-
摘要:
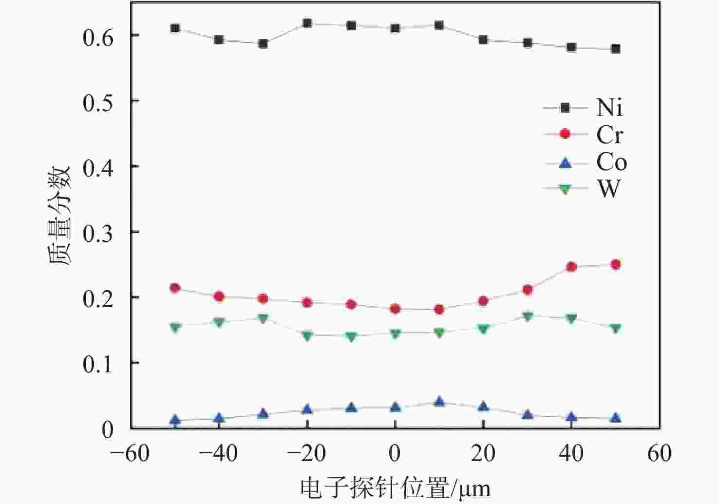
过渡液相(TLP)扩散连接能够获得与母材组织性能相似的焊缝,因而成为航空发动机热端部件镍基高温合金结构的重要连接技术而被广泛应用。TLP扩散连接过程中液相的等温凝固形成不含析出物的固溶体组织是TLP扩散连接机制与过程动力学的核心环节,采用自行研制的镍基非晶态中间层针对GH3230合金的TLP扩散连接过程进行了研究试验,重点分析了不同连接时间条件下TLP扩散连接焊缝区域的元素扩散和分布特征,以中间层中Co元素为示踪原子,根据GH3230合金与中间层材料中的Co元素的含量分布状态判定等温凝固阶段前的液相最大宽度及等温凝固完成时间等重要参数,结果表明:液相最大宽度为72 μm,GH3230合金在1 180 ℃的焊接温度下TLP扩散连接等温凝固完成时间大于4 h。
Abstract:The transient liquid-phase (TLP) diffusion connection can obtain welds similar to the tissue performance of the parent material, so it has become an important bonding technology for the nickel-based superalloy structure of the aviation engine thermal end component and is widely used. The isothermal solidification of the liquid phase during the TLP diffusion bonding to form the solid solvent organization without the precipitates is the core link of the TLP diffusion bonding mechanism and the process dynamics. The TLP diffusion connection process of GH3230 alloy is carried out in the ways of an amorphous intermediate layer based on nickel by using the Co element in the middle layer as the tracer atom. The results focus on the element diffusion and distribution characteristics of the TLP diffusion bonding weld area under different connection time conditions. The maximum width of liquid phase is 72 μm. At the welding temperature of
1180 ℃, the isothermal solidification time of TLP diffusion bonding is more than 4 h. -
表 1 GH3230合金成分
Table 1. Composition of GH3230 alloy
C Cr Co W Mo Al Ti Fe Si Mn Cu Ni 0.001 0.21 0.0147 0.1444 0.0132 0.0036 0.0003 0.0096 0.0035 0.0052 0.0001 余量 -
[1] 张斌全. 现代航空发动机燃烧室: 兼论“航机陆用” 有关问题[M]. 北京: 北京航空学院出版社, 1986.ZHANG B Q. Combustion chamber of modern aero-engine: Also on the related problems of “aircraft land use” [M]. Beijing: Beijing Institute of Aeronautics and Astronautics Press, 1986 (in Chinese). [2] 倪莉, 张军, 王博, 等. 镍基高温合金设计的研究进展[J]. 材料导报, 2014, 28(3): 1-6.NI L, ZHANG J, WANG B, et al. Progress in alloy design of nickel-based superalloys[J]. Materials Review, 2014, 28(3): 1-6(in Chinese). [3] 商体松, 赵明, 涂冰怡. 航空发动机燃烧室冷却结构的发展及浮动壁结构的关键技术[J]. 航空工程进展, 2013, 4(4): 407-413.SHANG T S, ZHAO M, TU B Y. Development of aero-engine combustor cooling structure and the key technologies of floating-wall[J]. Advances in Aeronautical Science and Engineering, 2013, 4(4): 407-413(in Chinese). [4] 全栋梁, 刘松龄, 李江海, 等. 多孔层板冷却有效性的研究[J]. 航空动力学报, 2004, 19(4): 520-524.QUAN D L, LIU S L, LI J H, et al. Experimental investigation of cooling effectiveness of laminate porous plates[J]. Journal of Aerospace Power, 2004, 19(4): 520-524(in Chinese). [5] DUVALL D S, OWCZARSKI W A, PAULONIS D F. TLP bonding: A new method for joining heat resistant alloys[J]. Weld. J. (NY), 1974, 53(4): 203-214. [6] GALE W F, WALLACH E R. Microstructural development in transient liquid-phase bonding[J]. Metallurgical Transactions A, 1991, 22(10): 2451-2457. doi: 10.1007/BF02665011 [7] MACDONALD W D, EAGAR T W. Transient liquid phase bonding[J]. Annual Review of Materials Science, 1992, 22: 23-46. doi: 10.1146/annurev.ms.22.080192.000323 [8] 张赛赛. 钴基高温合金DZ40M的TLP扩散焊工艺及机理y研究[D]. 哈尔滨: 哈尔滨工业大学, 2020.ZHANG S S. Research on process and mechanism of TLP bonded cobalt-based superalloy DZ40M[D]. Harbin: Harbin Institute of Technology, 2020 (in Chinese). [9] 张邦强. Mar-M247镍基高温合金瞬时液相连接研究[D]. 重庆: 重庆大学, 2018.ZHANG B Q. The research on transient liquid phase bonding of Mar-M247 nickel-based superalloys[D]. Chongqing: Chongqing University, 2018 (in Chinese). [10] NISHIMOTO K, SAIDA K, KIM D, et al. Transient liquid phase bonding of Ni-base single crystal superalloy, CMSX-2[J]. ISIJ International, 1995, 35(10): 1298-1306. doi: 10.2355/isijinternational.35.1298 [11] 杜金辉, 赵光普, 邓群, 等. 中国变形高温合金研制进展[J]. 航空材料学报, 2016, 36(3): 27-39.DU J H, ZHAO G P, DENG Q, et al. Development of wrought superalloy in China[J]. Journal of Aeronautical Materials, 2016, 36(3): 27-39(in Chinese). [12] 王明, 鞠泉, 田水仙, 等. GH3230合金冷轧板材热处理工艺研究[J]. 钢铁研究学报, 2011, 23(S2): 84-87.WANG M, JU Q, TIAN S X, et al. Study on heat treatment process of GH3230 alloy cold rolled sheet[J]. Journal of Iron and Steel Research, 2011, 23(S2): 84-87(in Chinese). [13] 张永志, 张红魁, 陈捷狮, 等. 镍基单晶高温合金TLP扩散焊影响因素研究进展[J]. 焊接, 2019(9): 32-38.ZHANG Y Z, ZHANG H K, CHEN J S, et al. Research progress on influence factor of transient liquid phase diffusion bonding of nickel-based single crystal superalloy[J]. Welding & Joining, 2019(9): 32-38(in Chinese). [14] 厐云舟. 用急冷法制取非晶态带材[J]. 贵金属, 1981, 2(4): 115.PANG Y Z. Preparation of amorphous strip by quenching method[J]. Precious Metals, 1981, 2(4): 115 (in Chinese). [15] 王冰霞, 王鑫. 单辊法制备Co43Fe20Ta5.5B31.5非晶合金带材[J]. 天水师范学院学报, 2007, 27(2): 68-70.WANG B X, WANG X. Research on preparation of Co43Fe20Ta5.5B31.5 amorphous alloy strips by signal roll rapid solidification[J]. Journal of Tianshui Normal University, 2007, 27(2): 68-70(in Chinese). -


下载: