-
摘要:
针对无人机(UAV)在有障碍环境中编队形成和保持问题,提出了一种考虑系统约束的无参考轨迹的分布式模型预测控制(DMPC)算法。为处理模型预测控制(MPC)中存在的约束耦合和代价耦合,引入假设轨迹设计了低保守的相容性约束和无参考轨迹的代价函数,使算法可以分布式同步执行。基于速度障碍法设计终端约束,保证了终端域的安全,并给出了一个可行的终端控制输入。将代价函数作为Lyapunov函数,结合构造的稳定性约束,分析了算法的迭代可行性和系统稳定性。为兼顾实时性,在所提算法的基础上给出了一种能较好满足编队避障要求的非严格稳定的DMPC算法。通过数值仿真,验证了所提算法的有效性和优越性。
Abstract:To ensure and keep the formation of unmanned aerial vehicles (UAVs) facing obstacles, a distributed model predictive control (DMPC) algorithm without reference trajectory considering system constraints was proposed. Firstly, in order to deal with constraint coupling and cost coupling in model predictive control (MPC), the hypothetical trajectory was introduced to design low-conservative compatibility constraints and cost functions without reference trajectories so that the algorithm could be executed in a distributed manner synchronously. Secondly, the terminal constraints were designed based on the velocity obstacle method to ensure the security of the terminal domain, and a feasible terminal control input was given. Then, the cost function was taken as the Lyapunov function, and combined with the constructed stability constraints, the iterative feasibility and system stability of the algorithm were analyzed. In addition, to ensure real-time performance, based on the proposed algorithm, a non-strictly stable DMPC algorithm that could meet the requirements of formation obstacle avoidance was developed. Finally, the validity and superiority of the proposed algorithm were verified by numerical simulation.
-
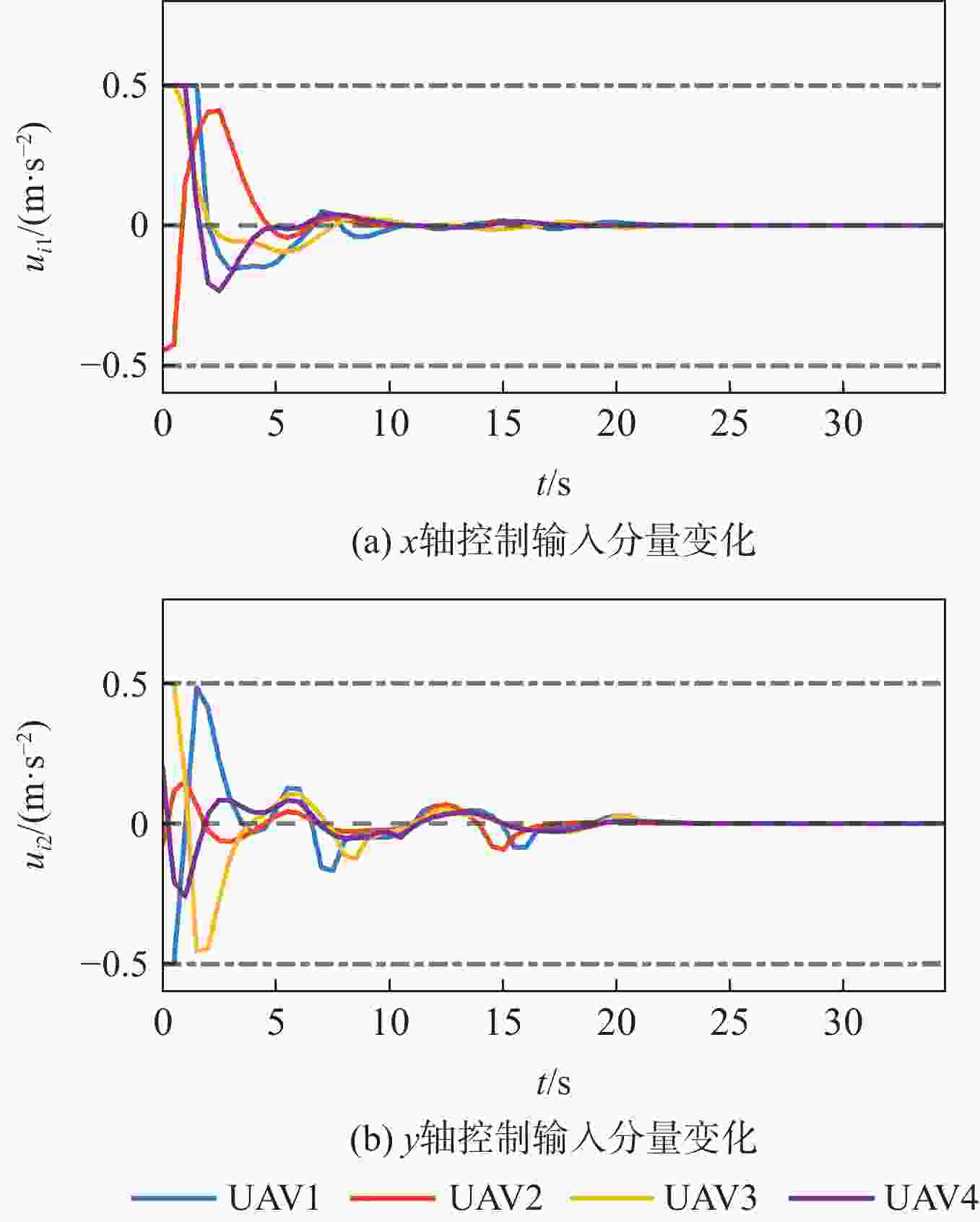
表 1 仿真参数
Table 1. Simulation parameters
参数 数值 参数 数值 $ {\lambda _{i{\text{,f}}}} $ 1 ${r_{{\text{margin-UAV}}}}$/m 0.1 $ {\lambda _{i{\text{,v}}}} $ 1 ${r_{{\text{obs}}}}$/m 0.25 $ {\lambda _{i{\text{,c}}}} $ 0.5 ${r_{{\text{margin-obs}}}}$/m 0.1 $ \Delta T $/s 0.5 ${\underline{v} _{ih}}$/(m·s−1) −1 $P$ 8 ${\bar v_{ih}}$/(m·s−1) 1 ${T_{{\text{max}}}}$/s 35 ${\underline{u} _{ih}}$/(m·s−2) −0.5 $ {{\boldsymbol{v}}_{{\text{ref}}}} $/(m·s−1) ${\left[ {\begin{array}{*{20}{c}} {0.5}&0 \end{array}} \right]^{\text{T}}}$ ${\bar u_{ih}}$/(m·s−2) 0.5 ${r_{{ - UAV}}}$/m 0.1 表 2 平均滚动优化时间对比
Table 2. Comparison of average receding horizon optimization time
N $\tau $/ms $\dfrac{\tau}{\Delta T} $/% 最小距离约束 超平面约束 最小距离约束 超平面约束 3 6.8 6.91 1.36 1.38 4 6.84 6.79 1.37 1.35 5 7.32 6.98 1.46 1.40 6 10.68 7.22 2.14 1.44 7 10.98 7.30 2.20 1.46 8 11.84 7.51 2.37 1.50 9 12.90 8.14 2.58 1.63 10 12.14 7.95 2.43 1.59 -
[1] KIM H, MOKDAD L, BEN-OTHMAN J. Designing UAV surveillance frameworks for smart city and extensive ocean with differential perspectives[J]. IEEE Communications Magazine, 2018, 56(4): 98-104. [2] LIANG X, SU Z K, ZHOU W Z, et al. Fault-tolerant control for the multi-quadrotors cooperative transportation under suspension failures[J]. Aerospace Science and Technology, 2021, 119: 107139. doi: 10.1016/j.ast.2021.107139 [3] MAHDOUI N, FRÉMONT V, NATALIZIO E. Communicating multi-UAV system for cooperative SLAM-based exploration[J]. Journal of Intelligent & Robotic Systems, 2020, 98(2): 325-343. [4] ANG K Z Y, DONG X X, LIU W Q, et al. High-precision multi-UAV teaming for the first outdoor night show in Singapore[J]. Unmanned Systems, 2018, 6(1): 39-65. doi: 10.1142/S2301385018500036 [5] TANG Z Q, CUNHA R T, HAMEL T, et al. Formation control of a leader-follower structure in three dimensional space using bearing measurements[J]. Automatica, 2021, 128: 109567. doi: 10.1016/j.automatica.2021.109567 [6] 石晓航, 张庆杰, 吕俊伟. 一类复杂通信条件下高阶线性群系统编队控制[J]. 北京亚洲成人在线一二三四五六区学报, 2020, 46(4): 769-780.SHI X H, ZHANG Q J, LYU J W. Formation control for high-order linear swarm systems with complex communication conditions[J]. Journal of Beijing University of Aeronautics and Astronautics, 2020, 46(4): 769-780(in Chinese). [7] 姚辉, 席建祥, 王成, 等. 二阶多智能体系统自抗扰编队跟踪与避撞控制[J]. 北京亚洲成人在线一二三四五六区学报, 2020, 46(5): 960-977.YAO H, XI J X, WANG C, et al. Active disturbance rejection based formation tracking and collision avoidance control for second-order multi-agent system[J]. Journal of Beijing University of Aeronautics and Astronautics, 2020, 46(5): 960-977(in Chinese). [8] DAI S L, HE S D, CAI H, et al. Adaptive leader-follower formation control of underactuated surface vehicles with guaranteed performance[J]. IEEE Transactions on Systems, Man, and Cybernetics: Systems, 2022, 52(3): 1997-2008. [9] LEWIS M A, TAN K H. High precision formation control of mobile robots using virtual structures[J]. Autonomous Robots, 1997, 4(4): 387-403. doi: 10.1023/A:1008814708459 [10] BALCH T, ARKIN R C. Behavior-based formation control for multirobot teams[J]. IEEE Transactions on Robotics and Automation, 1998, 14(6): 926-939. doi: 10.1109/70.736776 [11] NUÑO E, LORÍA A, HERNÁNDEZ T, et al. Distributed consensus-formation of force-controlled nonholonomic robots with time-varying delays[J]. Automatica, 2020, 120: 109114. doi: 10.1016/j.automatica.2020.109114 [12] WANG D D, ZONG Q, TIAN B L, et al. Finite-time fully distributed formation reconfiguration control for UAV helicopters[J]. International Journal of Robust and Nonlinear Control, 2018, 28(18): 5943-5961. doi: 10.1002/rnc.4361 [13] XIA Y Q, NA X T, SUN Z Q, et al. Formation control and collision avoidance for multi-agent systems based on position estimation[J]. ISA Transactions, 2016, 61: 287-296. doi: 10.1016/j.isatra.2015.12.010 [14] 费思远, 鲜斌, 王岭. 基于群集行为的分布式多无人机编队动态避障控制[J]. 控制理论与应用, 2022, 39(1): 1-11. doi: 10.7641/CTA.2021.10082FEI S Y, XIAN B, WANG L. Distributed formation control for multiple unmanned aerial vehicles with dynamic obstacle avoidance based on the flocking behavior[J]. Control Theory & Applications, 2022, 39(1): 1-11(in Chinese). doi: 10.7641/CTA.2021.10082 [15] WU T, WANG J, TIAN B L. Periodic event-triggered formation control for multi-UAV systems with collision avoidance[J]. Chinese Journal of Aeronautics, 2022, 35(8): 193-203. doi: 10.1016/j.cja.2021.10.011 [16] ZHOU D J, WANG Z J, SCHWAGER M. Agile coordination and assistive collision avoidance for quadrotor swarms using virtual structures[J]. IEEE Transactions on Robotics, 2018, 34(4): 916-923. doi: 10.1109/TRO.2018.2857477 [17] ZHOU D J, WANG Z J, BANDYOPADHYAY S, et al. Fast, on-line collision avoidance for dynamic vehicles using buffered Voronoi cells[J]. IEEE Robotics and Automation Letters, 2017, 2(2): 1047-1054. doi: 10.1109/LRA.2017.2656241 [18] SNAPE J, VAN DEN BERG J, GUY S J, et al. The hybrid reciprocal velocity obstacle[J]. IEEE Transactions on Robotics, 2011, 27(4): 696-706. doi: 10.1109/TRO.2011.2120810 [19] 赵超轮, 戴邵武, 赵国荣, 等. 基于分布式模型预测控制的无人机编队控制[J]. 控制与决策, 2022, 37(7): 1763-1771.ZHAO C L, DAI S W, ZHAO G R, et al. Formation control of multi-UAV based on distributed model predictive control algorithm[J]. Control and Decision, 2022, 37(7): 1763-1771(in Chinese). [20] ZHANG B Y, SUN X X, LIU S G, et al. Adaptive differential evolution-based distributed model predictive control for multi-UAV formation flight[J]. International Journal of Aeronautical and Space Sciences, 2020, 21(2): 538-548. doi: 10.1007/s42405-019-00228-8 [21] CAI Z H, WANG L H, ZHAO J, et al. Virtual target guidance-based distributed model predictive control for formation control of multiple UAVs[J]. Chinese Journal of Aeronautics, 2020, 33(3): 1037-1056. doi: 10.1016/j.cja.2019.07.016 [22] GUO Y H, ZHOU J, LIU Y Y. Distributed Lyapunov-based model predictive control for collision avoidance of multi-agent formation[J]. IET Control Theory & Applications, 2018, 12(18): 2569-2577. [23] VARGAS S, BECERRA H M, HAYET J B. MPC-based distributed formation control of multiple quadcopters with obstacle avoidance and connectivity maintenance[J]. Control Engineering Practice, 2022, 121: 105054. doi: 10.1016/j.conengprac.2021.105054 [24] XIE Z P, LONG Y L, CHENG H. Distributed adaptive formation control of a team of aerial robots in cluttered environments[C]//Proceedings of the International Conference on Intelligent Robotics and Applications. Berlin: Springer, 2019: 544-558. [25] WU Y, GOU J Z, HU X T, et al. A new consensus theory-based method for formation control and obstacle avoidance of UAVs[J]. Aerospace Science and Technology, 2020, 107: 106332. doi: 10.1016/j.ast.2020.106332 [26] YAMCHI M H, ESFANJANI R M. Distributed predictive formation control of networked mobile robots subject to communication delay[J]. Robotics and Autonomous Systems, 2017, 91: 194-207. [27] MORGAN D, CHUNG S J, HADAEGH F Y. Model predictive control of swarms of spacecraft using sequential convex programming[J]. Journal of Guidance, Control, and Dynamics, 2014, 37(6): 1725-1740. doi: 10.2514/1.G000218 [28] KUWATA Y, HOW J P. Cooperative distributed robust trajectory optimization using receding horizon MILP[J]. IEEE Transactions on Control Systems Technology, 2011, 19(2): 423-431. doi: 10.1109/TCST.2010.2045501 [29] RADMANESH M, KUMAR M. Flight formation of UAVs in presence of moving obstacles using fast-dynamic mixed integer linear programming[J]. Aerospace Science and Technology, 2016, 50: 149-160. [30] KOREN Y, BORENSTEIN J. Potential field methods and their inherent limitations for mobile robot navigation[C]//Proceedings of the IEEE International Conference on Robotics and Automation. Piscataway: IEEE Press, 1991: 1398-1404. [31] SORIA E, SCHIANO F, FLOREANO D. Predictive control of aerial swarms in cluttered environments[J]. Nature Machine Intelligence, 2021, 3: 545-554. doi: 10.1038/s42256-021-00341-y [32] GUO Y H, CHEN G, ZHAO T. Learning-based collision-free coordination for a team of uncertain quadrotor UAVs[J]. Aerospace Science and Technology, 2021, 119: 107127. doi: 10.1016/j.ast.2021.107127 [33] GOODWIN G, SERON M M, DE DONÁ J A. Constrained control and estimation: an optimization approach[J]. IEEE Transactions on Automatic Control, 2006, 51(1): 176-177. doi: 10.1109/TAC.2005.861684 [34] GARCIA C E, PRETT D M, MORARI M. Model predictive control: Theory and practice—A survey[J]. Automatica, 1989, 25(3): 335-348. doi: 10.1016/0005-1098(89)90002-2 [35] ALLAN D A, BATES C N, RISBECK M J, et al. On the inherent robustness of optimal and suboptimal nonlinear MPC[J]. Systems & Control Letters, 2017, 106: 68-78. [36] MAYNE D Q. Model predictive control: Recent developments and future promise[J]. Automatica, 2014, 50(12): 2967-2986. doi: 10.1016/j.automatica.2014.10.128 [37] EREN U, PRACH A, KOÇER B B, et al. Model predictive control in aerospace systems: current state and opportunities[J]. Journal of Guidance, Control, and Dynamics, 2017, 40(7): 1541-1566. doi: 10.2514/1.G002507 [38] DAI L, CAO Q, XIA Y Q, et al. Distributed MPC for formation of multi-agent systems with collision avoidance and obstacle avoidance[J]. Journal of the Franklin Institute, 2017, 354(4): 2068-2085. doi: 10.1016/j.jfranklin.2016.12.021 [39] WANG P, DING B C. A synthesis approach of distributed model predictive control for homogeneous multi-agent system with collision avoidance[J]. International Journal of Control, 2014, 87(1): 52-63. doi: 10.1080/00207179.2013.822100 [40] WANG P, DING B C. Distributed RHC for tracking and formation of nonholonomic multi-vehicle systems[J]. IEEE Transactions on Automatic Control, 2014, 59(6): 1439-1453. doi: 10.1109/TAC.2014.2304175 [41] OH K K, PARK M C, AHN H S. A survey of multi-agent formation control[J]. Automatica, 2015, 53: 424-440. [42] VAN PARYS R, PIPELEERS G. Distributed model predictive formation control with inter-vehicle collision avoidance[C]// Proceedings of the 11th Asian Control Conference. Piscataway: IEEE Press, 2017: 2399-2404. [43] 于树友, 冯阳阳, KIM Jung-Su, 等. 非线性预测控制终端约束集的优化[J]. 自动化学报, 2022, 48(1): 144-151.YU S Y, FENG Y Y, KIM J S, et al. Computation of terminal set for nonlinear model predictive control[J]. Acta Automatica Sinica, 2022, 48(1): 144-151(in Chinese). [44] ANDERSSON J A E, GILLIS J, HORN G, et al. CasADi: A software framework for nonlinear optimization and optimal control[J]. Mathematical Programming Computation, 2019, 11(1): 1-36. doi: 10.1007/s12532-018-0139-4 -


下载: