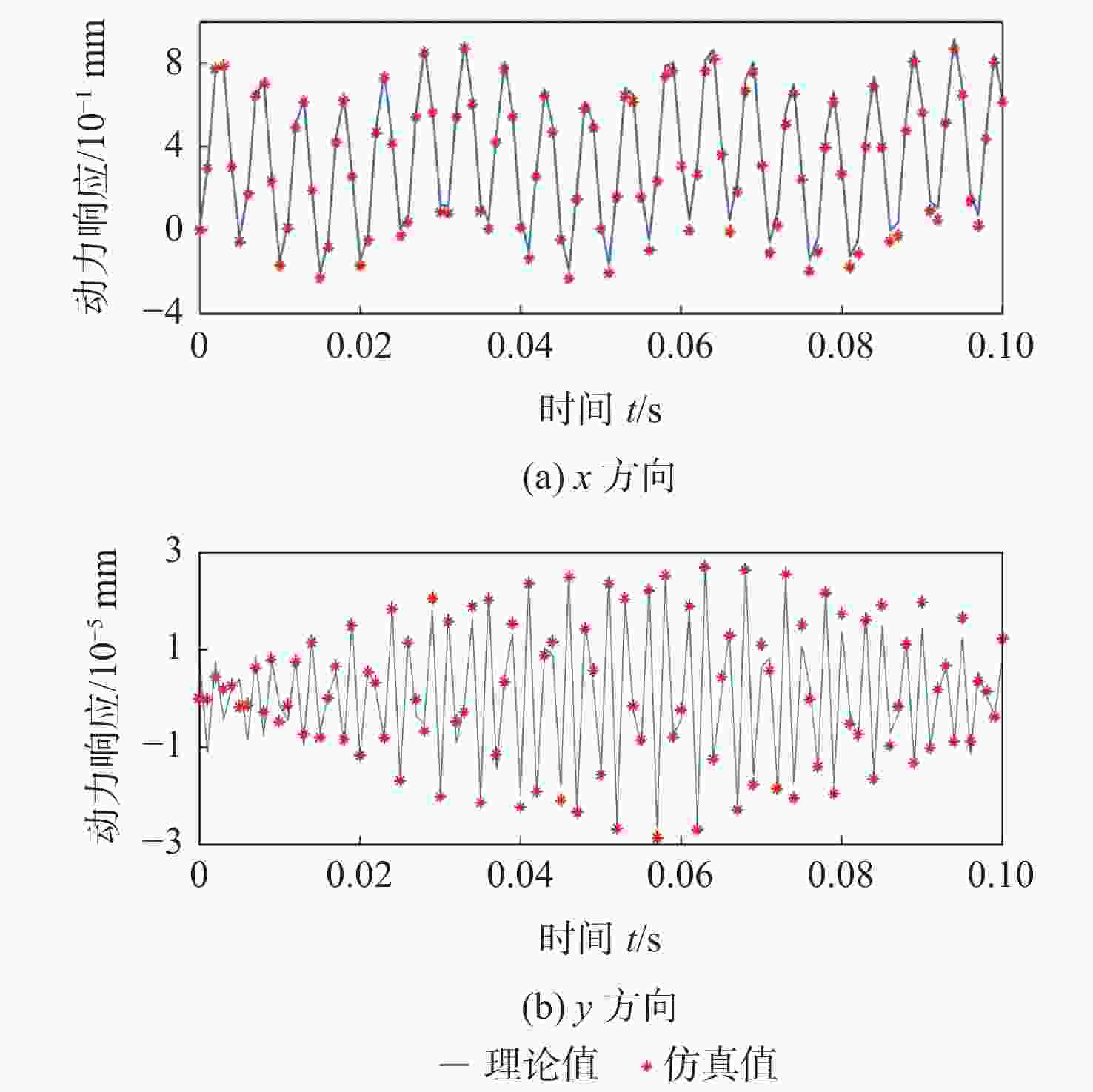
XY 柔性微定位平台并推导出其支链及平台整体的传递矩阵;基于振动理论推导了平台主要特征单元的传递矩阵;最后,为验证理论模型的有效性,分别基于传递矩阵法、有限元法(FEM)及等效质量法(EMM)开展了对该平台固有频率和瞬时动力响应的研究。结果表明:基于传递矩阵法程式化地构建传递矩阵即可分析平台动力学特性,无须建立烦琐的动力学方程;相较于等效质量法,传递矩阵法可计算平台的高阶固有频率;平台固有频率理论值同仿真值最大相对误差仅为2.4%,动力响应理论值与仿真值基本吻合,证明了基于传递矩阵法所建模型的有效性。Abstract:With the development of precision micro-positioning technology, the research on dynamic characteristics of flexible micro-positioning platforms is necessary. As an effective method to analyze the dynamics of multi-body systems, the transfer matrix method (TMM) has the advantages of convenient modeling and high calculation accuracy. Therefore, a dynamics model of the micro-positioning platform was established based on TMM to analyze its dynamic characteristics. The basic idea of TMM was introduced, and the transfer equation of flexible mechanism was established. Its instantaneous dynamic response under arbitrary excitation was deduced. An
XY flexible micro-positioning platform based on the flexible hinge and flexible beam was designed, and the transfer matrix of its branch chain and the whole platform was derived. Based on vibration theory, the transfer matrix of the main characteristic elements of the platform was derived. Finally, in order to verify the validity of the theoretical model, the natural frequency and instantaneous dynamic response of the platform were studied based on the TMM, finite element method (FEM), and equivalent mass method (EMM), respectively. The results show that the transfer matrix can be programmatically constructed based on the TMM to analyze the dynamic characteristics of the platform without establishing complicated dynamics equations. Compared with EMM, TMM can calculate the higher-order natural frequency of the platform. The maximum relative error between theoretical and simulated natural frequencies of the platform is just 2.4%, and the theoretical and simulated dynamic responses basically agree with each other, which proves the validity of the model based on TMM. -
表 1 微定位平台结构参数
Table 1. Structure parameters of micro-positioning platform
mm 参数 数值 参数 数值 l1 15 u1 2 l2 26.8 u2 4 l3 24 u3 2.5 s1 21.2 t1 0.3 s2 15 t2 1.2 s3 5.7 r 0.7 s4 27 h 5 表 2 平台固有频率的理论值、仿真值及相对误差
Table 2. Theoretical and simulated natural frequencies and relative error
模态 有限元仿真值/Hz 传递矩阵法/Hz 等效质量法/Hz 相对误差/% 1阶 196.54 192.67 192.27 2.0 2阶 196.54 192.67 192.27 2.0 3阶 487.03 475.62 2.4 4阶 530.04 5阶 581.25 6阶 597.68 注:相对误差=|(理论值−仿真值)/理论值|×100%。 -
[1] HOWELL L L. Compliant mechanisms[M]. New York: Wiley, 2001. [2] 于靖军, 郝广波, 陈贵敏, 等. 柔性机构及其应用研究进展[J]. 机械工程学报, 2015, 51(13): 53-68. doi: 10.3901/JME.2015.13.053YU J J, HAO G B, CHEN G M, et al. State-of-art of compliant mechanisms and their applications[J]. Journal of Mechanical Engineering, 2015, 51(13): 53-68(in Chinese). doi: 10.3901/JME.2015.13.053 [3] 王萍萍, 刘磊. 柔性航天器高精度隔振与定向研究[J]. 宇航学报, 2012, 33(9): 1195-1202.WANG P P, LIU L. Research on high accuracy pointing of the flexible spacecraft with Stewart platform[J]. Journal of Astronautics, 2012, 33(9): 1195-1202(in Chinese). [4] 刘璟龙, 张崇峰, 邹怀武, 等. 基于干扰观测器的柔性空间机器人在轨精细操作控制方法[J]. 航空学报, 2021, 42(1): 189-199.LIU J L, ZHANG C F, ZOU H W, et al. On-orbit precise operation control method for flexible joint space robots based on disturbance observer[J]. Acta Aeronautica et Astronautica Sinica, 2021, 42(1): 189-199(in Chinese). [5] ZHANG X Z, XU Q S. Design, fabrication and testing of a novel symmetrical 3-DOF large-stroke parallel micro/nano-positioning stage[J]. Robotics and Computer-Integrated Manufacturing, 2018, 54: 162-172. doi: 10.1016/j.rcim.2017.11.006 [6] 周睿, 周辉, 桂和利, 等. 基于柔性铰链的二自由度微动平台分析及优化[J]. 北京亚洲成人在线一二三四五六区学报, 2018, 44(9): 1982-1990.ZHOU R, ZHOU H, GUI H L, et al. Analysis and optimization of 2-DOF micro-positioning stage based on flexible hinges[J]. Journal of Beijing University of Aeronautics and Astronautics, 2018, 44(9): 1982-1990(in Chinese). [7] LIN C, CUI X H, CHENG K, et al. Design and analysis of 5-DOF micro/nano-positioning stage[J]. Journal of Software, 2012, 7(5): 1038-1044. [8] 曹毅, 王保兴, 孟刚, 等. 大行程三平动柔性微定位平台的设计分析及优化[J]. 机械工程学报, 2020, 56(17): 71-81. doi: 10.3901/JME.2020.17.071CAO Y, WANG B X, MENG G, et al. Design analysis and optimization of large range spatial translational compliant micro-positioning stage[J]. Journal of Mechanical Engineering, 2020, 56(17): 71-81(in Chinese). doi: 10.3901/JME.2020.17.071 [9] SCHIAVO F, VIGANÒ L, FERRETTI G. Object-oriented modelling of flexible beams[J]. Multibody System Dynamics, 2006, 15(3): 263-286. doi: 10.1007/s11044-006-9012-8 [10] XU Q S. Design and implementation of large-range compliant micropositioning systems[M]. New York: Wiley, 2016. [11] 于靖军, 毕树生, 宗光华, 等. 基于伪刚体模型法的全柔性机构位置分析[J]. 机械工程学报, 2002, 38(2): 75-78. doi: 10.3321/j.issn:0577-6686.2002.02.017YU J J, BI S S, ZONG G H, et al. Kinematics analysis of fully compliant mechanisms using the pseudo-rigid-body model[J]. Chinese Journal of Mechanical Engineering, 2002, 38(2): 75-78(in Chinese). doi: 10.3321/j.issn:0577-6686.2002.02.017 [12] KOSEKI Y, TANIKAWA T, KOYACHI N, et al. Kinematic analysis of translational 3-DOF micro parallel mechanism using matrix method[C]// Proceedings of 2000 IEEE/RSJ International Conference on Intelligent Robots and Systems (IROS 2000). Piscataway: IEEE Press, 2002: 786-792. [13] LUO Y Q, LIU W Y. Analysis of the displacement of distributed compliant parallel-guiding mechanism considering parasitic rotation and deflection on the guiding plate[J]. Mechanism and Machine Theory, 2014, 80: 151-165. doi: 10.1016/j.mechmachtheory.2014.06.005 [14] HOWELL L L, MIDHA A, NORTON T W. Evaluation of equivalent spring stiffness for use in a pseudo-rigid-body model of large-deflection compliant mechanisms[J]. Journal of Mechanical Design, 1996, 118(1): 126-131. doi: 10.1115/1.2826843 [15] WU S L, SHAO Z X, SU H J, et al. An energy-based approach for kinetostatic modeling of general compliant mechanisms[J]. Mechanism and Machine Theory, 2019, 142: 103588. doi: 10.1016/j.mechmachtheory.2019.103588 [16] 曹毅, 孟刚, 居勇健, 等. 考虑伴生转动的大行程柔性微定位平台[J]. 航空学报, 2022, 43(7): 456-470. doi: 10.7527/j.issn.1000-6893.2022.7.hkxb202207035CAO Y, MENG G, JU Y J, et al. Large-stroke compliant micro-positioning stage considering parasitic rotation[J]. Acta Aeronautica et Astronautica Sinica, 2022, 43(7): 456-470(in Chinese). doi: 10.7527/j.issn.1000-6893.2022.7.hkxb202207035 [17] LI Y M, HUANG J M, TANG H. A compliant parallel XY micromotion stage with complete kinematic decoupling[J]. IEEE Transactions on Automation Science and Engineering, 2012, 9(3): 538-553. doi: 10.1109/TASE.2012.2198466 [18] SCHOTBORGH W O, KOKKELER F G M, TRAGTER H, et al. Dimensionless design graphs for flexure elements and a comparison between three flexure elements[J]. Precision Engineering, 2005, 29(1): 41-47. doi: 10.1016/j.precisioneng.2004.04.003 [19] 王雯静, 余跃庆. 基于有限元法的柔顺机构动力学分析[J]. 机械工程学报, 2010, 46(9): 79-86. doi: 10.3901/JME.2010.09.079WANG W J, YU Y Q. Dynamic analysis of compliant mechanisms based on finite element method[J]. Journal of Mechanical Engineering, 2010, 46(9): 79-86(in Chinese). doi: 10.3901/JME.2010.09.079 [20] ZHANG Z G, ZHOU X, FANG Z P. Dynamic analysis of compliant mechanisms using absolute nodal coordinate formulation and geometrically exact beam theory[M]// Multibody Dynamics 2019. Cham: Springer International Publishing, 2019: 215-222. [21] 芮筱亭. 多体系统传递矩阵法及其应用[M]. 北京: 科学出版社, 2008.RUI X T. Transfer matrix method of multibody system and its applications[M]. Beijing: Science Press, 2008(in Chinese). [22] RUI X T, WANG X, ZHOU Q B, et al. Transfer matrix method for multibody systems (Rui method) and its applications[J]. Science China Technological Sciences, 2019, 62(5): 712-720. doi: 10.1007/s11431-018-9425-x [23] 郑洋洋, 宫金良, 张彦斐. 基于传递矩阵法的柔性杠杆放大机构刚度分析[J]. 北京亚洲成人在线一二三四五六区学报, 2017, 43(4): 849-856.ZHENG Y Y, GONG J L, ZHANG Y F. Stiffness analysis of a flexible lever magnifying mechanism based on transfer matrix method[J]. Journal of Beijing University of Aeronautics and Astronautics, 2017, 43(4): 849-856(in Chinese). [24] 姚颂, 芮筱亭, 王景弘. 直升机悬停状态下的振动计算[J]. 哈尔滨工业大学学报, 2021, 53(6): 104-111. doi: 10.11918/201908100YAO S, RUI X T, WANG J H. Calculation of helicopter vibration in hovering state[J]. Journal of Harbin Institute of Technology, 2021, 53(6): 104-111(in Chinese). doi: 10.11918/201908100 [25] DU Y S, LI T M, GAO G H. Dynamic analysis of a flexure-based compliant stage[J]. Journal of Mechanical Science and Technology, 2018, 32(11): 5223-5231. doi: 10.1007/s12206-018-1020-0 [26] HU J F, WEN T, HE J K. Dynamics of compliant mechanisms using transfer matrix method[J]. International Journal of Precision Engineering and Manufacturing, 2020, 21(11): 2173-2189. doi: 10.1007/s12541-020-00395-9 [27] WANG T W, LI Y Z, ZHANG Y X, et al. Design of a flexure-based parallel XY micropositioning stage with millimeter workspace and high bandwidth[J]. Sensors and Actuators A: Physical, 2021, 331: 112899. doi: 10.1016/j.sna.2021.112899 [28] HOPKINS J B, CULPEPPER M L. Synthesis of multi-degree of freedom, parallel flexure system concepts via Freedom and Constraint Topology (FACT)–Part I: Principles[J]. Precision Engineering, 2010, 34(2): 259-270. doi: 10.1016/j.precisioneng.2009.06.008 [29] LING M X, CAO J Y, HOWELL L L, et al. Kinetostatic modeling of complex compliant mechanisms with serial-parallel substructures: a semi-analytical matrix displacement method[J]. Mechanism and Machine Theory, 2018, 125: 169-184. doi: 10.1016/j.mechmachtheory.2018.03.014 [30] LING M X, CAO J Y, PEHRSON N. Kinetostatic and dynamic analyses of planar compliant mechanisms via a two-port dynamic stiffness model[J]. Precision Engineering, 2019, 57: 149-161. doi: 10.1016/j.precisioneng.2019.04.004 -


下载: