-
摘要:
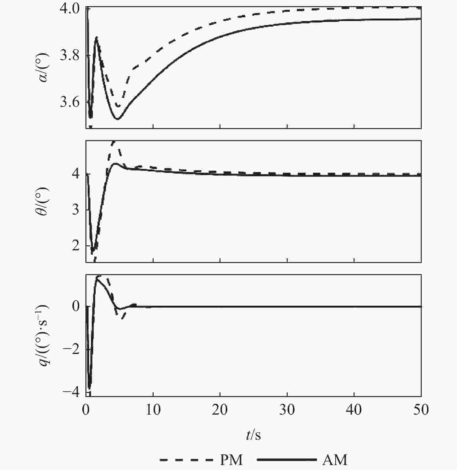
针对变形飞行器结构/飞行耦合动力学的飞行控制问题,以大展弦比飞行器为研究对象开展了变形辅助高度控制策略研究。采用单元翼多体假设,构建了大展弦比飞行器二面角变形结构,建立了结构/飞行纵向耦合动力学模型,基于线性二次型(LQR)控制器设计方法设计了主动变形(AM)和被动变形(PM) 2种控制策略。其中,被动变形控制策略仅采用升降舵作为控制输入,结构二面角动态行为由耦合动力学驱动;主动变形控制策略以二面角铰链处的扭矩作为额外输入对高度跟踪进行协调控制。仿真分析了2种控制策略下的高度跟踪效果及状态变化,研究结果表明:采用主动变形控制策略可有效改善高度跟踪暂态过程的性能,降低姿态回路的阻尼特性,为未来先进变形飞行器的结构/飞行一体化控制提供研究基础。
Abstract:This paper proposed a deformation-aided altitude control strategy for the high aspect ratio aircraft to address the flight control problem of the structure/flight coupling dynamics. Based on the assumption of element wings, the dihedral deformation of high aspect ratio aircraft are constructed, and the structure/flight longitudinal coupling dynamic model is established. Two control strategies are discussed: altitude control with active morphing (AM) and passive morphing (PM). The elevator is regarded as the only control input in PM strategy, whereas control inputs are extended as elevator and torque in AM strategy. An identical linear quadratic regulator control method is adopted in both control strategies. Simulation results show that the AM strategy can effectively improve the transient processes of altitude tracking and reduce damping in the attitude channel.
-
-
[1] 王伟. 太阳能无人机非线性气动弹性及飞行力学研究[D]. 西安: 西北工业大学, 2015.WANG W. Exploring nonlinear aeroelastic and flight dynamics of solar-powered UAV[D]. Xi’an: Northwestern Polytechnical University, 2015(in Chinese). [2] HODGES D H, DOWELL E H. Nonlinear equations of motion for the elastic bending and torsion of twisted nonuniform rotor blades: NASA TN D-7818[R]. Washington, D. C.: NASA, 1974. [3] HODGES D H. A mixed variational formulation based on exact intrinsic equations for dynamics of moving beams[J]. International Journal of Solids and Structures, 1990, 26(11): 1253-1273. doi: 10.1016/0020-7683(90)90060-9 [4] PATIL M J, HODGES D H, CESNIK C E S. Nonlinear aeroelastic analysis of complete aircraft in subsonic flow[J]. Journal of Aircraft, 2000, 37(5): 753-760. doi: 10.2514/2.2685 [5] PATIL M J, HODGES D H, CESNIK C E S. Limit cycle oscillations in high-aspect-ratio wings[J]. Journal of Fluids and Structures, 2001, 15(1): 107-132. doi: 10.1006/jfls.2000.0329 [6] CESNIK C E S, SU W H. Nonlinear aeroelastic modeling and analysis of fully flexible aircraft[C]//Proceedings of the 46th AIAA/ASME/ASCE/AHS/ASC Structures, Structural Dynamics and Materials Conference. Reston: AIAA, 2005: 1-27. [7] MEIROVITCH L. Hybrid state equations of motion for flexible bodies in terms of quasi-coordinates[J]. Journal of Guidance, Control, and Dynamics, 1991, 14(5): 1008-1013. doi: 10.2514/3.20743 [8] 孙智伟. 高空长航时无人机多学科设计若干问题研究[D]. 西安: 西北工业大学, 2016.SUN Z W. Investigation of the problems in multidisciplinary design of high altitude long endurance unmanned aerial vehicle[D]. Xi’an: Northwestern Polytechnical University, 2016(in Chinese). [9] 郭东, 徐敏, 陈士橹, 等. 准坐标系下的弹性飞行器飞行动力学建模[J]. 系统仿真学报, 2010, 22(11): 2492-2495.GUO D, XU M, CHEN S L, et al. Modeling of fully flexible aircrafts in terms of quasi-coordinates[J]. Journal of System Simulation, 2010, 22(11): 2492-2495(in Chinese). [10] 武明建. 变体太阳能无人机设计与能量优化[D]. 南京: 南京亚洲成人在线一二三四五六区, 2018.WU M J. Design and energy optimization for morphing wing solar-powered UAV[D]. Nanjing: Nanjing University of Aeronautics and Astronautics, 2018(in Chinese). [11] 徐伟, 段富海. 折叠翼飞机有限元和流固耦合ANSYS分析[J]. 机电工程技术, 2020, 49(12): 6-9. doi: 10.3969/j.issn.1009-9492.2020.12.002XU W, DUAN F H. Finite element and fluid-structure interaction analysis of folding wing aircraft based on ANSYS[J]. Mechanical & Electrical Engineering Technology, 2020, 49(12): 6-9(in Chinese). doi: 10.3969/j.issn.1009-9492.2020.12.002 [12] 王松松, 郭翔鹰, 王帅博. 变截面Z型折叠机翼振动特性的有限元与实验分析[J]. 动力学与控制学报, 2020, 18(6): 84-89.WANG S S, GUO X Y, WANG S B. Finite element analysis and experiment on vibration of Z-shaped morphing wing with variable section[J]. Journal of Dynamics and Control, 2020, 18(6): 84-89(in Chinese). [13] YAN B B, LI Y, DAI P, et al. Aerodynamic analysis, dynamic modeling, and control of a morphing aircraft[J]. Journal of Aerospace Engineering, 2019, 32(5): 04019058. [14] 宋慧心, 金磊. 折叠翼飞行器的动力学建模与稳定控制[J]. 力学学报, 2020, 52(6): 1548-1559. doi: 10.6052/0459-1879-20-115SONG H X, JIN L. Dynamic modeling and stability control of folding wing aircraft[J]. Chinese Journal of Theoretical and Applied Mechanics, 2020, 52(6): 1548-1559(in Chinese). doi: 10.6052/0459-1879-20-115 [15] 何墉, 章卫国, 王敏文, 等. 基于多目标控制的变体飞行器切换线性变参数控制器[J]. 控制理论与应用, 2015, 32(11): 1518-1525.HE Y, ZHANG W G, WANG M W, et al. Switching linear-parameter-varying controller for morphing aircraft based on multi-objective[J]. Control Theory & Applications, 2015, 32(11): 1518-1525(in Chinese). [16] 杨洁, 陈谋, 熊师洵, 等. 倾转旋翼机平均驻留时间切换鲁棒H∞跟踪控制[J]. 控制理论与应用, 2020, 37(5): 1018-1027.YANG J, CHEN M, XIONG S X, et al. Average dwell time switching robust H∞ tracking control for a tiltrotor aircraft[J]. Control Theory & Applications, 2020, 37(5): 1018-1027(in Chinese). [17] 江未来, 董朝阳, 王通, 等. 变体飞行器平滑切换LPV鲁棒控制[J]. 控制与决策, 2016, 31(1): 66-72.JIANG W L, DONG C Y, WANG T, et al. Smooth switching LPV robust control for morphing aircraft[J]. Control and Decision, 2016, 31(1): 66-72(in Chinese). [18] 王青, 王通, 董朝阳, 等. 变体飞行器链式平滑切换控制[J]. 控制理论与应用, 2015, 32(7): 949-954. doi: 10.7641/CTA.2015.41021WANG Q, WANG T, DONG C Y, et al. Chained smooth switching control for morphing aircraft[J]. Control Theory & Applications, 2015, 32(7): 949-954(in Chinese). doi: 10.7641/CTA.2015.41021 [19] 路遥, 董朝阳, 王青, 等. 存在整数约束的分布式驱动变体飞行器控制分配[J]. 控制理论与应用, 2018, 35(8): 1083-1091. doi: 10.7641/CTA.2018.60637LU Y, DONG C Y, WANG Q, et al. Control allocation for distributed driving morphing aircraft with integer constraints[J]. Control Theory & Applications, 2018, 35(8): 1083-1091(in Chinese). doi: 10.7641/CTA.2018.60637 [20] 董朝阳, 路遥, 江未来, 等. 基于布谷鸟搜索算法的一类变体飞行器容错控制[J]. 航空学报, 2015, 36(6): 2047-2054. doi: 10.7527/S1000-6893.2015.0003DONG C Y, LU Y, JIANG W L, et al. Fault tolerant control based on cuckoo search algorithm for a class of morphing aircraft[J]. Acta Aeronautica et Astronautica Sinica, 2015, 36(6): 2047-2054(in Chinese). doi: 10.7527/S1000-6893.2015.0003 [21] SHEARER C M, CESNIK C E S. Trajectory control for very flexible aircraft[J]. Journal of Guidance, Control, and Dynamics, 2008, 31(2): 340-357. doi: 10.2514/1.29335 [22] TUZCU I. Dynamics and control of flexible aircraft[D]. Blacksburg: Virginia Polytechnic Institute and State University, 2001. [23] MEIROVITCH L, TUZCU I. Unified theory for the dynamics and control of maneuvering flexible aircraft[J]. AIAA Journal, 2004, 42(4): 714-727. doi: 10.2514/1.1489 [24] ZHAO Z J, REN X, BAUCHAU O A, et al. Multibody dynamic approach of flight dynamics and nonlinear aeroelasticity of flexible aircraft[J]. AIAA Journal, 2011, 49(1): 41-54. doi: 10.2514/1.45334 [25] DILLSAVER M, CESNIK C E S, KOLMANOVSKY I. Gust response sensitivity characteristics of very flexible aircraft[C]//Proceedings of the AIAA Atmospheric Flight Mechanics Conference. Reston: AIAA, 2012: 1-20. [26] 雷灏, 陈柏屹, 刘燕斌, 等. 推力协同的大柔性飞行器纵向姿态控制[J]. 航空动力学报, 2021, 36(10): 2207-2217.LEI H, CHEN B Y, LIU Y B, et al. Longitudinal attitude control for very flexible aircraft with thrust cooperation[J]. Journal of Aerospace Power, 2021, 36(10): 2207-2217(in Chinese). -


下载: