-
摘要:
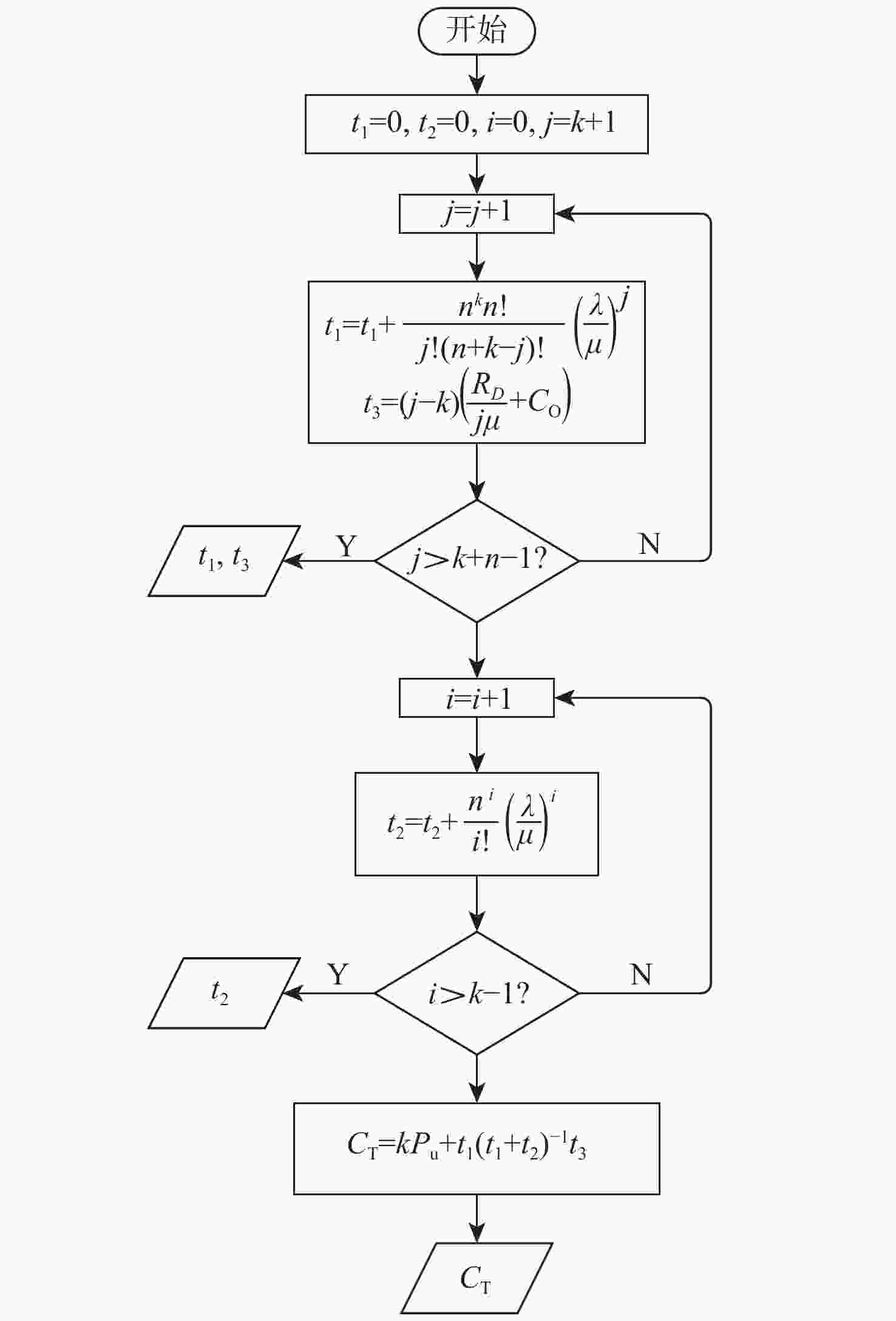
伴随民航业的竞争日趋激烈,航空公司迫切需要控制成本以提升效益。民机备件既是直接影响飞行安全的关键因素,备件成本又在航空公司可控成本中占比最高。因此,在保证飞行安全的前提下做好备件规划,对航空公司有至关重要的意义。根据民机备件的安全级别、故障修复时限等对备件分级设置保障率水平,采用符合备件故障特性的马尔可夫生灭过程,建立满足给定保障率水平的备件量计算模型,并在此基础上建立以保障成本最低为目标函数,满足保障率水平为约束函数的备件量动态规划模型。基于飞机状态分析历史故障数据、季节性、日利用率、机队规模对备件保障的影响,在所建模型中将故障率季节性差异、日利用率和飞机停场损失淡旺季差异进行评估以减小计算结果与实际需求的偏差。以H航空公司ERJ-190机型显示组件为例,对所建模型进行应用验证,计算结果与H航空公司运营实际相吻合,证明所建模型可为航空公司备件规划提供技术方法支持。
Abstract:Civil aircraft spare parts affect flight safety and the cost of spare parts accounts for the highest proportion of airlines' controllable costs. It is significant to make spare parts planning on the premise of ensuring flight safety. A spare parts quantity model is built based on the Markov birth and death process. Supply rates for spare parts are determined according to the spare parts' security level and repair time limit. A spare parts dynamic programming model is established aiming at minimum cost while meeting a certain supply rate. Based on aircraft status, the effect of historical failure data, seasonality, daily utilization rate, and fleet size on spare parts coverage was examined. To reduce the discrepancy between the proposed model’s calculated results and the actual demand, the seasonal differences in failure rate, daily utilization rate, and seasonal differences in aircraft parking losses were evaluated. The proposed model is verified by the example of the ERJ-190 Display Unit. Results are consistent with the actual operation of the airline, which proves that the proposed model can provide technical support for spare parts planning.
-
Key words:
- spare parts /
- aircraft state /
- Markov birth and death process /
- economy /
- dynamic planning
-
表 1 季节性故障高发备件列表
Table 1. Spare parts list with high incidence of seasonal failures
B-737NG
春夏季ERJ-190
春夏季B-737NG
秋冬季ERJ-190
秋冬季空气循环机 空气循环机 前缘缝翼作动筒 结冰探测器 压力调节关断活门 热交换器 发动机热防冰活门 等待提示的反馈 热交换器 总温探头 燃油泵 低限活门 温度控制活门 高压级活门 安定面配平马达 扭矩马达 雨刷马达 风扇活门 冲压门作动器 燃油管理组件 风挡组件 压力调节
关断活门燃油增压泵 结冰探测器 总温探头 显示组件 起动活门 辅助动力装置
发电机气象雷达收发机 自动刹车电门 液压机械组件 发动机防冰活门 惯性导航仪 数据管理系统 风挡加温
控制面板发动机驱动泵 空中防撞系统
计算机前电子舱风扇 发动机驱动泵 应急停留刹车活门 表 2 备件保障率设置
Table 2. Spare parts guarantee rate setting
备件类型 $\alpha $ NO GO件 0.97 GO IF件,修复时限A 0.95 GO IF件,修复时限B 0.93 GO IF件,修复时限C 0.92 GO IF件,修复时限D 0.90 GO件,与客舱服务相关 0.88 GO件,与客舱服务无关 0.85 表 3 显示组件历史故障数据
Table 3. Display of component history failure data
故障日期 ${t_{{\text{TSR}}}}$/${h_{{{\mathrm{FH}}} }}$ ${T_{{\text{RTAT}}}}$/d 修理后入库日期 2018/9/11 273.58 47 2018/10/28 2018/7/2 14126.06 43 2018/8/14 2018/5/26 7462.16 53 2018/7/18 2018/5/2 10515.37 41 2018/6/12 2018/4/2 3392.15 39 2018/5/11 2018/3/22 3424.39 54 2018/5/15 2017/9/18 16227.26 41 2017/10/29 2017/5/19 13358.58 88 2017/8/15 2016/12/20 3668.06 41 2017/1/30 2016/12/5 14256.33 40 2017/1/14 2016/9/17 10188.50 39 2016/10/26 2016/9/9 351.26 50 2016/10/29 2016/8/27 46.20 23 2016/9/19 2016/8/21 3104.11 33 2016/9/23 2016/7/25 7537.74 44 2016/9/7 表 4 显示组件不同备件量对应保障率
Table 4. Guarantee rates for different spare parts quantities for display components
$k$ $\alpha $ 0 0.1815 1 0.4855 2 0.7473 3 0.9000 4 0.9672 5 0.9908 6 0.9978 7 0.9995 表 5 显示组件不同备件量对应总保障成本
Table 5. Total cost of guarantee for different spare parts for display components
$k$ CT/$ \$ 0 138 330 1 194 070 2 307 000 3 442 100 4 585 000 5 730 200 6 876 000 7 1 022 000 表 6 未考虑旺季对日利用率影响的不同备件量保障率
Table 6. Different spare parts volume guarantee rates without considering impact of peak season on daily utilization rates
k α 0 0.2104 1 0.5331 2 0.7872 3 0.9224 4 0.9766 5 0.9940 6 0.9987 7 0.9997 表 7 未考虑季节性差异的不同备件量对应保障率
Table 7. Guarantee rates corresponding to different spare parts volumes without taking into account seasonal differences
k α 0 0.1922 1 0.5037 2 0.7630 3 0.9091 4 0.9711 5 0.9922 6 0.9982 7 0.9996 -
[1] 杜燕. A航空公司航材管理与成本优化研究[D]. 上海: 上海交通大学, 2015: 4.DU Y. Research on air material management and cost optimization of A airlines[D]. Shanghai: Shanghai Jiao Tong University, 2015: 4 (in Chinese). [2] 吕川, 赵宇, 张坚. 飞机备件需求量的确定方法[J]. 北京亚洲成人在线一二三四五六区学报, 1995, 21(4): 130-133.LYU C, ZHAO Y, ZHANG J, et al. Method for determining the sparesdemand of airliner[J]. Journal of Beijing University of Aeronautics and Astronautics, 1995, 21(4): 130-133(in Chinese). [3] 赵洪军, 齐校锋, 刘海翔. 基于泊松分布的航材库存决策优化研究[J]. 长沙航空职业技术学院学报, 2009, 9(1): 40-43. doi: 10.3969/j.issn.1671-9654.2009.01.011ZHAO H J, QI X F, LIU H X. Research on optimization of air material inventory based on Poisson distribution[J]. Journal of Changsha Aeronautical Vocational and Technical College, 2009, 9(1): 40-43(in Chinese). doi: 10.3969/j.issn.1671-9654.2009.01.011 [4] 瞿红春, 姜柏松. 基于航材系统保障率的备件优化模型的研究[J]. 航空制造技术, 2004, 47(9): 79-82.QU H C, JIANG B S. Study on the aeronautical material system reliability based optimization model of spare parts[J]. Aeronautical Manufacturing Technology, 2004, 47(9): 79-82(in Chinese). [5] 李正为, 黄俊, 倪现存, 等. 面向航空公司的飞机首批航材计划研究[J]. 航空维修与工程, 2006(3): 52-54. doi: 10.3969/j.issn.1672-0989.2006.03.021LI Z W, HUANG J, NI X C, et al. The study of first spare part plan of the plane which faces the airline company[J]. Aviation Maintenance & Engineering, 2006(3): 52-54(in Chinese). doi: 10.3969/j.issn.1672-0989.2006.03.021 [6] 何亚群, 谭学峰, 金福禄. 基于可用度的飞机可修件需求分析[J]. 系统工程与电子技术, 2004, 26(3): 848-849.HE Y Q, TAN X F, JIN F L. Demand analysis of aircraft repairable spares based on availability[J]. Systems Engineering and Electronics, 2004, 26(3): 848-849(in Chinese). [7] 龙军, 康锐, 马麟, 等. 任意寿命分布的多部件系统备件配置优化算法[J]. 北京亚洲成人在线一二三四五六区学报, 2007, 33(6): 698-700.LONG J, KANG R, MA L, et al. Algorithm for spares optimization of system with multi-items with different life distributions[J]. Journal of Beijing University of Aeronautics and Astronautics, 2007, 33(6): 698-700(in Chinese). [8] 张澳夫. 基于PHM的备件配置问题研究[D]. 北京: 北京理工大学, 2014: 10-12.ZHANG A F. Research on the problem of spare parts based on Prognostics & Health management[D]. Beijing: Beijing Institute of Technology, 2014: 10-12(in Chinese). [9] 马秀红, 宋建社, 董晟飞. 基于回归分析的备件故障率预测模型[J]. 计算机仿真, 2003, 20(11): 6-8.MA X H, SONG J S, DONG S F. Model of spare parts failure rate based on linear regression[J]. Computer Simulation, 2003, 20(11): 6-8(in Chinese). [10] 毕义明, 王汉功. 武器装备损耗备件预测模型研究[J]. 装备指挥技术学院学报, 2004, 15(1): 1-4.BI Y M, WANG H G. Research on the consumption standard model of weapon’s equipment spare[J]. Journal of Institute of Command and Technology, 2004, 15(1): 1-4(in Chinese). [11] 徐晓燕. 一种基于需求特性分类的备件库存管理方法及其实证研究[J]. 系统工程理论与实践, 2006, 26(2): 62-67.XU X Y. A demand classification based approach of inventory management for spare-parts and its application[J]. Systems Engineering Theory & Practice, 2006, 26(2): 62-67(in Chinese). [12] 赵宇, 伏洪勇, 张坚, 等. 航空电子设备备件需求量分析[J]. 系统工程与电子技术, 2002, 24(3): 1-3.ZHAO Y, FU H Y, ZHANG J, et al. Demand analysis of the spare parts of avionic devices[J]. Systems Engineering and Electronics, 2002, 24(3): 1-3(in Chinese). [13] ARONIS K P, MAGOU I, DEKKER R, et al. Inventory control of spare parts using a Bayesian approach: A case study[J]. European Journal of Operational Research, 2004, 154(3): 730-739. doi: 10.1016/S0377-2217(02)00837-8 [14] KAMATH K R, PAKKALA T P M. A Bayesian approach to a dynamic inventory model under an unknown demand distribution[J]. Computers & Operations Research, 2002, 29(4): 403-422. [15] 王进才, 范英飙. 基于人工神经网络建立武器系统备件预测模型[J]. 质量与可靠性, 2010(5): 13-17.WANG J C, FAN Y B. Establishment of spare parts prediction model of weapon system based on artificial neural network[J]. Quality and Reliability, 2010(5): 13-17(in Chinese). [16] 董博超, 宋保维, 梁庆卫, 等. 基于马尔可夫模型的备件配置优化方法[J]. 系统工程, 2011, 29(9): 124-126.DONG B C, SONG B W, LIANG Q W, et al. The method of spares configuration optimization based on Markov model[J]. Systems Engineering, 2011, 29(9): 124-126(in Chinese). [17] 毛德军, 李庆民, 张志华. 以装备可用度为中心的保障方案优化方法[J]. 兵工学报, 2011, 32(5): 636-640.MAO D J, LI Q M, ZHANG Z H. An optimizing method for availability-centric equipment support plan[J]. Acta Armamentarii, 2011, 32(5): 636-640(in Chinese). [18] 王乃超, 康锐. 多约束条件下备件库存优化模型及分解算法[J]. 兵工学报, 2009, 30(2): 247-251.WANG N C, KANG R. An optimization model for inventory spares under multi-constraints and its decomposition algorithm[J]. Acta Armamentarii, 2009, 30(2): 247-251(in Chinese). [19] 陈顶, 方志耕, 刘思峰. 可修排队系统备件灰色生灭预测模型[J]. 系统工程理论与实践, 2020, 40(5): 1326-1338.CHEN D, FANG Z G, LIU S F. Grey BD prediction model for spare parts of repairable queuing system[J]. Systems Engineering-Theory & Practice, 2020, 40(5): 1326-1338(in Chinese). [20] 王昊. 国产数控车床可靠性评估方法研究[D]. 沈阳: 东北大学, 2018: 134-135.WANG H. Research on reliability assessment methods of domestic CNC lathes[D]. Shenyang: Northeastern University, 2018: 134-135(in Chinese). [21] 凌刚. 继电保护装置平均故障间隔时间指标的探讨[J]. 低压电器, 2012(20): 34-39.LING G. Study on the mean time between failure of relay protection equipment[J]. Low Voltage Apparatus, 2012(20): 34-39(in Chinese). [22] 叶心太, 余仁波. 装备保障中备件需求量确定方法研究[J]. 舰船电子工程, 2010, 30(5): 155-158. doi: 10.3969/j.issn.1627-9730.2010.05.042YE X T, YU R B. Research on method of definited spare part requirement during equipment support[J]. Ship Electronic Engineering, 2010, 30(5): 155-158(in Chinese). doi: 10.3969/j.issn.1627-9730.2010.05.042 -


下载: