-
摘要:
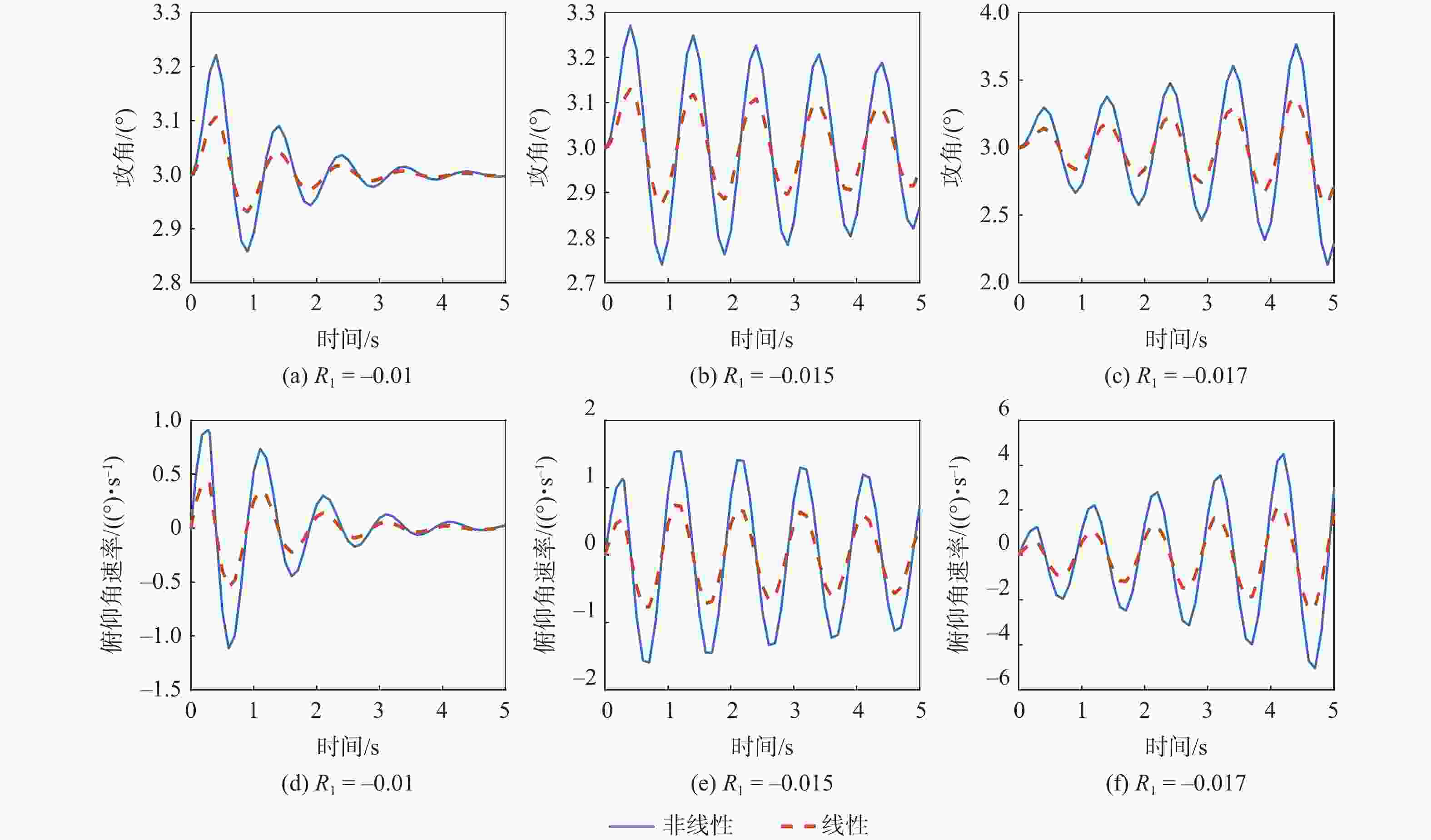
针对雷达寻的导弹天线罩寄生回路影响制导控制系统稳定性的问题,建立考虑天线罩误差的三维非线性制导回路模型,提出一种基于状态方程形式的天线罩误差斜率对制导回路稳定性的影响分析方法。推导获得了天线罩误差斜率对制导回路系统矩阵影响的定量形式,并基于线性时不变系统的稳定性判据,计算给出天线罩误差斜率影响下的导弹制导回路稳定条件。计算分析和仿真结果表明:寄生回路正反馈时会引起导弹姿态的振荡发散问题,严重影响制导回路稳定性。
Abstract:To address the problem that the parasitic loop of the radar homing missile radome affects the stability of the guidance and control system, a three-dimensional nonlinear guidance loop model considering the radome error is established, and an analysis method on the stability of the guidance loop was proposed based on the radome error slope in the form of state equation. The quantitative influence form of the radome error slope on the guidance loop system matrix is derived, and based on the stability criterion of the linear time-invariant system, the stability conditions of the missile guidance loop under the influence of the radome error slope are calculated. Calculation analysis and simulation results show that the positive feedback of the parasitic loop will cause the oscillating divergence of the missile attitude, which will seriously affect the stability of the guidance loop.
-
Key words:
- radar homing missile /
- guidance /
- radome error slope /
- parasitic loop /
- stability
-
-
[1] PALUMBO N F, BLAUWKAMP R A, LIOYD J M. Basic principles of homing guidance[J]. Johns Hopkins APL Technical Digest, 2010, 29(1): 25-41. [2] MURRAY T. Correlation of linear and nonlinear radome error induced miss distance predictions[C]//1984 American Control Conference. Piscataway: IEEE Press, 1984: 743-750. [3] NESLINE F W, ZARCHAN P. Radome induced miss distance in aerodynamically controlled homing missiles[C]//17th Fluid Dynamics, Plasma Dynamics, and Lasers Conference. Reston: AIAA, 1984: 99-115. [4] SUSUMU M. Radome effect on the miss distance of a radar homing missile[J]. Electronics and Communications in Japan, 1998, 83(7): 14-22. [5] 王志伟, 李保平, 林德福. 天线罩误差对无线电制导导弹性能的影响[J]. 弹箭与制导学报, 2008, 28(2): 53-57.WANG Z W, LI B P, LIN D F, et al. The effect of radome aberration on RF guided missile[J]. Journal of Projectiles, Rockets, Missiles and Guidance, 2008, 28(2): 53-57(in Chinese). [6] 宗睿. 导引头天线罩误差及相控阵导引头波束指向误差在线补偿方法研究[D]. 北京: 北京理工大学, 2016: 16-23.ZONG R. Research on online compensation methods for radome error of seeker and beam direction error of phased array seeker[D]. Beijing: Beijing Institute of Technology, 2016: 16-23 (in Chinese). [7] KESHMIRI S, COLGREN R, MIRMIRANI M. Six DoF nonlinear equations of motion for a generic hypersonic vehicle[C]//AIAA Atmospheric Flight Mechanics Conference and Exhibit. Reston: AIAA, 2007: 1-28. [8] WALKER S, SHERK J, SHELL D, et al. The DARPA/AF falcon program: The hypersonic technology vehicle #2 (HTV-2) flight demonstration phase[C] //15th AIAA International Space Planes and Hypersonic Systems and Technologies Conference (Published Online). Reston: AIAA , 2008: 1-9. [9] 钱少科. 基于非线性模型的三维制导律分析与设计[D]. 长沙: 国防科技大学, 2018: 15-47.QIAN S K. Design and analysis of three-dimensional guidance laws based on nonlinear formulation[D]. Changsha: National University of Defense Technology, 2018: 15-47 (in Chinese). [10] 侯煜博. 末段高层跟踪制导技术研究[D]. 成都: 电子科技大学, 2014: 46-59.HOU Y B. Research on tracking and guidance algorithms of terminal high-altitude missile target[D]. Chengdu: University of Electronic Science and Technology of China, 2014: 46-59 (in Chinese). [11] 孙辰昕. 高超声速飞行器的增益调度控制器设计[D]. 哈尔滨: 哈尔滨工业大学, 2016: 47-61.SUN C X. The design of gain scheduling controller of hypersonic vehicle[D]. Harbin: Harbin Institute of Technology, 2016: 47-61 (in Chinese). [12] 黄宜庆, 江岩, 李志琨, 等. 高超声速飞行器的增益调度切换控制[J]. 控制工程, 2019, 26(3): 405-411.HUANG Y Q, JIANG Y, LI Z K, et al. Output feedback gain-scheduled switching control for hypersonic vehicles[J]. Control Engineering of China, 2019, 26(3): 405-411(in Chinese). [13] 梁冰冰, 江驹, 吴雨珊, 等. 放宽静稳定性高超声速飞行器的增稳控制方法[J]. 哈尔滨工程大学学报, 2015, 36(10): 1365-1369.LIANG B B, JIANG J, WU Y S, et al. Stability augmentation control method for hypersonic vehicles with relaxed static stability[J]. Journal of Harbin Engineering University, 2015, 36(10): 1365-1369(in Chinese). [14] 杜运理, 夏群利, 蔡春涛. 雷达导引头天线罩误差对制导精度影响研究[J]. 弹箭与制导学报, 2010, 30(5): 79-82.DU Y L, XIA Q L, CAI C T. The study on miss distance of radar seeker guided missile due to radome slope error[J]. Journal of Projectiles, Rockets, Missiles and Guidance, 2010, 30(5): 79-82(in Chinese). [15] 赵春明, 吴昭辉, 方海红, 等. 寻的制导回路建模与稳定性分析[J]. 航天控制, 2014, 32(1): 3-9.ZHAO C M, WU Z H, FANG H H, et al. The modeling and stability analysis of the homing guidance loop[J]. Aerospace Control, 2014, 32(1): 3-9(in Chinese). [16] 张漠杰. 天线罩的瞄准线误差和误差斜率[J]. 上海航天, 1993(6): 39-43.ZHANG M J. Line of sight error and error slope of the radome[J]. Aerospace Shanghai, 1993(6): 39-43(in Chinese). [17] TIAN S, LIN D, WANG J, et al. Dynamic stability of rolling missiles with angle-of-attack feedback three-loop autopilot considering parasitic effect[J]. Aerospace Science and Technology, 2017, 71: 1-10. -


下载: