-
摘要:
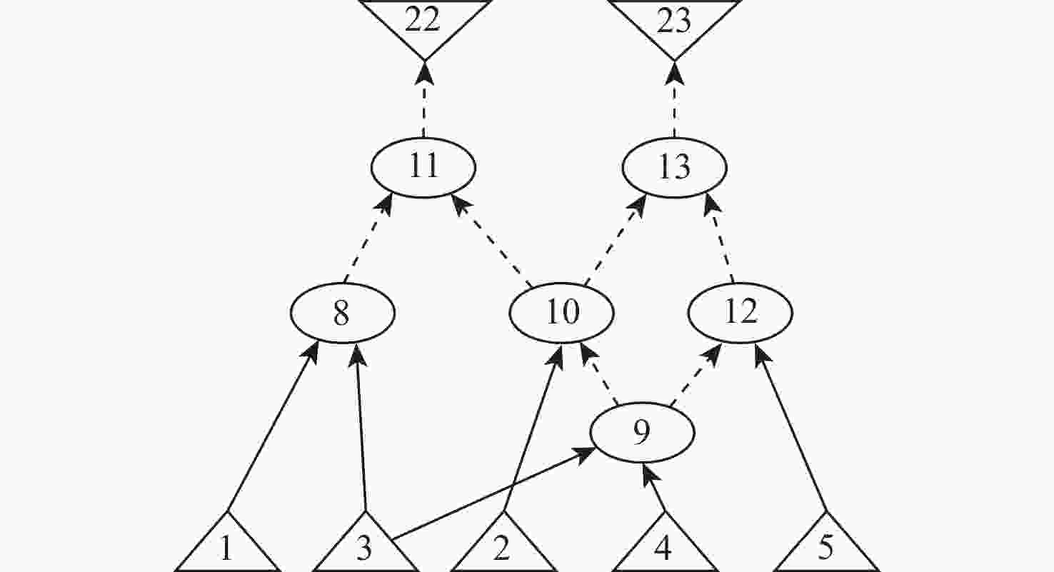
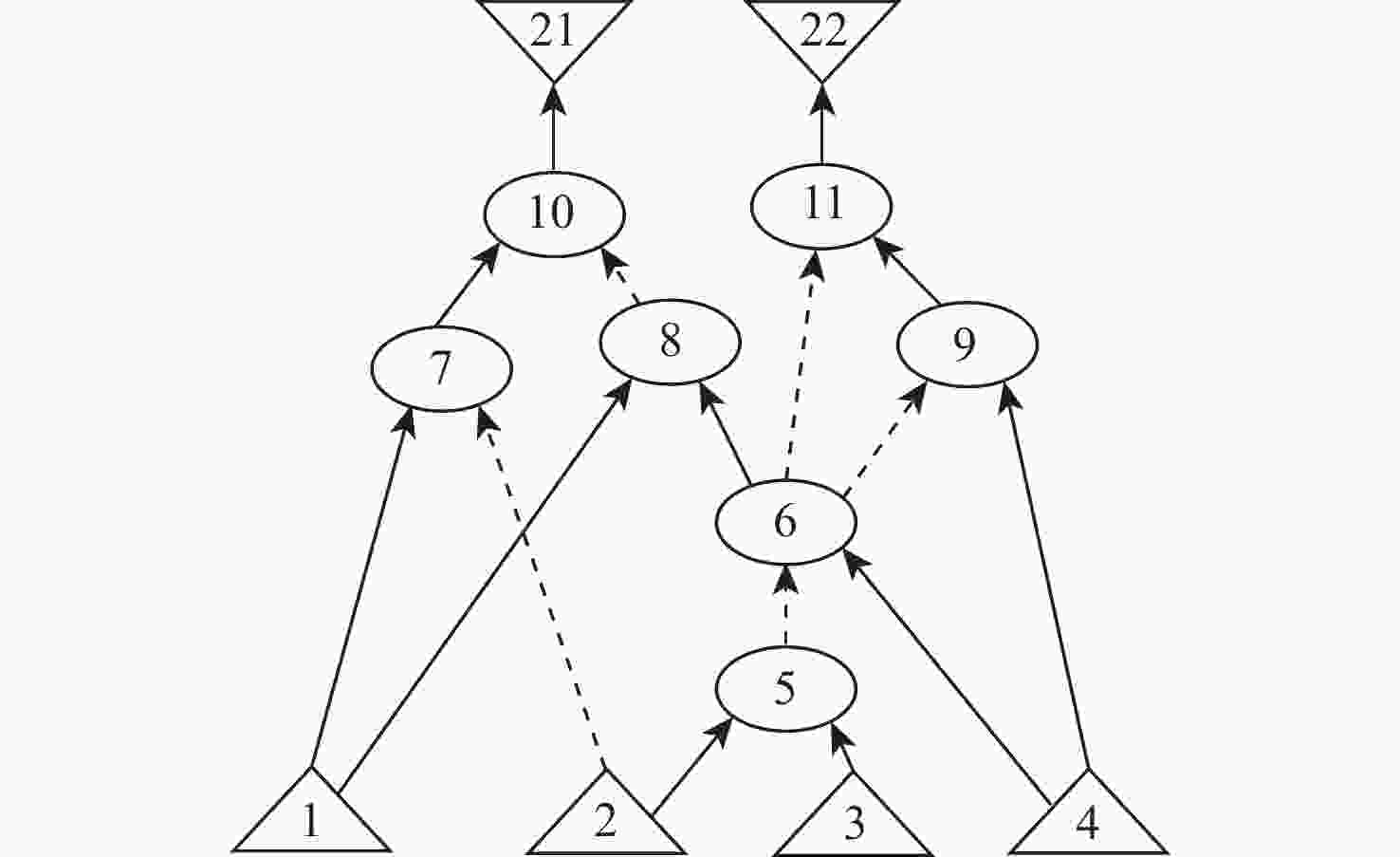
针对现有多级逻辑近似优化算法在大型电路优化时无法较好兼顾优化效果与算法速度的问题,提出一种基于常量替换的多级逻辑电路面积优化算法。该算法通过在与非图(AIG)中引入节点输出距离、常量传输距离等参数,并结合提出的多扇出节点常量替换过程中错误率控制方法,在全局范围内提取合适替换的候选节点集和每个候选节点输出的常量替换值;同时,通过根据电路规模选取不同的错误率计算方法等策略,实现了错误率约束下的多级逻辑电路面积近似优化并使算法速度得到提高。所提算法用C语言和ABC内置命令编程实现,使用EPFL及MCNC电路进行测试。实验结果表明:所提算法与已提出的常量替换方法相比,面积优化效果提升48.77%;相较于近似关心集重代换的近似逻辑综合(ALSRAC)优化算法,所提算法在面积优化和运算时间上分别有1.28%和60.91%的提升。
Abstract:According to the reported multi-level logic approximation optimization algorithm which can not balance the optimization effect and working speed well for largecircuits. It is proposed to use constant substitution in conjunction with and-inverter-graph (AIG) to optimize the logic at multiple levels for circuit areas. A set of candidate nodes to be replaced and a constant value for the node to be replaced are determined by employing the proposed error rate control technique of constant substitution of multiple fan-out nodes and a number of parameters known as node output distance, constant transmission distance, and so forth. Furthermore, according to the circuit size, different error rate calculation methods are selected to improve the speed of the algorithm. The proposed algorithm is programmed in C and implemented with the ABC tool and tested with EPFL and MCNC bench-marks. The experimental results show, compared with the report's similar methods, the proposed algorithm can save 48.77% area. When compared to approximate logic synthesis by resubstitution with approximate care (ALSRAC), this method achieves a 1.28% increase in area optimization and a 60.91% reduction in running time.
-
表 1 本文使用的MCNC和EPFL测试电路参数
Table 1. Parameters of MCNC and EPFL benchmarks used in this paper
MCNC 电路输入端口数量 电路输出端口数量 初始面积 EPFL 电路输入端口数量 电路输出端口数量 初始面积 cm163 16 5 61 arbiter 25 129 23366 z4ml 7 4 61 cavlc 10 11 1124 alu2 10 6 636 ctrl 7 26 204 frg1 28 3 179 dec 8 256 649 alu4 14 8 1158 i2c 147 142 2103 unreg 36 16 163 int2float 11 7 379 x2 10 7 74 mem_ctrl 1204 1231 79153 count 35 16 203 priority 128 8 1270 term1 34 10 276 router 60 30 316 voter 1001 1 16240 电路名称 面积优化 延时优化 错误率 文献[10] 本文算法 文献[10] 本文算法 文献[10] 本文算法 cm163 53.85 68.85 47.37 67.48 21.00 24.82 z4ml 0.00 42.62 0.00 27.72 0.00 24.99 alu2 9.09 57.70 0.00 46.02 24.00 24.43 frg1 2.49 98.32 0.00 95.58 16.00 24.32 alu4 6.01 50.09 0.00 26.91 22.00 24.76 unreg 0.00 34.36 0.00 0.00 0.00 24.99 x2 10.81 72.27 1.72 38.46 12.00 24.25 count 57.85 58.13 79.45 80.62 24.00 24.77 term1 46.73 93.12 27.03 78.72 7.00 19.28 电路名称 面积优化/% 耗时/s 文献[11] 本文算法 文献[11] 本文算法 arbiter 90.15 90.79 9015.06 8593.68 cavlc 5.70 7.47 375.57 67.05 ctrl 3.80 4.90 2.24 3.67 dec 0.62 0.62 8.45 10.06 i2c 31.59 37.95 189.50 176.49 int2float 16.30 23.48 10.86 51.71 mem_ctrl 62.66 > 86400 .002278.56 priority 96.92 98.27 14.95 36.89 router 100.00 98.73 2.00 0.18 voter 5.72 0.09 13504.23 177.04 -
[1] WALDROP M M. The chips are down for Moore’s law[J]. Nature, 2016, 530(7589): 144-147. doi: 10.1038/530144a [2] HAN J, ORSHANSKY M. Approximate computing: An emerging paradigm for energy-efficient design[C]//Proceedings of the 18th IEEE European Test Symposium. Piscataway: IEEE Press, 2013: 1-6. [3] SCARABOTTOLO I, ANSALONI G, CONSTANTINIDES G A, et al. A formal framework for maximum error estimation in approximate logic synthesis[J]. IEEE Transactions on Computer-Aided Design of Integrated Circuits and Systems, 2022, 41(4): 840-853. doi: 10.1109/TCAD.2021.3075651 [4] SCARABOTTOLO I, ANSALONI G, CONSTANTINIDES G A, et al. Approximate logic synthesis: A survey[J]. Proceedings of the IEEE, 2020, 108(12): 2195-2213. doi: 10.1109/JPROC.2020.3014430 [5] PASANDI G, NAZARIAN S, PEDRAM M. Approximate logic synthesis: A reinforcement learning-based technology mapping approach[C]//Proceedings of the 20th International Symposium on Quality Electronic Design. Piscataway: IEEE Press, 2019: 26-33. [6] ZHOU Z Z, YAO Y, HUANG S Y, et al. DALS: Delay-driven approximate logic synthesis[C]//Proceedings of the IEEE/ACM International Conference on Computer-Aided Design. Piscataway: IEEE Press, 2018: 1-7. [7] VENKATARAMANI S, ROY K, RAGHUNATHAN A. Substitute-and-simplify: A unified design paradigm for approximate and quality configurable circuits[C]//Proceedings of the Design, Automation & Test in Europe Conference & Exhibition. Piscataway: IEEE Press, 2013: 1367-1372. [8] SU S B, WU Y, QIAN W K. Efficient batch statistical error estimation for iterative multi-level approximate logic synthesis[C]//Proceedings of the 55th ACM/ESDA/IEEE Design Automation Conference. Piscataway: IEEE Press, 2018: 1-6. [9] PASANDI G, PETERSON M, HERRERA M, et al. Deep-PowerX: A deep learning-based framework for low-power approximate logic synthesis[C]//Proceedings of the ACM/IEEE International Symposium on Low Power Electronics and Design. New York: ACM, 2020: 73-78. [10] CHANDRASEKHARAN A, SOEKEN M, GROßE D, et al. Approximation-aware rewriting of AIGs for error tolerant applications[C]//Proceedings of the 35th International Conference on Computer-Aided Design. New York: ACM, 2016: 1-8. [11] MENG C, QIAN W K, MISHCHENKO A. ALSRAC: Approximate logic synthesis by resubstitution with approximate care set[C]//Proceedings of the 57th ACM/IEEE Design Automation Conference. Piscataway: IEEE Press, 2020: 1-6. [12] WU Y, QIAN W K. ALFANS: Multilevel approximate logic synthesis framework by approximate node simplification[J]. IEEE Transactions on Computer-Aided Design of Integrated Circuits and Systems, 2020, 39(7): 1470-1483. doi: 10.1109/TCAD.2019.2915328 [13] SU S B, MENG C, YANG F, et al. VECBEE: A versatile efficiency-accuracy configurable batch error estimation method for greedy approximate logic synthesis[J]. IEEE Transactions on Computer-Aided Design of Integrated Circuits and Systems, 2022, 41(11): 5085-5099. [14] BRAND D. Verification of large synthesized designs[C]//Proceedings of the International Conference on Computer Aided Design. Piscataway: IEEE Press, 1993: 534-537. [15] BRYANT. Graph-based algorithms for Boolean function manipulation[J]. IEEE Transactions on Computers, 1986, C-35(8): 677-691. doi: 10.1109/TC.1986.1676819 [16] MISHCHENKO A, CHATTERJEE S, BRAYTON R. DAG-aware AIG rewriting: A fresh look at combinational logic synthesis[C]//Proceedings of the 43rd ACM/IEEE Design Automation Conference. Piscataway: IEEE Press, 2006: 532-535. [17] BRAYTON R, MISHCHENKO A. ABC: An academic industrial-strength verification tool[C]//International Conference on Computer Aided Verification. Berlin: Springer, 2010: 24-40. -


下载: