Distributed adaptive anti-disturbance control for power systems based on multi-agents
-
摘要:
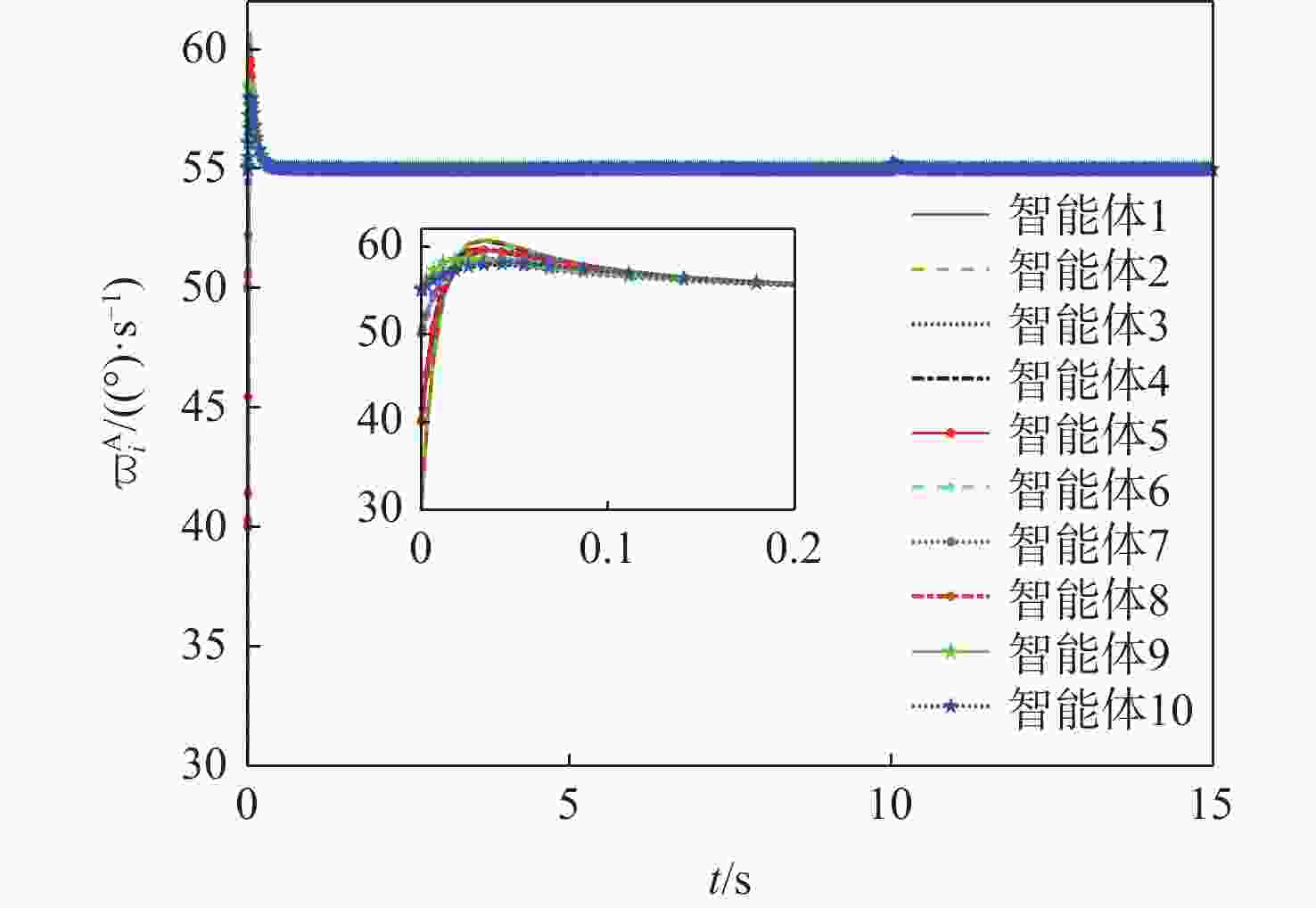
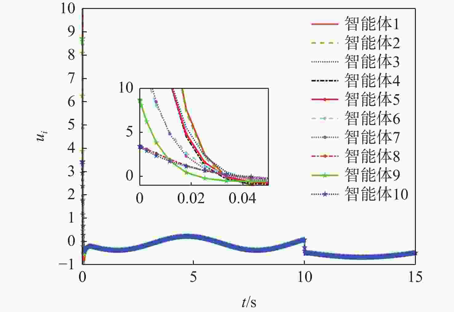
针对多机电力系统中不可避免存在非线性、不确定特性和动态干扰等问题,基于径向基神经网络(RBFNN)和非线性干扰观测器(NDO)提出一种分布式自适应抗干扰控制器,以增强多机电力系统的暂态稳定性和鲁棒性。采用RBFNN处理系统中的未知非线性问题,并基于神经网络的输出设计NDO以实现对复合扰动的在线估计;在多智能体框架下为多机电力系统提出一种分布式自适应抗干扰控制策略,实时接收通信网络测量的数据并控制储能装置动作,在外部扰动下实现各电机转速的快速同步与跟踪,并利用Lyapunov稳定性理论证明闭环系统信号的收敛性。仿真实验表明:所提策略有效可行。
Abstract:In response to problems like the inevitable nonlinearities, uncertainties and dynamic external disturbances in multi-machine power systems, a distributed adaptive anti-disturbance control scheme is proposed based on radial basis function neural networks (RBFNN) and nonlinear disturbance observers (NDO) to enhance transient stability and robustness. The unknown nonlinearities of the system are approximated by RBFNN, and NDO are designed based on the output of RBFNNs to estimate the compounded disturbances on-line. A novel distributed adaptive anti-disturbance control scheme for multi-machine power systems is developed with multi-agents' framework, which can receive real-time data measured by communication networks, and control the action of energy storage devices. The speed synchronization of each motor is guaranteed in the presence of external disturbances, and the stability of the closed-loop system is proven based on the Lyapunov stability theory. The simulation results verify the effectiveness of the proposed scheme.
-
表 1 电力系统参数
Table 1. Parameters of power system
${M_i}$ ${\varPi _i}$ ${E_i}$ ${E_j}$ ${G_{ij}}$ ${B_{ij}}$ 30 30 1 1 100 25 -
[1] KUNDUR P, BALU N J, LAUBY M G. Power system stability and control[M]. New York: McGraw-Hill, 1994: 1-1176. [2] 姚良忠, 吴婧, 王志冰, 等. 未来高压直流电网发展形态分析[J]. 中国电机工程学报, 2014, 34(34): 6007-6020.YAO L Z, WU J, WANG Z B, et al. Pattern analysis of future HVDC grid development[J]. Proceedings of the CSEE, 2014, 34(34): 6007-6020(in Chinese). [3] 刘瑞环, 陈晨, 刘菲, 等. 极端自然灾害下考虑信息-物理耦合的电力系统弹性提升策略: 技术分析与研究展望[J]. 电机与控制学报, 2022, 26(1): 9-23.LIU R H, CHEN C, LIU F, et al. Power system resilience enhancement strategy considering cyber-physical interdependence under disasters: Development and prospects[J]. Electric Machines and Control, 2022, 26(1): 9-23(in Chinese). [4] 赵宏博, 姚良忠, 王伟胜, 等. 大规模风电高压脱网分析及协调预防控制策略[J]. 电力系统自动化, 2015, 39(23): 43-48. doi: 10.7500/AEPS20141105003ZHAO H B, YAO L Z, WANG W S, et al. Outage analysis of large scale wind power under high voltage condition and coordinated prevention and control strategy[J]. Automation of Electric Power Systems, 2015, 39(23): 43-48(in Chinese). doi: 10.7500/AEPS20141105003 [5] NANDA J, SACHAN A, PRADHAN L, et al. Application of artificial neural network to economic load dispatch[C]//Proceedings of the 1997 Fourth International Conference on Advances in Power System Control, Operation and Management, APSCOM-97. Hong Kong: IET, 1997, 2: 707-711(in Chinese). [6] 刘铖, 张宇驰, 蔡国伟, 等. 基于网络能量的高比例DFIG并网电力系统暂态稳定紧急控制[J]. 高电压技术, 2022, 48(8): 3109-3118.LIU C, ZHANG Y C, CAI G W, et al. Transient stability emergency control of high proportion DFIG grid-connected power system based on network energy[J]. High Voltage Engineering, 2022, 48(8): 3109-3118(in Chinese). [7] 强子玥, 吴俊勇, 李宝琴, 等. 基于改进AlexNet的电力系统暂态功角失稳紧急控制策略[J]. 高电压技术, 2022, 48(7): 2794-2804.QIANG Z Y, WU J Y, LI B Q, et al. Emergency control strategy for transient angle instability of power system based on improved AlexNet[J]. High Voltage Engineering, 2022, 48(7): 2794-2804(in Chinese). [8] 王彤, 刘九良, 朱劭璇, 等. 基于随机森林的电力系统暂态稳定评估与紧急控制策略[J]. 电网技术, 2020, 44(12): 4694-4701.WANG T, LIU J L, ZHU S X, et al. Transient stability assessment and emergency control strategy based on random forest in power system[J]. Power System Technology, 2020, 44(12): 4694-4701(in Chinese). [9] VAHIDNIA A, LEDWICH G, PALMER E W. Transient stability improvement through wide-area controlled SVCs[J]. IEEE Transactions on Power Systems, 2016, 31(4): 3082-3089. doi: 10.1109/TPWRS.2015.2473670 [10] WEI J, KUNDUR D, ZOURNTOS T, et al. A flocking-based dynamical systems paradigm for smart power system analysis[C]//Proceedings of the 2012 IEEE Power and Energy Society General Meeting. Piscataway: IEEE Press, 2012: 1-8. [11] ANDREASSON M, DIMAROGONAS D V, SANDBERG H, et al. Distributed control of networked dynamical systems: Static feedback, integral action and consensus[J]. IEEE Transactions on Automatic Control, 2014, 59(7): 1750-1764. doi: 10.1109/TAC.2014.2309281 [12] FARRAJ A, HAMMAD E, KUNDUR D. A cyber-enabled stabilizing control scheme for resilient smart grid systems[J]. IEEE Transactions on Smart Grid, 2016, 7(4): 1856-1865. doi: 10.1109/TSG.2015.2439580 [13] FARRAJ A, HAMMAD E, KUNDUR D. On the use of energy storage systems and linear feedback optimal control for transient stability[J]. IEEE Transactions on Industrial Informatics, 2017, 13(4): 1575-1585. doi: 10.1109/TII.2016.2632760 [14] 陈世明, 韩红泉. 一种具有非线性动力学模型的智能电网快速分布式控制[J]. 控制与决策, 2021, 36(8): 1849-1854.CHEN S M, HAN H Q. A fast distributed control of smart grids with nonlinear dynamic model[J]. Control and Decision, 2021, 36(8): 1849-1854(in Chinese). [15] 陈世明, 卢家胜, 高彦丽. 基于神经网络的电力系统暂态稳定分布式自适应控制[J]. 控制与决策, 2021, 36(6): 1407-1414.CHEN S M, LU J S, GAO Y L. Neural network-based distributed adaptive control for power system transient stability[J]. Control and Decision, 2021, 36(6): 1407-1414(in Chinese). [16] 王晓光, 吴军, 林麒. 欠约束绳牵引并联支撑系统运动学分析与鲁棒控制[J]. 清华大学学报(自然科学版), 2021, 61(3): 193-201.WANG X G, WU J, LIN Q. Kinematics analysis and control of under-constrained cable-driven parallel suspension systems[J]. Journal of Tsinghua University (Science and Technology), 2021, 61(3): 193-201(in Chinese). [17] 陈龙胜, 杨辉. 多约束纯反馈非线性系统鲁棒自适应抗干扰控制[J]. 中国科学:信息科学, 2021, 51(4): 633-647. doi: 10.1360/SSI-2020-0331CHEN L S, YANG H. Adaptive robust anti-disturbance control for pure feedback nonlinear systems with multiple constraints[J]. Scientia Sinica (Informationis), 2021, 51(4): 633-647(in Chinese). doi: 10.1360/SSI-2020-0331 [18] 李繁飙, 黄培铭, 阳春华, 等. 基于非线性干扰观测器的飞机全电刹车系统滑模控制设计[J]. 自动化学报, 2021, 47(11): 2557-2569.LI F B, HUANG P M, YANG C H, et al. Sliding mode control design of aircraft electric brake system based on nonlinear disturbance observer[J]. Acta Automatica Sinica, 2021, 47(11): 2557-2569(in Chinese). [19] GODSIL C D, ROYLE G. Algebraic graph theory[M]. Berlin: Springer, 2001: 1-19. [20] OLFATI-SABER R, MURRAY R M. Consensus problems in networks of agents with switching topology and time-delays[J]. IEEE Transactions on Automatic Control, 2004, 49(9): 1520-1533. doi: 10.1109/TAC.2004.834113 [21] CHEN M, SHAO S Y, JIANG B. Adaptive neural control of uncertain nonlinear systems using disturbance observer[J]. IEEE Transactions on Cybernetics, 2017, 47: 3110-3123. doi: 10.1109/TCYB.2017.2667680 [22] LONG L, ZHAO J. Switched-observer-based adaptive neural control of MIMO switched nonlinear systems with unknown control gains[J]. IEEE Transactions on Neural Networks and Learning Systems, 2017, 28(7): 1696-1709(in Chinese). doi: 10.1109/TNNLS.2016.2521425 [23] ZHOU Q, ZHAO S Y, LI H Y, et al. Adaptive neural network tracking control for robotic manipulators with dead zone[J]. IEEE Transactions on Neural Networks and Learning Systems, 2019, 30: 3611-3620. doi: 10.1109/TNNLS.2018.2869375 [24] ANDERSON P M, FOUAD A A. Power System Control and Stability[M]. Piscataway: IEEE Press, 2003: 1-672. [25] VITTAL V, MCCALLEY J D, ANDERSON P M, et al. Power system control and stability[M]. Third Edition. New Jersey: John Wiley & Sons, 2019: 1-813. [26] SINGH A K, PAL B C. IEEE PES task force on benchmark systems for stability controls[R]. Piscataway: IEEE Press, 2013: 1-23. -


下载: