-
摘要:
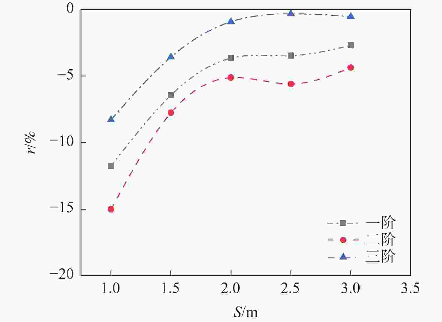
为研究典型机翼在爆炸冲击波作用下的毁伤效应及其损伤后的结构动力学特性,基于有限元方法,研究了爆炸当量、爆炸方位及爆炸距离等对典型机翼损伤程度的影响,并分析了机翼结构变形程度与模态的关系。研究结果表明:冲击波强度和作用位置的变化对机翼结构的损伤及模态频率会产生不同程度的影响;随着冲击波强度的增加,机翼结构越早产生变形,对应的各阶模态频率下降越大,其中,二阶频率最大减少了15.02%;爆炸点位于机翼中心正上方时,机翼的变形最大;与无损伤机翼模态固有频率相比,爆炸冲击波作用在机翼中心位置时,各阶模态频率减小幅度最大,减少幅度为8.29%~15.02%。
Abstract:The effects of explosive mass, blast azimuth, and blast distance on the degree of damage to typical airfoils were investigated using the finite element method in order to analyze the damaging effect of typical airfoils under the action of blast shock wave and its structural dynamics following damage. The relationship between the deformation and the model of the wing structure was analyzed. The findings indicate that the wing structure damage and the modal frequency will be affected to varying degrees by changes in shock wave strength and action position. The changes in the shock wave intensity and action position will have different degrees of influence on the damage to the wing structure and the modal frequency. As the shock wave intensity increases, the earlier the wing structure deforms, and the deformation becomes larger the corresponding modal frequencies of all orders also drop more quickly, of which the second-order frequency decreases by 15.02% at most. When the explosion point was located directly above the center of the wing, the deformation of the wing was greatest. When the shock wave acts on the center of the wing, with the modal natural frequency of the undamaged wing, the modal frequency of each order showed the largest reduction, ranging from 8.29% to 15.02%.
-
Key words:
- blast shock wave /
- impact damage /
- wing /
- modal /
- numerical simulation
-
参数 数值 密度ρ/(g·cm−3) 2.78 弹性模量E/GPa 73.083 泊松比μ 0.33 本构参数n 0.73 本构参数C 0.0083 本构参数m 1.7 本构参数Tm 775.00 本构参数Tr 300.00 本构参数A/MPa 369.00 本构参数B/MPa 648.00 失效参数D1,D2,D3,D4,D5 0.13,0.13,−1.5,0.011,0 表 2 无冲击损伤机翼固有频率
Table 2. Natural frequency of wing without impact damage
模态 固有频率/Hz 1 87.15 2 414.36 3 449.89 -
[1] BALL R E. The fundamentals of aircraft combat survivability: Analysis and design[M]. Reston: AIAA, 1985. [2] DEHART R, BASDEKAS N. Blast response of a typical aircraft fuselage structure: AD275080[R]. Washington, D.C.: Bureau of Naval Weapons, 1962: 1-95. [3] SETTLES G S, BENWOOD J R, GATTO J A. Optical shock wave imaging for aviation security[C]//Proceedings of the Fluids Engineering Division Summer Meeting. New York: ASME, 2003, 36975: 113-118. [4] SIMMONS M C, SCHLEYER G K. Pulse pressure loading of aircraft structural panels[J]. Thin-Walled Structures, 2006, 44(5): 496-506. doi: 10.1016/j.tws.2006.05.002 [5] DACKO A, TOCZYSKI J. Structural response of a blast loaded fuselage[J]. Journal of KONES, 2010, 17(1): 101-109. [6] 程帅, 刘文祥, 童念雪, 等. 爆炸载荷下飞机典型加筋结构毁伤特性[J]. 爆炸与冲击, 2021, 41(1): 88-95.CHENG S, LIU W X, TONG N X, et al. Damage characteristics of aircraft typical stiffened under explosive load[J]. Explosion and Shock Waves, 2021, 41(1): 88-95(in Chinese). [7] 韩璐, 韩庆. 飞机在模拟混合破片威力场打击下的易损性计算[J]. 航空工程进展, 2014, 5(4): 455-462. doi: 10.16615/j.cnki.1674-8190.2014.04.020HAN L, HAN Q. Vulnerability calculation of aircraft under simulated mixed fragment power field[J]. Advances in Aeronautical Science and Engineering, 2014, 5(4): 455-462(in Chinese). doi: 10.16615/j.cnki.1674-8190.2014.04.020 [8] 尹文明, 任勇生. 基于ANSYS的复合材料机翼的模态分析[C]//第十七届玻璃/复合材料学术年会. 北京: 中国硅酸盐学会, 2008: 19-21.YIN W M, REN Y S. Modal analysis of composite wing based on ANSYS[C]//Proceedings of the Academic Annual Conference on Fiberglass/Composite Materials. Beijing: Chinese Ceramic Society, 2008: 19-21(in Chinese). [9] CARRERA E, MORELLO V, VALLETTA D, et al. Simulation of shock wave impact due to an explosion on a flying flexible aircraft[J]. Combustion, Explosion, and Shock Waves, 2007, 43(6): 732-740. doi: 10.1007/s10573-007-0099-x [10] 张媛, 胡传辉, 刘刚, 等. 冲击波和破片对直升机旋翼的联合毁伤研究[J]. 弹箭与制导学报, 2013, 33(4): 109-112. doi: 10.3969/j.issn.1673-9728.2013.04.030ZHANG Y, HU C H, LIU G, et al. Joint damage of helicopter rotor by the shock wave and fragment[J]. Journal of Projectiles, Rockets, Missiles and Guidance, 2013, 33(4): 109-112(in Chinese). doi: 10.3969/j.issn.1673-9728.2013.04.030 [11] 张宇, 王彬文, 白春玉. 典型飞机机翼结构爆炸冲击毁伤数值分析研究[J]. 机械设计与制造, 2022, 41(9): 1468-1474.ZHANG Y, WANG B W, BAI C Y. Research on numerical analysis of explosion impact damage of typical aircraft wing structure[J]. Mechanical Design and Manufacturing, 2022, 41(9): 1468-1474(in Chinese). [12] 冯晓伟, 卢永刚, 李永泽. 飞机目标在爆炸冲击波作用下的毁伤效应评估方法[J]. 高压物理学报, 2019, 33(4): 124-128.FENG X W, LU Y G, LI Y Z. Evaluation method of damage effect of aircraft target under blast shock wave[J]. Chinese Journal of High Pressure Physics, 2019, 33(4): 124-128(in Chinese). [13] VAZQUEZ C G, JOSHI K, BHATTACHARYA S, et al. Modal analysis of a morphing wing for unsteady flow conditions: AIAA 2020-2009[R]. Reston: AIAA, 2020. [14] GASPARETTO V E L, MACHADO M, CARNEIRO S H S. Experimental modal analysis of an aircraft wing prototype for SAE aerodesign competition[J]. DYNA, 2020, 87(214): 100-110. [15] MASINI L, TIMME S. Scale-resolving simulation of shock buffet onset physics on a civil aircraft wing[C]//Proceedings of the Applied Aerodynamics Conference. Reston: AIAA, 2018, 19: 391-409. [16] BANERJEE J R. Modal analysis of sailplane and transport aircraft wings using the dynamic stiffness method[J]. Journal of Physics, 2016, 15: 473-486. [17] NEU E, JANSEN F, KHATIB A, et al. Operational modal analysis of a wing excited by transonic flow[J]. Aerospace Science and Technology, 2016, 49: 73-79. doi: 10.1016/j.ast.2015.11.032 [18] KERSCHEN G, PEETERS M, GOLINVAL J C, et al. Nonlinear modal analysis of a full-scale aircraft[J]. Journal of Aircraft, 2013, 50(5): 1409-1419. doi: 10.2514/1.C031918 [19] GLOTH G, SINAPIUS M. Influence and characterization of weak non-linearities in swept-sine modal testing[J]. Aerospace Science and Technology, 2004, 8(2): 111-120. doi: 10.1016/j.ast.2003.09.005 [20] ARQUIER R, BELLIZZI S, BOUC R, et al. Two methods for the computation of nonlinear modes of vibrating systems at large amplitudes[J]. Computers & Structures, 2006, 84(24): 1565-1576. [21] BUYUK M, KURTARAN H, MARZOUGUI D, et al. Automated design of threats and shields under hypervelocity impacts by using successive optimization methodology[J]. International Journal of Impact Engineering, 2008, 35(12): 1449-1458. doi: 10.1016/j.ijimpeng.2008.07.057 -


下载: