-
摘要:
登机门是民用飞机舱门中的一个重要部件,其直接影响民用客机结构、功能的完整性和安全性。根据项目研制的需要,针对MA600飞机登机门无阻尼式自由下落导致登机门转轴及舱门损坏的问题进行原因分析,设计了一种限制登机门下落速度的新型开启限速装置。在CATIA中建立了包括登机门、登机梯、开启限速装置在内的虚拟样机模型,在MSC/ADAMS中对安装和未安装开启限速装置的登机门自由坠落进行动力学仿真分析,分析了产品不同设计参数对登机门自由坠落时间的影响,确定出了最优的结构参数,仿真结果表明:所设计的限速装置能够将登机门的坠落时间限制在6 s,有效减少登机门坠落对门体结构冲击,为后续的样件产出和试验提供理论依据。
Abstract:The passenger door is an important part of the cabin door mechanism of civil aircraft, which directly affects the integrity and safety of the aircraft structure and function. A new opening and limiting device was created to control the falling speed of the passenger door after the causes of the damage to the rotating shaft of the door during the undamped free fall of the MA600 aircraft were investigated in accordance with the needs of the engineering project development. In CATIA, the open speed limiter, passenger door and boarding ladder, and virtual prototype model of the MSC/ADAMS are installed to analyze the dynamics of free falling gate opening speed limiter analysis. The simulation results demonstrate that the designed speed-limiting mechanism can limit the falling time of the gate to 6 s, effectively reduce the impact of the gate falling on the gate structure, and provide a theoretical basis for the sample output and test.
-
表 1 登机门和梯子的参数
Table 1. Parameters of passenger door and ladder
登机门和梯子质量/kg Ixx/(kg·m−2) Iyy/(kg·m−2) Izz/(kg·m−2) 90 7.913×106 2.353×106 9.637×106 表 2 仿真模型的运动副
Table 2. Motion pair of the simulation model
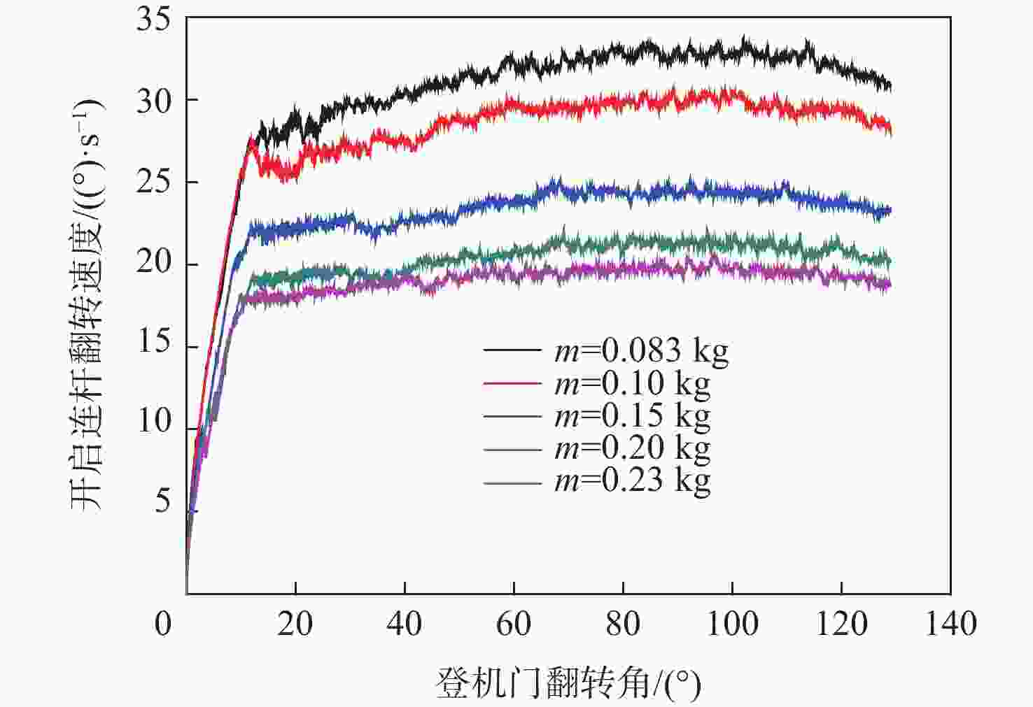
构件1 构件2 约束关系 机身 登机门 旋转副 登机门 液压作动筒 旋转副 登机门 开启连杆1 旋转副 开启连杆1 开启连杆2 旋转副 开启连杆2 固定座 旋转副 固定座 离心限速器转子 旋转副 离心限速器转子 定心螺栓 刚性连接 定心螺栓 离心块 滑动副 离心块 离心限速器壳体 接触副 离心限速器壳体 离心限速器转子 刚性连接 表 3 不同质量离心块作用下的登机门仿真结果
Table 3. Simulation results of boarding gate under the action of centrifugal block with different mass
离心块
质量/kg启动
时间/s限速启动
角度/(°)开启连杆转速/((°)·s−1) 翻转
时间/s限速启动时 平均 0.083 1.35 10.35 27.35 31.26 5.13 0.1 1.39 12.96 26.60 28.71 5.49 0.15 1.59 11.89 21.90 23.43 6.65 0.2 1.80 11.91 19.02 20.47 7.61 0.23 1.82 10.89 17.80 19.17 8.08 表 4 不同传动比作用下的登机门仿真结果
Table 4. Simulation results of different transmission ratios
传动比 启动
时间/s启动
角度/(°)开启连杆转速/((°)·s−1) 翻转
时间/s限速启动时 平均 523 1.42 11.44 25.51 24.65 5.87 456 1.35 10.35 27.35 31.26 5.13 407 1.22 12.66 31.31 35.45 4.53 349 1.18 12.85 36.28 42.51 3.95 表 5 优化后登机门开启限速装置的设计参数
Table 5. Optimized design parameters of opening and speed limiting mechanism for rear gate opening
摩擦系数 离心块质量/kg 传动比 开启时间/s 0.17 0.23 456 5.01 表 6 登机门开启限速装置优化参数及优化结果
Table 6. Optimized parameters and results of opening and speed limiting mechanism for boarding door opening
工作
状态启动
时间/s限速启动
角度/(°)开启连杆转速/((°)·s−1) 翻转
时间/s限速启动时 平均 正常 打开 10 0.32 10.6 0.32 正常 关闭 8 1.13 9.24 0.44 应急 打开 7 0.51 8.49 0.44 故障 打开 5.49 0.53 表 7 优选后设计参数
Table 7. Optimized design parameters
摩擦系数 离心块质量/kg 传动比 0.17 0.23 456 -
[1] 王卯升, 朱岩, 纪三红. 门梯合一式登机门机构优化设计[J]. 四川兵工学报, 2013, 34(4): 76-79.WANG M S, ZHU Y, JI S H. The mechanism optimization design of gate-stair integrated boarding gate[J]. Journal of Sichuan Ordnance, 2013, 34(4): 76-79(in Chinese). [2] 智文静, 张晨, 杜秀军, 等. 基于Simulink的登机门开启限速装置的建模与仿真[C]//中国航空工业技术装备工程协会年会论文集. 北京: 测控技术, 2020, 39: 317-321.ZHI W J, ZHANG C, DU X J, et al. Modeling and simulation of opening and limiting mechanism of passenger door based on simulink[C]//Proceedings of the China Aviation Industry Technology and Equipment Engineering Association annual conference. Beijing: Measurement & Control Technology, 2020, 39: 317-321(in Chinese). [3] 王立纲, 董勤, 王洪军. MA600飞机登机门液压系统的优化研究[J]. 航空维修与工程, 2014, 279(3): 55-57. doi: 10.3969/j.issn.1672-0989.2014.03.034WANG L G, DONG Q, WANG H J. Optimization research on the MA600 entry door hydraulic system[J]. Aviation Maintenance & Engineering, 2014, 279(3): 55-57(in Chinese). doi: 10.3969/j.issn.1672-0989.2014.03.034 [4] 李自山. MA600飞机液压系统特点及常见故障分析[J]. 科技创新与应用, 2013, 47(7): 99.LI Z S. Characteristics and common faults analysis of hydraulic system of MA600 aircraft[J]. Technology Innovation and Application, 2013, 47(7): 99(in Chinese). [5] 张婷. 某型飞机登机门液压操纵系统故障分析及解决措施[J]. 液压与气动, 2019, 337(9): 133-136.ZHANG T. The fault analysis and solution of the hydraulic control system of a certain aircraft boarding gate[J]. Chinese Hydraulics & Pneumatics, 2019, 337(9): 133-136(in Chinese). [6] 李增刚. ADAMS入门详解与实例[M]. 2版. 北京: 国防工业出版社, 2014.LI Z G. Detailed introduction and examples of ADAMS[M]. 2nd ed. Beijing: National Defense Industry Press, 2014(in Chinese). [7] 许清清, 卫祎, 安鲁陵. 详解ADMAS的飞机应急门仿真分析技术研究[J]. 信息技术, 2012, 41(6): 121-123.XU Q Q, WEI Y, AN L L. Simulation analysis technique of aircraft emergency door based on ADAMS[J]. Machine Building & Automation, 2012, 41(6): 121-123(in Chinese). [8] 鲍敬源, 吴其俊, 任冠逢, 等. 一种新型制动装置的设计与仿真分析[J]. 机械制造与自动化, 2016, 45(4): 87-89. doi: 10.3969/j.issn.1671-5276.2016.04.027BAO J Y, WU Q J, REN G F, et al. Design and simulation analysis of new type brake device[J]. Machine Building & Automation, 2016, 45(4): 87-89(in Chinese). doi: 10.3969/j.issn.1671-5276.2016.04.027 [9] 侯赤, 万小朋, 赵美英. 基于ADAMS的小车式起落架仿真分析技术研究[J]. 系统仿真学报, 2007, 19(4): 909-913.HOU C, WAN X P, ZHAO M Y. Simulation analysis technique of truck-like landing gear based on ADAMS[J]. Journal of System Simulation, 2007, 19(4): 909-913(in Chinese). [10] 王健. 民用飞机登机门提升机构设计[J]. 飞机设计息, 2020, 40(5): 16-20.WANG J. The design of civil aircraft passenger door lifting mechanism[J]. Aircraft Design, 2020, 40(5): 16-20(in Chinese). [11] 钟宋义, 王卯升. 基于MotionView/MotionSolve的登机门开启/关闭过程仿真[C]//Altair技术大会论文集. 南京: 澳汰尔工程软件(上海)有限公司, 2017, 1-4.ZHONG S Y, WANG M S. Simulation of opening and closing for passenger door based on MotionView/MotionSolve[C]//Proceedings of the China Altair Technology Conference. Nanjing: Altair Engineering Software (Shanghai) Co., LTD., 2017, 1-4. [12] 张文斌, 马大卫. 民用飞机登机门铰链臂结构设计方法研究[J]. 民用飞机设计与研究, 2020(1): 6-11.ZHANG W B, MA D W. Study on the optimization design method of the hinge arm structure of the civil aircraft passenger door[J]. Civil Aircraft Design & Research, 2020(1): 6-11(in Chinese). [13] 沈仙法, 陈晓颖. 基于MATLAB/Simulink的四轮转向汽车运动学仿真与分析[J]. 机械, 2022, 49(4): 38-43.SHEN X F, CHEN X Y. Kinematics simulation and analysis of four-wheel steering vehicle based on MATLAB/Simulink[J]. Machinery, 2022, 49(4): 38-43(in Chinese). [14] 赵小龙. 基于CATIA的客机舱门提升机构设计与仿真[J]. 飞机设计, 2016, 36(5): 39-42.ZHAO X L. Design and simulation of commercial aircraft door lift mechanism on CATIA[J]. Aircraft Design, 2016, 36(5): 39-42(in Chinese). [15] 闫飞, 任晓炜, 吴海弟, 等. 基于模型的舱门系统安全性分析及评估[J]. 中国科技信息, 2020(10): 33-35.YAN F, REN X W, WU H D, et al. Safety analysis and evaluation of hatch system based on model[J]. China Science and Technology Information, 2020(10): 33-35(in Chinese). [16] ZHAO Z, WANG H X, LU B, et al. A brief analysis of landing gear overspeed protection design[C]// Proceedings of the IEEE International Conference on Aircraft Utility Systems. Piscataway: IEEE Press, 2016: 443-447. [17] LIANG J, WALKER P, RUAN J G, et al. Gearshift and brake distribution control for regenerative braking in electric vehicles with dual clutch transmission[J]. Mechanism and Machine Theory, 2019, 133(3): 2-12. [18] 智文静, 刘冬平, 张修荣. 一种新型离心限速装置: 201720328584.4[P]. 2017-11-24.ZHI W J, LIU D P, ZHANG X R. Novel centrifugation speed limit device: 200410069392.3[P]. 2017-11-24(in Chinese). -


下载: