-
摘要:
随着电力大数据时代的到来,电网企业在多年的技术监督工作中积累了大量的多模态数据。多模态数据的结构化存储和融合是电力系统有效组织和管理的关键。为融合构建大规模的电力缺陷多模态知识图谱,提出基于多通道图神经网络的多模态实体对齐方法,以有效融合多源电力异构数据。收集电力领域缺陷日志记录,构建电力缺陷多模态知识图谱实体对齐数据集(EKG),将文本、图像等多模态信息整合到知识图谱中,为实体对齐任务提供丰富的语义信息。多模态数据增加了实体和关系表示的难度,通过挖掘电力领域多模态知识图谱的特征信息,设计属性聚合式对齐方法,利用知识图谱中的多模态属性和结构信息从图像、文本、名称和结构4个维度学习节点表示,解决电力缺陷多模态知识图谱无法有效集成的问题。实验结果表明:所提方法在EKG上取得了最好的效果。
Abstract:With the advent of the era of big data in power, power grid enterprises have accumulated a large number of multi-modal data in years of technical supervision work. The structured storage and fusion of multi-modal data are the keys to the effective organization and management of power systems. In order to fuse and construct a large-scale multi-modal knowledge graph of power defects, a multi-modal entity alignment method based on a multi-channel graph neural network was proposed to effectively fuse heterogeneous data of multi-source power. A multi-modal knowledge graph entity alignment dataset (EKG) for power defects was constructed by collecting logs related to many defects in the power field. Multi-modal information such as text and images was integrated into the knowledge graph, which provided rich semantic information for entity alignment tasks. The multi-modal data increased the representation difficulty of the entities and relationships. By mining the characteristics of the multi-modal knowledge graph in the power field, an attribute aggregation alignment method was designed. The node representation was learned from the four dimensions of image, text, name, and structure by using the multi-modal attributes and structure information in the knowledge graph, solving the problem that the power defects of a multi-modal knowledge graph cannot be integrated effectively. Experimental results show that the proposed method achieves the best performance on EKG.
-
Key words:
- power knowledge graph /
- graph neural network /
- entity alignment /
- equipment defect /
- knowledge graph
-
表 1 电力缺陷多模态知识图谱节点和关系类型
Table 1. Node and relationship types of power defects of multi-modal knowledge graph
节点类型 节点关系 设备 子部件关系 缺陷 缺陷关系 缺陷图片 图片 危害 缺陷危害 成因 引起 措施 具体措施 设备型号 型号 表 2 数据集统计信息
Table 2. Dataset statistics
类型 实体类型数 关系类型数 属性类型数 图像数 知识图谱1 3 229 7 24 3 821 知识图谱2 4 821 7 18 5 438 表 3 电力缺陷多模态知识图谱统计
Table 3. Statistics of power defects of multi-modal knowledge graph
类型 关系数 节点数 属性数 知识图谱1 3 498 2 363 3 077 知识图谱2 3 531 2 363 3 132 表 4 本文方法主要参数
Table 4. Main parameters of the proposed method
参数 本文方法最优值 每批次训练样本的大小 32 节点嵌入维数 128 随机失活比率 0.6 GCN和GAT模型层数 2 训练轮次 100 L2正则化 0.0001 Adam优化器中的初始学习率 0.001 表 5 实体对齐性能
Table 5. Entity alignment performances
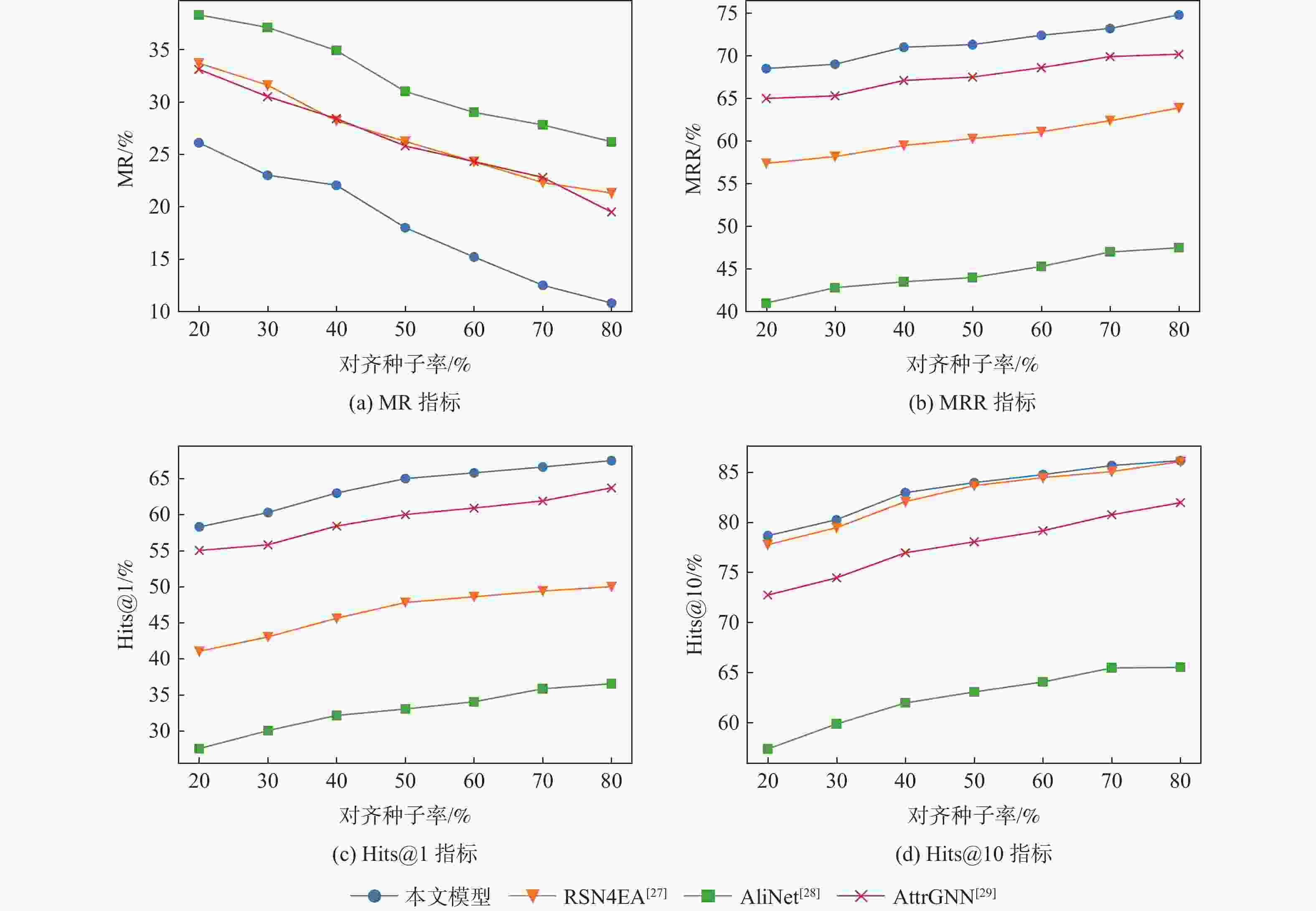
% 模型 MR MRR Hits@1 Hits@10 GCN-align[22] 51.37 60.73 50.92 77.38 KDCoE[23] 33.83 53.35 36.83 60.24 MuGNN[24] 42.82 47.23 47.85 68.76 SEA[25] 28.23 64.27 51.21 70.72 MultiKE[26] 41.78 54.93 51.19 75.25 RSN4EA[27] 32.72 49.02 52.72 73.82 AliNet[28] 38.83 61.38 53.48 75.63 AttrGNN[29] 28.28 62.82 53.05 75.42 本文模型 26.24 66.32 57.82 81.73 表 6 消融实验
Table 6. Ablation experiments
% 数据格式 信息 MR MRR Hits@1 Hits@10 使用1种数据格式 图像信息(G1) 40.23 42.73 31.32 62.89 文本信息(G2) 43.83 39.51 34.27 65.73 名字信息(G3) 38.29 40.36 38.92 67.28 结构信息(G4) 39.27 41.64 42.03 69.20 使用2种数据格式 G1+G2 33.02 50.72 49.24 73.54 G1+G3 36.71 52.20 51.53 77.09 G1+G4 32.46 53.01 51.01 74.37 G2+G3 30.06 56.24 50.23 75.40 G2+G4 34.12 58.91 52.17 77.74 G3+G4 31.58 57.54 53.92 78.37 使用3种数据格式 G1+G2+G3 29.70 62.87 53.27 79.73 G1+G2+G4 28.06 65.29 56.84 80.28 G1+G3+G4 28.25 62.86 54.24 81.07 G3+G3+G4 26.94 59.72 55.39 80.94 使用所有数据格式 G1+G2+G3+G4 26.24 66.32 57.82 81.73 -
[1] 高海翔, 苗璐, 刘嘉宁, 等. 知识图谱及其在电力系统中的应用研究综述[J]. 广东电力, 2020, 33(9): 66-76.GAO H X, MIAO L, LIU J N, et al. Review on knowledge graph and its application in power systems[J]. Guangdong Electric Power, 2020, 33(9): 66-76(in Chinese). [2] 王小鹏. 基于知识图谱的择优分段迭代式实体对齐方法研究[J]. 信息与电脑(理论版), 2021, 33(18): 48-52.WANG X P. Research on the method of optimal segmentation iterative entity alignment based on knowledge graph[J]. China Computer & Communication, 2021, 33(18): 48-52(in Chinese). [3] 魏忠诚, 张洁滢, 连彬, 等. 基于双向GCN和CVm的实体对齐模型研究[J]. 计算机应用研究, 2021, 38(9): 2716-2720.WEI Z C, ZHANG J Y, LIAN B, et al. Entity alignment model based on two-way GCN and CVm[J]. Application Research of Computers, 2021, 38(9): 2716-2720(in Chinese). [4] 马建红, 刘双耀, 杨珺. 多信息加权融合实体对齐算法[J]. 计算机应用与软件, 2021, 38(7): 295-301.MA J H, LIU S Y, YANG J. Multi-information weighted fusion entity alignment algorithm[J]. Computer Applications and Software, 2021, 38(7): 295-301(in Chinese). [5] 王悦悦. 面向高铁运维领域的嵌入实体对齐技术研究与实现[D]. 北京: 北京交通大学, 2021.WANG Y Y. Research and implementation of embedded entity alignment technology for high speed rail operation and maintenance domain[D]. Beijing: Beijing Jiaotong University, 2021(in Chinese). [6] 田玲, 张谨川, 张晋豪, 等. 知识图谱综述: 表示、构建、推理与知识超图理论[J]. 计算机应用, 2021, 41(8): 2161-2186.TIAN L, ZHANG J C, ZHANG J H, et al. Knowledge graph survey: Representation, construction, reasoning and knowledge hypergraph theory[J]. Journal of Computer Applications, 2021, 41(8): 2161-2186(in Chinese). [7] 付雷杰, 曹岩, 白瑀, 等. 国内垂直领域知识图谱发展现状与展望[J]. 计算机应用研究, 2021, 38(11): 3201-3214.FU L J, CAO Y, BAI Y, et al. Development status and prospect of vertical domain knowledge graph in China[J]. Application Research of Computers, 2021, 38(11): 3201-3214(in Chinese). [8] 陈烨, 周刚, 卢记仓. 多模态知识图谱构建与应用研究综述[J]. 计算机应用研究, 2021, 38(12): 3535-3543.CHEN Y, ZHOU G, LU J C. Survey on construction and application research for multi-modal knowledge graphs[J]. Application Research of Computers, 2021, 38(12): 3535-3543(in Chinese). [9] 张吉祥, 张祥森, 武长旭, 等. 知识图谱构建技术综述[J]. 计算机工程, 2022, 48(3): 23-37.ZHANG J X, ZHANG X S, WU C X, et al. Survey of knowledge graph construction techniques[J]. Computer Engineering, 2022, 48(3): 23-37(in Chinese). [10] 宋玮琼, 韩柳, 羡慧竹, 等. 电能计量装置的知识图谱构建与应用[J]. 电测与仪表, 2024, 61(4): 218-224.SONG W Q, HAN L, XIAN H Z, et al. Construction and application of knowledge graph of electric energy metering device[J]. Electrical Measurement & Instrumentation, 2024, 61(4): 218-224(in Chinese). [11] 李宏波, 朱永利, 王京保. 基于多层特征融合CNN的变压器PRPD图谱识别[J]. 电测与仪表, 2020, 57(18): 63-68.LI H B, ZHU Y L, WANG J B. Transformer PRPD pattern recognition based on multi-layer feature fusion CNN[J]. Electrical Measurement & Instrumentation, 2020, 57(18): 63-68(in Chinese). [12] 李新鹏, 徐建航, 郭子明, 等. 调度自动化系统知识图谱的构建与应用[J]. 中国电力, 2019, 52(2): 70-77.LI X P, XU J H, GUO Z M, et al. Construction and application of knowledge graph of power dispatching automation system[J]. Electric Power, 2019, 52(2): 70-77(in Chinese). [13] 李晓露, 左璇, 刘日亮, 等. 基于形状约束语言的电网模型知识图谱验证方法[J]. 中国电力, 2022, 55(1): 119-125.LI X L, ZUO X, LIU R L, et al. SHACL-based validation method of knowledge graph for power system model[J]. Electric Power, 2022, 55(1): 119-125(in Chinese). [14] 宋次剑. 知识图谱构建若干关键技术及公共安全领域应用研究[D]. 合肥: 中国科学技术大学, 2021.SONG C J. Research on several key technologies of knowledge graph construction and their application in public security field[D]. Hefei: University of Science and Technology of China, 2021(in Chinese). [15] 刘学壮. 基于主动学习的知识融合系统的设计与实现[D]. 大连: 大连理工大学, 2021.LIU X Z. Design and implementation of knowledge fusion system based on active learning[D]. Dalian: Dalian University of Technology, 2021(in Chinese). [16] 阎志刚, 李成城, 林民. 嵌入知识图谱信息的命名实体识别方法[J]. 内蒙古师范大学学报(自然科学版), 2021, 50(3): 275-282.YAN Z G, LI C C, LIN M. Named entity recognition method for embedding knowledge graph information[J]. Journal of Inner Mongolia Normal University (Natural Science Edition), 2021, 50(3): 275-282(in Chinese). [17] 李文娜, 张智雄. 基于联合语义表示的不同知识库中的实体对齐方法研究[J]. 数据分析与知识发现, 2021, 5(7): 1-9.LI W N, ZHANG Z X. Entity alignment method for different knowledge repositories with joint semantic representation[J]. Data Analysis and Knowledge Discovery, 2021, 5(7): 1-9(in Chinese). [18] 季一木, 刘艳兰, 刘尚东, 等. 基于BERT的多源知识库索引对齐算法[J]. 南京邮电大学学报(自然科学版), 2021, 41(2): 49-61.JI Y M, LIU Y L, LIU S D, et al. Multi-source knowledge base index alignment based on BERT[J]. Journal of Nanjing University of Posts and Telecommunications (Natural Science Edition), 2021, 41(2): 49-61(in Chinese). [19] 田江伟, 李俊锋, 柳青. 结合属性结构的图卷积实体对齐算法[J]. 计算机应用研究, 2021, 38(7): 1979-1982.TIAN J W, LI J F, LIU Q. GCN-based entity alignment algorithm combined with attribute structure[J]. Application Research of Computers, 2021, 38(7): 1979-1982(in Chinese). [20] 杭婷婷, 冯钧, 陆佳民. 知识图谱构建技术: 分类、调查和未来方向[J]. 计算机科学, 2021, 48(2): 175-189.HANG T T, FENG J, LU J M. Knowledge graph construction techniques: Taxonomy, survey and future directions[J]. Computer Science, 2021, 48(2): 175-189(in Chinese). [21] 鲁佩佩. 基于知识库对齐的命名实体识别方法[J]. 电脑知识与技术, 2021, 17(4): 184-186.LU P P. Named entity recognition method based on knowledge base alignment[J]. Computer Knowledge and Technology, 2021, 17(4): 184-186(in Chinese). [22] 曾维新, 赵翔, 唐九阳, 等. 基于重排序的迭代式实体对齐[J]. 计算机研究与发展, 2020, 57(7): 1460-1471.ZENG W X, ZHAO X, TANG J Y, et al. Iterative entity alignment via re-ranking[J]. Journal of Computer Research and Development, 2020, 57(7): 1460-1471(in Chinese). [23] WANG Z C, LV Q S, LAN X H, et al. Cross-lingual knowledge graph alignment via graph convolutional networks[C]//Proceedings of the Conference on Empirical Methods in Natural Language Processing. Stroudsburg : Association for Computational Linguistics , 2018: 349-357. [24] CHEN M H, TIAN Y T, CHANG K W, et al. Co-training embeddings of knowledge graphs and entity descriptions for cross-lingual entity alignment[EB/OL]. (2018-06-18)[2022-05-07]. [25] CAO Y X, LIU Z Y, LI C J, et al. Multi-channel graph neural network for entity alignment[EB/OL]. (2019-08-26)[2022-05-07]. [26] ZHANG Q H, SUN Z Q, HU W, et al. Multi-view knowledge graph embedding for entity alignment[EB/OL]. (2019-06-06)[2022-05-09]. [27] GUO L B, SUN Z Q, HU W. Learning to exploit long-term relational dependencies in knowledge graphs[EB/OL]. (2019-05-13)[2022-05-09]. [28] SUN Z Q, WANG C M, HU W, et al. Knowledge graph alignment network with gated multi-hop neighborhood aggregation[EB/OL]. (2019-11-20)[2022-05-10]. [29] LIU Z Y, CAO Y X, PAN L M, et al. Exploring and evaluating attributes, values, and structures for entity alignment[EB/OL]. (2020-10-07)[2022-05-11]. [30] LI Q, JI C, GUO S, et al. Multi-modal knowledge graph transformer framework for multi-modal entity alignment[C]//Proceedings of the Findings of the Association for Computational Linguistics. Stroudsburg: Association for Computational Linguistics, 2023: 987-999. -


下载: