Remaining useful life prediction based on multi source information with considering random effects
-
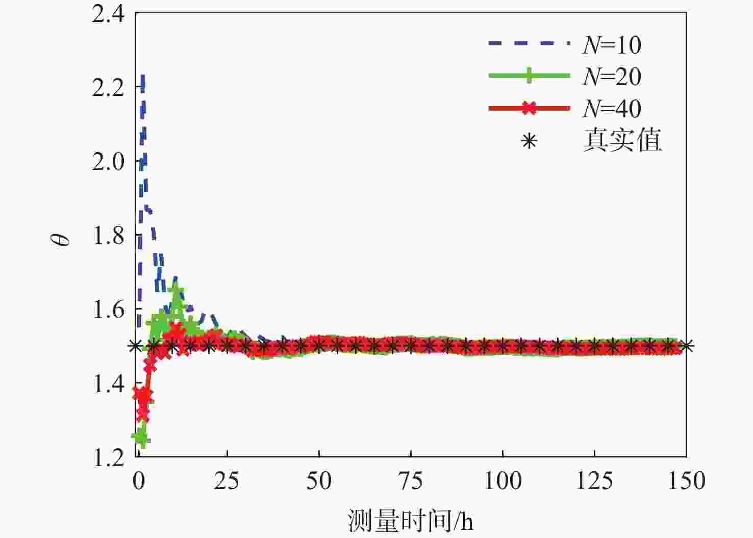
摘要:
为了合理利用同类设备的先验信息,提高参数估计和剩余使用寿命(RUL)预测精度,提出一种基于多源信息融合并考虑随机效应的RUL预测方法。利用考虑随机效应的线性Wiener过程对设备的退化过程进行建模;利用期望最大化(EM)算法,融合先验退化信息和先验失效寿命数据信息,计算模型中的未知参数;根据Wiener过程参数估计的性质,提出一种基于多源信息融合并考虑随机效应的非线性Wiener过程参数估计方法;利用激光器数据和疲劳裂纹数据进行实验验证。实验结果表明:与基于历史退化数据或失效寿命数据的方法相比,所提方法能有效提高参数估计和RUL预测的精度。
Abstract:In order to reasonably utilize the prior information of congeneric equipment and improve the accuracy of parameters estimation and remaining useful life (RUL) prediction, a RUL prediction method based on multi source information considering the random effects is proposed. A linear Wiener process considering the random effects was employed to model the degradation process of equipment. The expectation maximization (EM) algorithm was used to calculate unknown parameters in model with fusing prior degradation information and prior failure time data information. According to the nature of parameter estimation based on the Wiener process, a method based on multi source information for nonlinear Wiener process considering random effects was proposed. Laser data and fatigue crack data were used for experimental verification. The results show that compared with the method based on historical degradation data or failure time data, the proposed method can effectively improve the accuracy of parameters estimation and RUL estimation.
-
Key words:
- multi source information fusion /
- random effects /
- Wiener process /
- remaining useful life /
- nonlinear
-
-
[1] CAI Z Y, CHEN Y X, GUO J S, et al. Remaining lifetime prediction for nonlinear degradation device with random effect[J]. Journal of Systems Engineering and Electronics, 2018, 29(5): 1101-1110. doi: 10.21629/JSEE.2018.05.20 [2] WANG Z Z, CHEN Y X, CAI Z Y, et al. Methods for predicting the remaining useful life of equipment in consideration of the random failure threshold[J]. Journal of Systems Engineering and Electronics, 2020, 31(2): 415-431. doi: 10.23919/JSEE.2020.000018 [3] 万昌豪, 刘志国, 唐圣金, 等. 基于不完美先验信息的随机系数回归模型剩余寿命预测方法[J]. 北京亚洲成人在线一二三四五六区学报, 2021, 47(12): 2542-2551. doi: 10.13700/j.bh.1001-5965.2020.0439WANG C H, LIU Z G, TANG S J, et al. Remaining useful life prediction based on the nonlinear random coefficient regression model under imperfect prior information[J]. Journal of Beijing University of Aeronautics and Astronautics, 2021, 47(12): 2542-2551(in Chinese). doi: 10.13700/j.bh.1001-5965.2020.0439 [4] 刘君强, 胡东斌, 潘春露, 等. 基于超统计的多阶段航空发动机剩余寿命预测[J]. 北京亚洲成人在线一二三四五六区学报, 2021, 47(1): 56-64. doi: 10.13700/j.bh.1001-5965.2019.0647LIU J Q, HU D B, PAN C L, et al. Remaining useful life prediction of multi-stage aero-engine based on super statistics[J]. Journal of Beijing University of Aeronautics and Astronautics, 2021, 47(1): 56-64(in Chinese). doi: 10.13700/j.bh.1001-5965.2019.0647 [5] 赵申坤, 姜潮, 龙湘云. 一种基于数据驱动和贝叶斯理论的机械系统剩余寿命预测方法[J]. 机械工程学报, 2018, 54(12): 115-124. doi: 10.3901/JME.2018.12.115ZHAO S K, JIANG C, LONG X Y. Remaining useful life estimation of mechanical systems based on the data-driven method and bayesian theory[J]. Journal of Mechanical Engineering, 2018, 54(12): 115-124(in Chinese). doi: 10.3901/JME.2018.12.115 [6] ZHANG Z, SI X, HU C, et al. Degradation data analysis and remaining useful life estimation: A review on Wiener-process-based methods[J]. European Journal of Operational Research, 2018, 271(3): 775-796. doi: 10.1016/j.ejor.2018.02.033 [7] WANG D, TSUI K L. Brownian motion with adaptive drift for remaining useful life prediction: Revisited[J]. Mechanical Systems and Signal Processing, 2018, 99: 691-701. doi: 10.1016/j.ymssp.2017.07.015 [8] TANG S, XU X, YU C, et al. Remaining useful life prediction with fusing failure time data and field degradation data with random effects[J]. IEEE Access, 2020, 8: 11964-11978. doi: 10.1109/ACCESS.2019.2948263 [9] 黄亮, 刘君强, 贡英杰. 基于Wiener过程的发动机多阶段剩余寿命预测[J]. 北京亚洲成人在线一二三四五六区学报, 2018, 44(5): 1081-1087. doi: 10.13700/j.bh.1001-5965.2017.0383HUANG L, LIU J Q, GONG Y J. Multi-phase residual life prediction of engines based on Wiener process[J]. Journal of Beijing University of Aeronautics and Astronautics, 2018, 44(5): 1081-1087(in Chinese). doi: 10.13700/j.bh.1001-5965.2017.0383 [10] PENG C Y, TSENG S T. Mis-specification analysis of linear degradation models[J]. IEEE Transactions on Reliability, 2009, 58(3): 444-455. doi: 10.1109/TR.2009.2026784 [11] WANG Z, HU C, FAN H. Real-time remaining useful life prediction for a nonlinear degrading system in service: Application to bearing data[J]. IEEE/ASME Transactions on Mechatronics, 2018, 23(1): 211-222. doi: 10.1109/TMECH.2017.2666199 [12] SI X S, WANG W, HU C H, et al. Estimating remaining useful life with three-source variability in degradation modeling[J]. IEEE Transactions on Reliability, 2014, 63(1): 167-190. doi: 10.1109/TR.2014.2299151 [13] TANG S J, GUO X S, YU C Q, et al. Real time remaining useful life prediction based on nonlinear Wiener based degradation processes with measurement errors[J]. Journal of Central South University, 2014, 21(12): 4509-4517. doi: 10.1007/s11771-014-2455-9 [14] TANG S, YU C, SUN X, et al. A note on parameters estimation for nonlinear Wiener processes with measurement errors[J]. IEEE Access, 2019, 7: 176756-176766. doi: 10.1109/ACCESS.2019.2954717 [15] TANG S, YU C, WANG X, et al. Remaining useful life prediction of lithium-Ion batteries based on the Wiener process with measurement error[J]. Energies, 2014, 7(2): 520-547. doi: 10.3390/en7020520 [16] LU C J, MEEKER W Q. Using degradation measures to estimate a time-to-failure distribution[J]. Technometrics, 1993, 35(2): 161-174. doi: 10.1080/00401706.1993.10485038 [17] TANG S, WANG F, SUN X, et al. Unbiased parameters estimation and mis-specification analysis of Wiener process-based degradation model with random effects[J]. Applied Math Modelling, 2020, 109: 134-160. [18] GEBRAEEL N, ELWANY A, PAN J. Residual life predictions in the absence of prior degradation knowledge[J]. IEEE Transactions on Reliability, 2009, 58(1): 106-117. doi: 10.1109/TR.2008.2011659 [19] WANG F, TANG S, SUN X, et al. Remaining useful life prediction based on nonlinear random coefficient regression model with fusing failure time data[J]. Journal of Systems Engineering and Electronics, 2023, 34(1): 247-258. doi: 10.23919/JSEE.2023.000006 [20] LIU S, CHEN H, GUO B, et al. Residual life estimation by fusing few failure lifetime and degradation data from real-time updating[C]//2017 IEEE International Conference on Software Quality, Reliability and Security Companion (QRS-C). Piscataway: IEEE Press, 2017: 177-184. [21] SUN M, JING B, JIAO X, et al. Research on life prediction of airborne fuel pump based on combination of degradation data and life data[C]//2018 Prognostics and System Health Management Conference (PHM-Chongqing) . Piscataway: IEEE Press, 2018: 664-668. [22] ZHAO Q, JIA X, GUO B, et al. Real-time bayes estimation of residual life based on multisource information fusion[C]//2018 Prognostics and System Health Management Conference (PHM-Chongqing) . Piscataway: IEEE Press, 2018: 215-222. [23] ZHANG Y, JIA X, GUO B. Bayesian framework for satellite rechargeable lithium battery synthesizing bivariate degradation and lifetime data[J]. Journal of Central South University, 2018, 25(2): 418-431. doi: 10.1007/s11771-018-3747-2 [24] 蔡忠义, 王泽洲, 张晓丰, 等. 隐含非线性退化设备的剩余寿命在线预测方法[J]. 系统工程与电子技术, 2020, 42(6): 1410-1416. doi: 10.3969/j.issn.1001-506X.2020.06.27CAI Z Y, WANG Z Z, ZHANG X F, et al. Online prediction method of remaining useful lifetime for implicit nonlinear degradation equipment[J]. Systems Engineering and Electronics, 2020, 42(6): 1410-1416(in Chinese). doi: 10.3969/j.issn.1001-506X.2020.06.27 [25] 唐圣金, 郭晓松, 周召发, 等. 步进应力加速退化试验的建模与剩余寿命估计[J]. 机械工程学报, 2014, 50: 33-40.TANG S J, GUO X S, ZHOU Z F, et al. Step stress accelerated degradation process modeling and remaining useful life estimation[J]. Journal of Mechanical Engineering, 2014, 50: 33-40(in Chinese). [26] ZHAI Q, CHEN P, HONG L, et al. A random-effects Wiener degradation model based on accelerated failure time[J]. Reliability Engineering System Safety, 2018, 180: 94-103. doi: 10.1016/j.ress.2018.07.003 [27] WANG D, ZHAO Y, YANG F, et al. Nonlinear-drifted Brownian motion with multiple hidden states for remaining useful life prediction of rechargeable batteries[J]. Mechanical Systems and Signal Processing, 2017, 93: 531-544. doi: 10.1016/j.ymssp.2017.02.027 [28] WANG D, TSUI K L. Two novel mixed effects models for prognostics of rolling element bearings[J]. Mechanical Systems and Signal Processing, 2018, 99: 1-13. doi: 10.1016/j.ymssp.2017.06.004 [29] SI X S, WANG W, CHEN M Y, et al. A degradation path-dependent approach for remaining useful life estimation with an exact and closed-form solution[J]. European Journal of Operational Research, 2013, 226(1): 53-66. doi: 10.1016/j.ejor.2012.10.030 [30] TANG S, GUO X, ZHOU Z. Mis-specification analysis of linear Wiener process-based degradation models for the remaining useful life estimation[J]. Proceedings of the Institution of Mechanical Engineers, Part O:Journal of Risk and Reliability, 2014, 228(5): 478-487. doi: 10.1177/1748006X14533784 [31] SI X S, WANG W B, HU C H, et al. Remaining useful life estimation based on a nonlinear diffusion degradation process[J]. IEEE Transactions on Reliability, 2012, 61(1): 50-67. doi: 10.1109/TR.2011.2182221 [32] WANG X, BALAKRISHNAN N, GUO B. Residual life estimation based on a generalized Wiener degradation process[J]. Reliability Engineering System Safety, 2014, 124: 13-23. doi: 10.1016/j.ress.2013.11.011 -


下载: