Numerical study on flow and heat transfer of supercritical carbon dioxide under non-uniform heat flux influences
-
摘要:
针对部分极端工况下表面热流密度高、分布不均匀的特点,采用数值计算分析方法研究非均匀热流对超临界二氧化碳流动与换热特性的影响。针对内径为4 mm水平圆管内超临界压力二氧化碳的流动传热,依次在相同总热流不同变化斜率、不同总热流相同变化斜率的2组线性非均匀热流工况下进行数值模拟,得到线性非均匀热流工况下热物性分布、浮升力影响对流换热特性规律。仿真结果表明:相较于均匀热流,非均匀热流工况下加热段入口处附近上壁面传热恶化更严重,线性非均匀热流分布下该处管壁温度可达均匀热流工况下的1.85倍;对给定的实际表面热流边界条件下的超临界二氧化碳流动换热进行数值仿真,加热段入口处上壁面最大温度达出口温度的3.41倍,改变流动方向后这一比值降低到1.50,据此对采取超临界二氧化碳为工质的相关冷却方案给出了建议。
Abstract:In some extreme conditions, heat flux with high density is non-uniformly distributed on the surface. To address this issue, this paper analyzed the influence of non-uniform heat flux on the flow and heat transfer characteristics of supercritical carbon dioxide by employing numerical calculation and analysis methods. Numerical simulations were sequentially performed to analyze the flow and heat transfer of supercritical carbon dioxide in a horizontal circular tube with a diameter of 4 mm under two sets of linear non-uniform heat flux conditions including the same total heat flux with different slopes, as well as different total heat fluxes with the same slope. The influence of the distribution of thermophysical properties and buoyancy lift on the convective heat transfer characteristics under linear non-uniform heat flux conditions was obtained. The simulation results show that the heat transfer of the upper wall near the entrance of the heating section under non-uniform heat flux conditions severely deteriorates compared with that under uniform heat flux. The maximum tube wall temperature under linear non-uniform heat flux is 1.66 times that under uniform heat flux. Furthermore, numerical simulations of flow and heat flux of supercritical carbon dioxide on a given actual surface heat flux boundary are carried out, and the maximum tube wall temperature at the entrance of the heating section is 3.41 times that at the outlet, while the ratio decreases to 1.50 when the flow direction changes. Relevant suggestions are offered for cooling solutions using supercritical carbon dioxide as a working medium.
-
Key words:
- non-uniform heat flux /
- supercritical fluids /
- carbon dioxide /
- convective heat transfer /
- buoyancy lift
-
表 1 非均匀度研究工况设置
Table 1. Conditions setting on non-uniformity
工况编号 q沿程分布/(kW·m−2) q平均值/(kW·m−2) 1 q=32.5 32.5 2 q=−8.125x+40.625 32.5 3 q=−16.25x+48.75 32.5 4 q=−24.375x+56.875 32.5 5 q=−32.5x+65 32.5 表 2 热流密度平均值工况设置
Table 2. Condition setting on average value of heat flux density
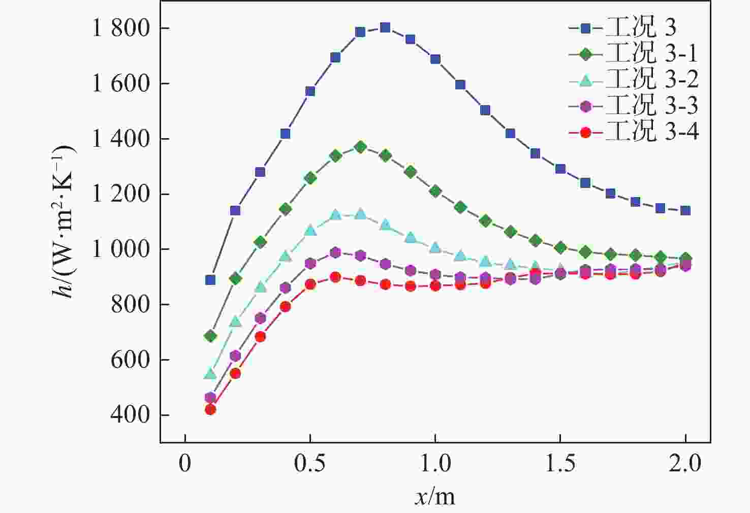
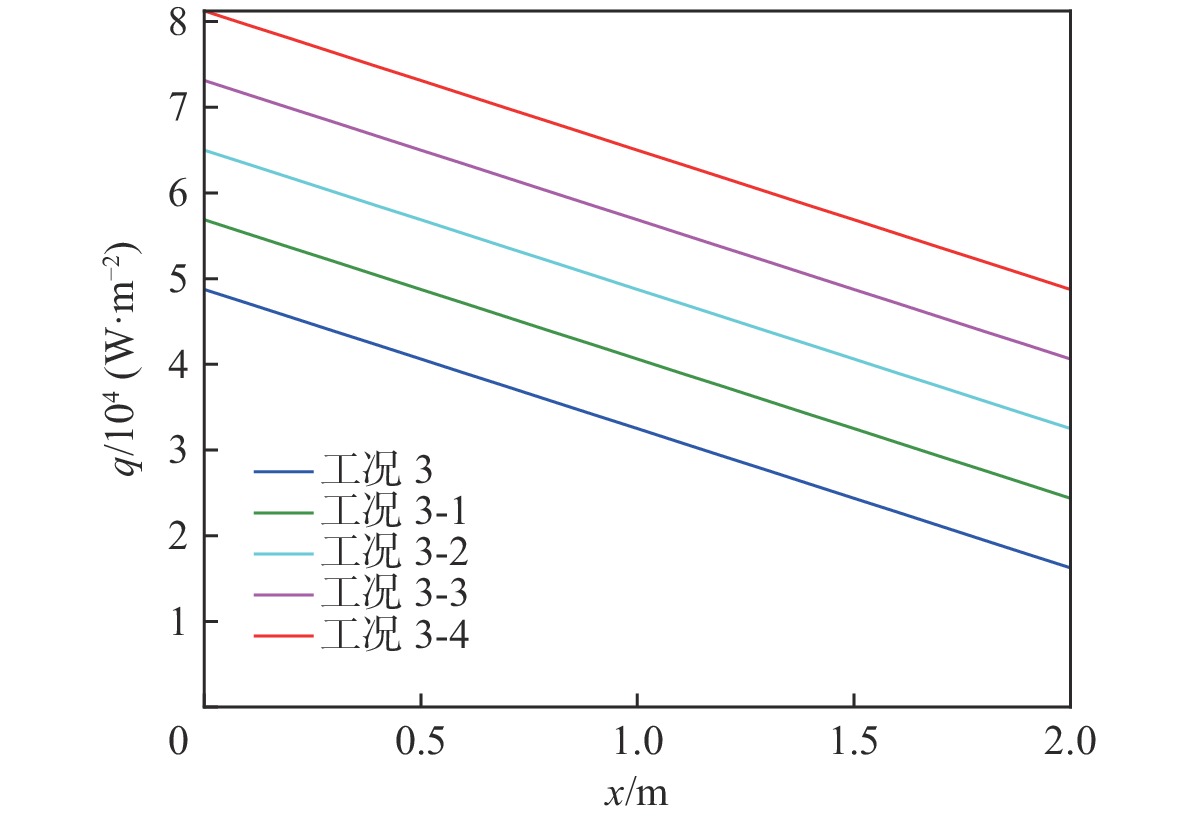
工况编号 q沿程分布/(kW·m−2) q平均值/(kW·m−2) 3 q=−16.25x+48.75 32.5 3-1 q=−16.25x+56.875 40.625 3-2 q=−16.25x+65 48.75 3-3 q=−16.25x+73.125 56.875 3-4 q=−16.25x+81.25 65 -
[1] ESKANDARI MANJILI F, CHERAGHI M. Performance of a new two-stage transcritical CO2 refrigeration cycle with two ejectors[J]. Applied Thermal Engineering, 2019, 156: 402-409. doi: 10.1016/j.applthermaleng.2019.03.083 [2] TSAI W C, WANG Y D. Progress of supercritical fluid technology in polymerization and its applications in biomedical engineering[J]. Progress in Polymer Science, 2019, 98: 101161. doi: 10.1016/j.progpolymsci.2019.101161 [3] LIU Y H, LI Q L, DUAN X L, et al. Thermodynamic analysis of a modified system for a 1000 MW single reheat ultra-supercritical thermal power plant[J]. Energy, 2018, 145: 25-37. doi: 10.1016/j.energy.2017.12.060 [4] FEWSTER J. Mixed forced and free convective heat transfer to supercritical pressure fluids flowing in vertical pipes[M]. Manchester: The University of Manchester Press, 1976: 11-19. [5] BRINGER R P, SMITH J M. Heat transfer in the critical region[J]. AIChE Journal, 1957, 3(1): 49-55. doi: 10.1002/aic.690030110 [6] BOYKO L D, KRUZHILIN G N. Heat transfer and hydraulic resistance during condensation of steam in a horizontal tube and in a bundle of tubes[J]. International Journal of Heat and Mass Transfer, 1967, 10(3): 361-373. doi: 10.1016/0017-9310(67)90152-4 [7] ADEBIYI G A, HALL W B. Experimental investigation of heat transfer to supercritical pressure carbon dioxide in a horizontal pipe[J]. International Journal of Heat and Mass Transfer, 1976, 19(7): 715-720. doi: 10.1016/0017-9310(76)90123-X [8] PIDAPARTI S R, MCFARLAND J A, MIKHAEIL M M, et al. Investigation of buoyancy effects on heat transfer characteristics of supercritical carbon dioxide in heating mode[J]. Journal of Nuclear Engineering and Radiation Science, 2015, 1(3): 031001. doi: 10.1115/1.4029592 [9] CHU X, LAURIEN E. Investigation of convective heat transfer to supercritical carbon dioxide with direct numerical simulation[C]//Proceedings of the High Performance Computing in Science and Engineering. Berlin: Springer, 2016: 315-331. [10] 淮秀兰, KOYAMA S. 微通道内超临界二氧化碳的压降与传热特性[J]. 工程热物理学报, 2004, 25(5): 843-845.HUAI X L, KOYAMA S. Heat transfer and pressure drop of supercritical carbon dioxide in multi-port channels[J]. Journal of Engineering Thermophysics, 2004, 25(5): 843-845 (in Chinese). [11] PALKO D, ANGLART H. Theoretical and numerical study of heat transfer deterioration in high performance light water reactor[J]. Science and Technology of Nuclear Installations, 2008, 2008: 405072. [12] 王军辉, 郭鹏程, 颜建国, 等. 水平小圆管内超临界二氧化碳对流传热特性的试验研究[J]. 西安理工大学学报, 2018, 34(3): 272-277.WANG J H, GUO P C, YAN J G, et al. Experimental studies on convection heat transfer of supercritical carbon dioxide in a horizontal circular mini-tube[J]. Journal of Xi’an University of Technology, 2018, 34(3): 272-277 (in Chinese). [13] 吴超, 李会雄, 张谦. 超临界流体水平管换热特性可视化研究[J]. 工程热物理学报, 2014, 35(5): 897-901.WU C, LI H X, ZHANG Q. Visualization experimental investigations of the heat transfer characteristics in a horizontal tube under supercritical pressure[J]. Journal of Engineering Thermophysics, 2014, 35(5): 897-901 (in Chinese). [14] KAO M T, LEE M, FERNG Y M, et al. Heat transfer deterioration in a supercritical water channel[J]. Nuclear Engineering and Design, 2010, 240(10): 3321-3328. doi: 10.1016/j.nucengdes.2010.06.028 [15] JACKSON J D. Fluid flow and convective heat transfer to fluids at supercritical pressure[J]. Nuclear Engineering and Design, 2013, 264: 24-40. doi: 10.1016/j.nucengdes.2012.09.040 [16] BAE Y Y, KIM H Y, KANG D J. Forced and mixed convection heat transfer to supercritical CO2 vertically flowing in a uniformly-heated circular tube[J]. Experimental Thermal and Fluid Science, 2010, 34(8): 1295-1308. doi: 10.1016/j.expthermflusci.2010.06.001 [17] KIM D E, KIM M H. Experimental investigation of heat transfer in vertical upward and downward supercritical CO2 flow in a circular tube[J]. International Journal of Heat and Fluid Flow, 2011, 32(1): 176-191. doi: 10.1016/j.ijheatfluidflow.2010.09.001 [18] KIM D E, KIM M H. Two layer heat transfer model for supercritical fluid flow in a vertical tube[J]. The Journal of Supercritical Fluids, 2011, 58(1): 15-25. doi: 10.1016/j.supflu.2011.04.014 [19] JIANG P X, ZHANG Y, SHI R F. Experimental and numerical investigation of convection heat transfer of CO2 at super-critical pressures in a vertical mini tube[C]//Proceedings of the ASME 4th International Conference on Nanochannels, Microchannels, and Minichannels. New York: ASMEDC, 2006: 583-590. [20] JIANG P X, SHI R F, XU Y J, et al. Experimental investigation of flow resistance and convection heat transfer of CO2 at supercritical pressures in a vertical porous tube[J]. The Journal of Supercritical Fluids, 2006, 38(3): 339-346. doi: 10.1016/j.supflu.2005.12.004 [21] JIANG P X, ZHANG Y, XU Y J, et al. Experimental and numerical investigation of convection heat transfer of CO2 at supercritical pressures in a vertical tube at low Reynolds numbers[J]. International Journal of Thermal Sciences, 2008, 47(8): 998-1011. doi: 10.1016/j.ijthermalsci.2007.08.003 [22] JIANG P X, LIU B, ZHAO C R, et al. Convection heat transfer of supercritical pressure carbon dioxide in a vertical micro tube from transition to turbulent flow regime[J]. International Journal of Heat and Mass Transfer, 2013, 56(1-2): 741-749. doi: 10.1016/j.ijheatmasstransfer.2012.08.038 [23] JIANG P X, XU Y J, LV J, et al. Experimental investigation of convection heat transfer of CO2 at super-critical pressures in vertical mini-tubes and in porous media[J]. Applied Thermal Engineering, 2004, 24(8-9): 1255-1270. doi: 10.1016/j.applthermaleng.2003.12.024 [24] ZHAO C R, LIU Q F, ZHANG Z, et al. Investigation of buoyancy-enhanced heat transfer of supercritical CO2 in upward and downward tube flows[J]. The Journal of Supercritical Fluids, 2018, 138: 154-166. doi: 10.1016/j.supflu.2018.03.014 [25] ZHANG S J, XU X X, LIU C, et al. Experimental and numerical comparison of the heat transfer behaviors and buoyancy effects of supercritical CO2 in various heating tubes[J]. International Journal of Heat and Mass Transfer, 2020, 149: 119074. doi: 10.1016/j.ijheatmasstransfer.2019.119074 [26] LEMMON E W, HUBER M L, MCLINDEN M O. NIST standard reference database 23[S]. Washington, D. C. : National Institute of Standards and Technology, 2010. [27] CHENG X, KUANG B, YANG Y H. Numerical analysis of heat transfer in supercritical water cooled flow channels[J]. Nuclear Engineering and Design, 2007, 237(3): 240-252. doi: 10.1016/j.nucengdes.2006.06.011 [28] YANG J, OKA Y, ISHIWATARI Y, et al. Numerical investigation of heat transfer in upward flows of supercritical water in circular tubes and tight fuel rod bundles[J]. Nuclear Engineering and Design, 2007, 237(4): 420-430. doi: 10.1016/j.nucengdes.2006.08.003 [29] DU Z X, LIN W S, GU A Z. Numerical investigation of cooling heat transfer to supercritical CO2 in a horizontal circular tube[J]. The Journal of Supercritical Fluids, 2010, 55(1): 116-121. doi: 10.1016/j.supflu.2010.05.023 [30] 陈玮玮. 管内超临界流动传热特性及应用研究[D]. 南京: 南京亚洲成人在线一二三四五六区, 2016: 17-18.CHEN W W. Research on the heat transfer characteristics and application of In-tube supercritical flow[D]. Nanjing: Nanjing University of Aeronautics and Astronautics, 2016: 17-18 (in Chinese) . [31] HE S, KIM W S, JIANG P X, et al. Simulation of mixed convection heat transfer to carbon dioxide at supercritical pressure[J]. Journal of Mechanical Engineering Science, 2004, 218(11): 1281-1296. doi: 10.1177/095440620421801101 [32] 杨世铭, 陶文铨. 传热学[M]. 4版. 北京: 高等教育出版社, 2006: 99-117.YANG S M, TAO W Q. Heat transfer[M]. 4th ed. Beijing: Higher Education Press, 2006: 99-117 (in Chinese). [33] PETUKHOV B S, POLYAKOV A F, KULESHOV V A, et al. Turbulent flow and heat transfer in horizontal tubes with substantial influence of thermogravitational forces[C]//Proceeding of the International Heat Transfer Conference 5. Connecticut: Begellhouse, 1974: 3-7. [34] JACKSON J D. Influences of buoyancy on heat transfer to fluids flowing in vertical tubes under turbulent conditions[J]. Turbulent Forced Convection in Channels and Bundles, 1979, 2: 613-640. [35] KIM D E, KIM M H. Experimental study of the effects of flow acceleration and buoyancy on heat transfer in a supercritical fluid flow in a circular tube[J]. Nuclear Engineering and Design, 2010, 240 (10): 3336-3349. [36] 吕海财, 赵金乐, 潘辉, 等. 超临界CO2水平管内浮升力和热加速效应评判准则[J]. 西安交通大学学报, 2018, 52(9): 140-147.LYU H C, ZHAO J L, PAN H, et al. Evaluation criterion of buoyancy and thermal acceleration behavior of supercritical CO2 in a horizontal circle tube[J]. Journal of Xi’an Jiaotong University, 2018, 52(9): 140-147 (in Chinese). [37] WANG K Z, XU X X, WU Y Y, et al. Numerical investigation on heat transfer of supercritical CO2 in heated helically coiled tubes[J]. The Journal of Supercritical Fluids, 2015, 99: 112-120. doi: 10.1016/j.supflu.2015.02.001 [38] 孙健, 刘伟强. 高超声速飞行器热管冷却前缘结构一体化建模分析[J]. 物理学报, 2013, 62(7): 239-246.SUN J, LIU W Q. Investigation on integral model of heat-pipe-cooled leading edge of hypersonic vehicle[J]. Acta Physica Sinica, 2013, 62(7): 239-246 (in Chinese). -


下载: