-
摘要:
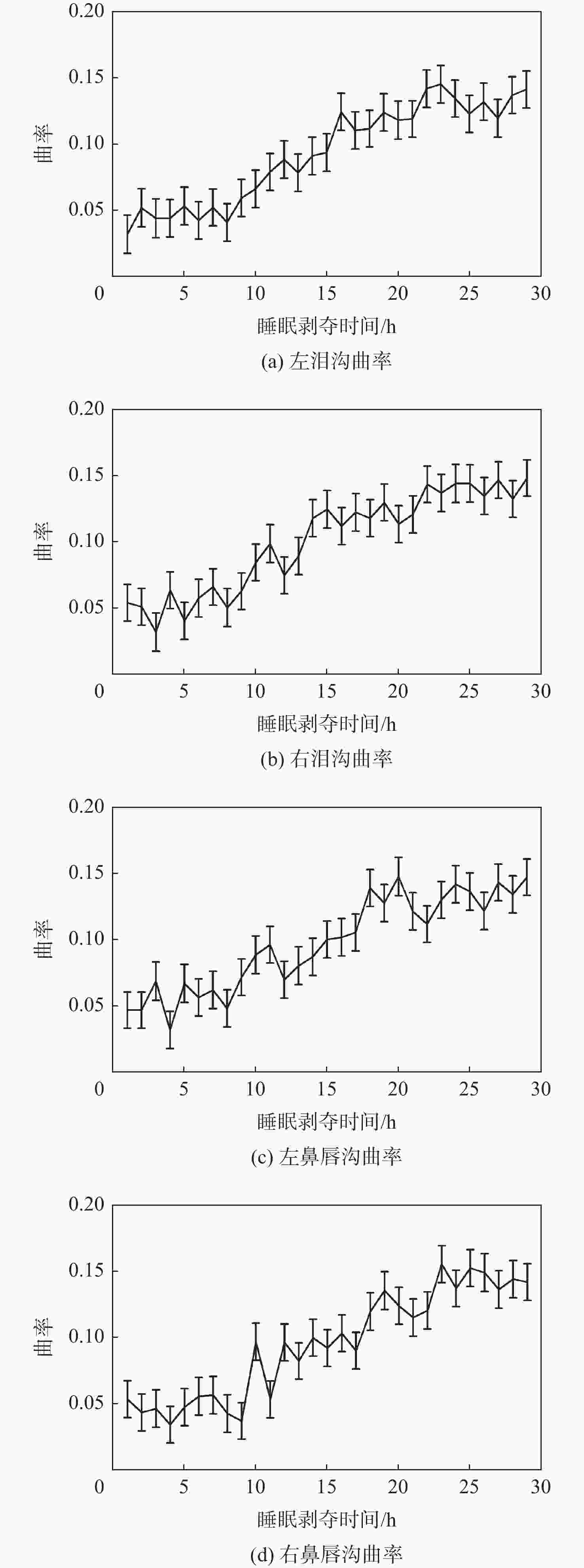
睡眠不足、生理节律紊乱是导致交通运输岗位人员疲劳的重要因素,随着值勤“刷脸”技术的兴起,及时识别岗位人员疲劳状态是安全风险防范关口前移的必要举措。为深入探索面部疲劳的三维变化,通过30 h睡眠剥夺实验,基于主成分分析 (PCA) 法融合面部双侧曲率特征,提出皱纹严重程度指数(WSI),结合主观疲劳评估、精神运动警觉度测试和客观心率(HR)监测方法,综合判断受试者的面部疲劳程度。结果表明:在睡眠剥夺条件下,WSI变化和疲劳的波动特征明显,整体呈逐渐升高趋势;30 h实验数据显示,WSI变化和主观疲劳指数、反应时的波动趋势有较强相关性(
P <0.01)和HR的波动趋势有一定的关联性(P <0.05)。基于WSI指数将疲劳划分为4个等级,从三维生理特征的角度验证面部疲劳静态检测的可行性,研究结果为疲劳快速检测技术提供了新思路。Abstract:Sleep deprivation and circadian rhythm disorder are important factors affecting the fatigue of transportation staff. In order to advance the safety risk prevention threshold, it is now vital to identify staff fatigue concurrently with the advent of "face brushing" technology while on duty. This study uses the 30 h sleep deprivation experiment to further explore the three-dimensional changes of facial fatigue. Based on the fusion of facial bilateral curvature characteristics and principal component analysis (PCA), it proposes the wrinkles severity index (WSI), which when paired with the objective heart rate (HR) monitoring method, psychomotor vigilance test, and subjective fatigue assessment, integrated subjects' facial fatigue judgment. The results showed that under the condition of sleep deprivation, the WSI changes and fatigue fluctuated significantly, and the overall trend was gradually increasing. The results of the 30 h trial revealed a high correlation between the change in WSI and the trends in subjective tiredness index, response time (
P <0.01), and HR (P <0.05). Based on the WSI index, the fatigue was divided into four grades, and the feasibility of static detection of facial fatigue was verified from the perspective of three-dimensional physiological characteristics. The results provided a new idea for rapid fatigue detection technology.-
Key words:
- facial features /
- fatigue detection /
- sleep deprivation /
- three-dimensional modeling /
- circadian rhythm
-
表 1 面部特征点坐标
Table 1. Facial feature point coordinates
mm 序号 x y z 序号 x y z 1 −19.97 28.43 −338.2 6 −22.77 25.61 −338 2 −20.53 27.87 −338.2 7 −23.33 25.04 −338 3 −21.09 27.3 −338.2 8 −23.9 24.49 −338.1 4 −21.65 26.73 −338.1 9 −24.46 23.93 −338.1 5 −22.21 26.17 −338 10 −25.03 23.37 −338.2 表 2 PCA的总方差解释
Table 2. Total variance interpretation of PCA
新特征 成分 总计 方差百分比/% 初始
特征值提取载荷
平方和初始
特征值提取载荷
平方和0.979 1 3.739 3.739 93.485 93.485 0.965 2 0.118 2.95 0.956 3 0.092 2.297 0.967 4 0.051 1.269 表 3 疲劳指标的统计分析
Table 3. Statistical analysis of fatigue index
指标 β 相关性 WSI KSS RT HR WSI 0.971 1 0.904** 0.961** 0.407* KSS 0.887 0.904** 1 0.875** 0.527** RT 0.982 0.961** 0.875** 1 0.404* HR 0.489 0.407* 0.527** 0.404* 1 注:**表示P<0.01,*表示P<0.05。 表 4 基于WSI的疲劳等级划分
Table 4. Fatigue grade classification based on WSI
疲劳等级 WSI 等级描述 具体表现 1 0~0.15 精力充沛 注意程度高,
精神饱满,
面部皱纹肉眼不可见2 0.15~0.25 轻度疲劳 注意程度一般,
稍觉疲倦,
面部皱纹较浅3 0.25~0.28 中度疲劳 注意程度较低,
非常疲倦,
面部皱纹加深4 0.28以上 重度疲劳 注意程度极低,
非常疲倦想睡觉,
面部皱纹很深 -
[1] SKALA F, ZEMKOVÁ E. Effects of acute fatigue on cognitive performance in team sport players: Does it change the way they perform? A scoping review[J]. Applied Sciences, 2022, 12(3): 1736. doi: 10.3390/app12031736 [2] VAN DEN BERG M J, WU L J, GANDER P H. Subjective measurements of In-flight sleep, circadian variation, and their relationship with fatigue[J]. Aerospace Medicine and Human Performance, 2016, 87(10): 869-875. doi: 10.3357/AMHP.4587.2016 [3] SUNDELIN T, LEKANDER M, KECKLUND G, et al. Cues of fatigue: Effects of sleep deprivation on facial appearance[J]. Sleep, 2013, 36(9): 1355-1360. doi: 10.5665/sleep.2964 [4] HOLDING B C, SUNDELIN T, CAIRNS P, et al. The effect of sleep deprivation on objective and subjective measures of facial appearance[J]. Journal of Sleep Research, 2019, 28(6): e12860. doi: 10.1111/jsr.12860 [5] 靳慧斌, 于桂花, 刘海波. 瞳孔直径检测管制疲劳的有效性分析[J]. 北京亚洲成人在线一二三四五六区学报, 2018, 44(7): 1402-1407.JIN H B, YU G H, LIU H B. Effectiveness analysis of pupil diameter detection for air traffic controller’s fatigue[J]. Journal of Beijing University of Aeronautics and Astronautics, 2018, 44(7): 1402-1407 (in Chinese). [6] LIM T J, LEONG H Y, JIA Y P, et al. Eye fatigue algorithm for driver drowsiness detection system[M]. Berlin: Springer, 2021: 638-652. [7] MUHIMMAH I, ABRIYANI F, KURNIAWARDHANI A. Automatic wrinkles detection on face image[J]. IOP Conference Series: Materials Science and Engineering, 2019, 482: 012026. doi: 10.1088/1757-899X/482/1/012026 [8] ELBASHIR R M, HOON YAP M. Evaluation of automatic facial wrinkle detection algorithms[J]. Journal of Imaging, 2020, 6(4): 17. doi: 10.3390/jimaging6040017 [9] SABINA U, WHANGBO T K. Edge-based effective active appearance model for real-time wrinkle detection[J]. Skin Research and Technology: Official Journal of International Society for Bioengineering and the Skin and International Society for Digital Imaging of Skin and International Society for Skin Imaging, 2021, 27(3): 444-452. [10] LIEW S, DE SILVA D. Tear trough and lid–cheek junction anatomy: Current understanding and nonsurgical treatment[J]. Facial Plastic Surgery, 2022, 38(2): 143-151. doi: 10.1055/s-0041-1741498 [11] MAGNUSSON M R. Commentary on: Three-dimensional description of the angular artery in the nasolabial fold[J]. Aesthetic Surgery Journal, 2021, 41(6): 705-706. doi: 10.1093/asj/sjaa200 [12] SEE M S, FOXTON M R, MIEDZIANOWSKI-SINCLAIR N A, et al. Stereophotogrammetric measurement of the nasolabial fold in repose: A study of age and posture-related changes[J]. European Journal of Plastic Surgery, 2007, 29(8): 387-393. doi: 10.1007/s00238-007-0123-0 [13] SADICK N S, BOSNIAK S L, CANTISANO-ZILKHA M, et al. Definition of the tear trough and the tear trough rating scale[J]. Journal of Cosmetic Dermatology, 2007, 6(4): 218-222. [14] ARTHUR C A, HASSAN A S. Tear trough depth and quality across age groups: A cross-sectional study[J]. European Journal of Plastic Surgery, 2022, 45(1): 65-72. [15] 李敬强, 王庆福, 张璐, 等. 不同睡眠类型选择性注意在睡眠剥夺中内稳态与昼夜节律研究[J]. 生物医学工程学杂志, 2022, 39(2): 248-256. doi: 10.7507/1001-5515.202110083LI J Q, WANG Q F, ZHANG L, et al. Study on homeostasis and circadian rhythm of attention performance of different chronotypes in sleep deprivation[J]. Journal of Biomedical Engineering, 2022, 39(2): 248-256 (in Chinese). doi: 10.7507/1001-5515.202110083 [16] SHAHID A, WILKINSON K, MARCU S, et al. Stanford sleepiness scale (SSS)[M]. New York: Springer New York, 2011: 369-370. [17] DINGES D F, POWELL J W. Microcomputer analyses of performance on a portable, simple visual RT task during sustained operations[J]. Behavior Research Methods, Instruments, & Computers, 1985, 17(6): 652-655. [18] RODHEIM K, JUNG C, WRIGHT K. 016 associations between circadian melatonin and temperature amplitudes during constant routine[J]. Sleep, 2021, 44(S2): A8. [19] 汪锡, 王远, 许杨, 等. 非肥胖健康成人静息代谢率预测公式准确性研究[J]. 北京生物医学工程, 2017, 36(6): 607-613. doi: 10.3969/j.issn.1002-3208.2017.06.010WANG X, WANG Y, XU Y, et al. Accuracy of predictive equations for resting metabolic rate in non-obese healthy Chinese adults[J]. Beijing Biomedical Engineering, 2017, 36(6): 607-613 (in Chinese). doi: 10.3969/j.issn.1002-3208.2017.06.010 [20] PUTZ P, KOGLER B, BERSENKOWITSCH I. Reliability and validity of assessing energy and nutrient intake with the Vienna food record: A cross-over randomised study[J]. Nutrition Journal, 2019, 18(1): 1-10. doi: 10.1186/s12937-018-0428-9 [21] 马龙, 徐泓悦, 胡艳敏, 等. 基于投影条纹级次识别的发动机叶片三维测量方法[J]. 激光与光电子学进展, 2018, 55(4): 041201.MA L, XU H Y, HU Y M, et al. Three-dimensional measurement method of aero-engine blades based on projected fringe order identification[J]. Laser & Optoelectronics Progress, 2018, 55(4): 041201 (in Chinese). [22] CHARYTANOWICZ K, CIEŚLAK W, MOZGAWA W. A generalization of the total mean curvature[J]. Rendiconti Del Seminario Matematico Della Università Di Padova, 2021, 146: 223-231. [23] FAIRAG F, CHEN K, BRITO-LOEZA C, et al. A two-level method for image denoising and image deblurring models using mean curvature regularization[J]. International Journal of Computer Mathematics, 2022, 99(4): 693-713. doi: 10.1080/00207160.2021.1929939 [24] ZHENG J W, RAKOVSKI C. On the application of principal component analysis to classification problems[J]. Data Science Journal, 2021, 20(1): 26. [25] ANTLER C A, YAMAZAKI E M, CASALE C E, et al. The 3-minute psychomotor vigilance test demonstrates inadequate convergent validity relative to the 10-minute psychomotor vigilance test across sleep loss and recovery[J]. Frontiers in Neuroscience, 2022, 16(2): 815697. [26] 王海玮, 温惠英, 刘敏. 夜间环境驾驶员精神负荷的生理特性评估与实验[J]. 吉林大学学报(工学版), 2017, 47(2): 420-428.WANG H W, WEN H Y, LIU M. Experimental evaluation of nighttime driver’s physiological characteristics in driving simulator[J]. Journal of Jilin University (Engineering and Technology Edition), 2017, 47(2): 420-428 (in Chinese). [27] PAN L Y, MAI Z F, WANG J H, et al. Altered vigilant maintenance and reorganization of rich-clubs in functional brain networks after total sleep deprivation[J]. Cerebral Cortex, 2023, 33(4): 1140-1154. doi: 10.1093/cercor/bhac126 [28] THOMAS S J. Sleep deprivation: Time to intervene[J]. Sleep Medicine, 2021, 86(10): 116-117. [29] ROHRICH R J, AVASHIA Y J, SAVETSKY I L. Prediction of facial aging using the facial fat compartments[J]. Plastic and Reconstructive Surgery, 2021, 147(1S-2): 38-42. doi: 10.1097/PRS.0000000000007624 [30] WONG C H, HSIEH M K H, MENDELSON B. The tear trough ligament: Anatomical basis for the tear trough deformity[J]. Plastic and Reconstructive Surgery, 2012, 129(6): 1392-1402. doi: 10.1097/PRS.0b013e31824ecd77 [31] HUR M S, O J, YANG H M, et al. Heights and spatial relationships of the facial muscles acting on the nasolabial fold by dissection and three-dimensional microcomputed tomography[J]. PLoS One, 2020, 15(8): e0237043. doi: 10.1371/journal.pone.0237043 [32] BANI ISSA W, ABDUL RAHMAN H, ALBLUWI N, et al. Morning and evening salivary melatonin, sleepiness and chronotype: A comparative study of nurses on fixed day and rotating night shifts[J]. Journal of Advanced Nursing, 2020, 76(12): 3372-3384. doi: 10.1111/jan.14530 [33] KUSZTOR A, RAUD L, JUEL B E, et al. Sleep deprivation differentially affects subcomponents of cognitive control[J]. Sleep, 2019, 42(4): zsz016. [34] VASEY C, MCBRIDE J, PENTA K. Circadian rhythm dysregulation and restoration: The role of melatonin[J]. Nutrients, 2021, 13(10): 3480. doi: 10.3390/nu13103480 [35] MAIRE M, REICHERT C F, GABEL V, et al. Human brain patterns underlying vigilant attention: Impact of sleep debt, circadian phase and attentional engagement[J]. Scientific Reports, 2018, 8: 970. doi: 10.1038/s41598-017-17022-9 [36] CRAIG A, TRAN Y, WIJESURIYA N, et al. Regional brain wave activity changes associated with fatigue[J]. Psychophysiology, 2012, 49(4): 574-582. doi: 10.1111/j.1469-8986.2011.01329.x [37] AHMED T, WILSON D. Exploiting circadian memory to hasten recovery from circadian misalignment[J]. Chaos, 2021, 31(7): 073130. doi: 10.1063/5.0053441 -


下载: