Rapid evaluation method for aerodynamic characteristics of distributed electric propulsion aircraft concept scheme
-
摘要:
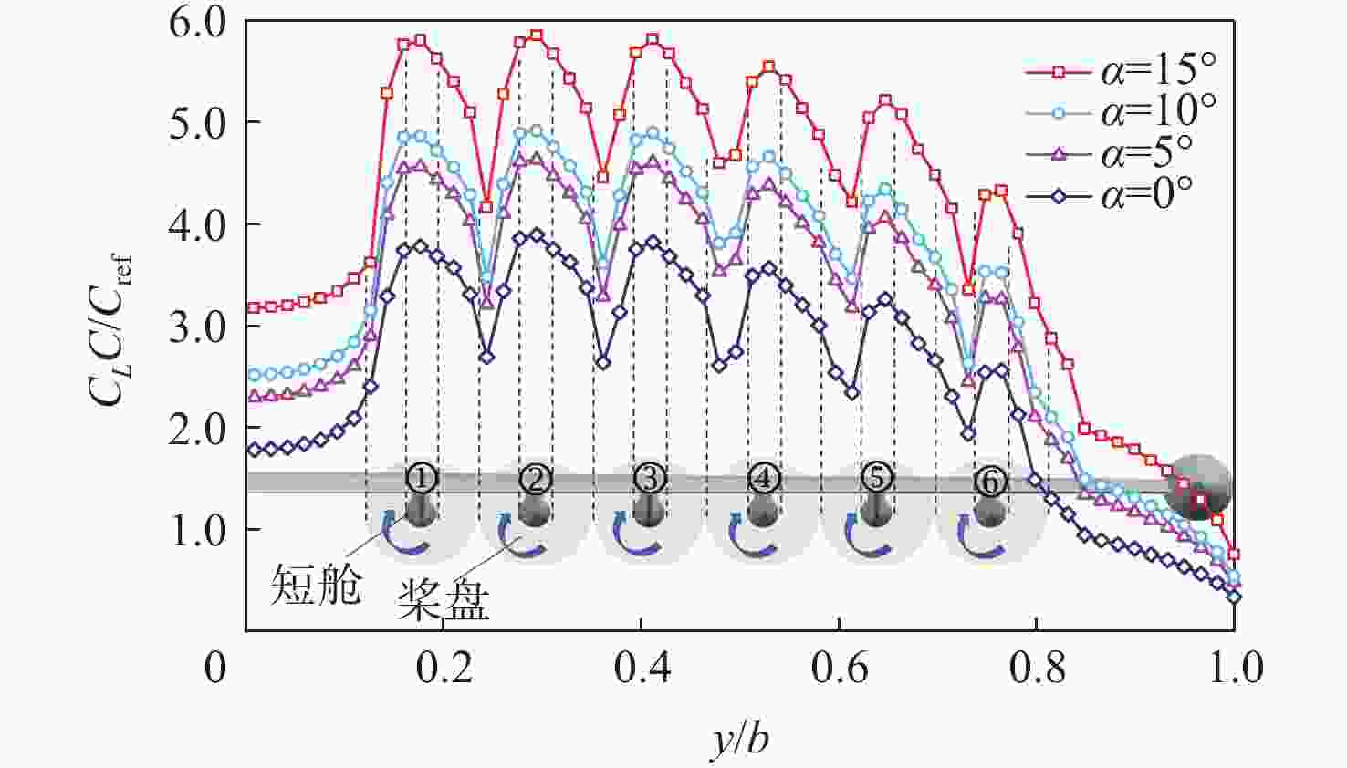
分布式电推进(DEP)飞机充分利用气动/推进耦合效应提高飞机的气动效率,但动力数量增加导致螺旋桨滑流与翼面流场干扰强烈,气动分析和设计的复杂度及计算成本上升。为提高DEP飞机早期设计阶段气动设计效率,降低研制成本,采用线性无黏的涡格法-激励盘理论(VLM-ADT)、涡格法-非定常涡格法(VLM-UVLM)及加入黏性修正的VLM(Modified-VLM)提出气动特性快速评估方法。对单机翼、单螺旋桨/机翼耦合、X-57机翼(巡航、高升力状态)及分布式螺旋桨/机翼耦合构型的气动特性进行快速评估。与基于雷诺平均Navier-Stokes(RANS)方程求解器的结果对比,单机翼和单螺旋桨/机翼升力系数和阻力系数一致性良好,误差最大不超过8.2%;俯仰力矩系数在同一数量级。X-57机翼和分布式螺旋桨/机翼的升力系数与RANS方程结果吻合度较高,误差最大不超过10%。考虑黏性修正的VLM所计算的X-57机翼和分布式螺旋桨/机翼的总阻力系数与RANS方程结果趋势一致。分布式螺旋桨滑流增加机翼的动压,使机翼局部有效迎角发生改变,改变了机翼当地升阻特性。所提方法为分布式螺旋桨飞机在早期设计阶段气动特性快速评估和气动布局方案快速选型提供了一种兼顾计算精度和效率的有效方法。
Abstract:Distributed electric propulsion (DEP) aircraft makes full use of the aerodynamic/propulsion coupling effect to improve the aerodynamic efficiency of the aircraft, but the increase in the amount of power leads to strong interference between the propeller slipstream and the wing surface flow field, the complexity of aerodynamic analysis and design, and the rising costs of calculations. To improve the efficiency of aerodynamic design in the early design stage of DEP aircraft and reduce the development cost, a rapid evalution method of aerodynamic characteristics is proposed based on linear non-viscous vortex lattice method and actuator disk theory (VLM-ADT), VLM-unsteady VLM (VLM-UVLM) and Modified-VLM with viscosity correction. The aerodynamic characteristics of single wing, single propeller/wing coupling, X-57 wing (cruising, high lift state), and distributed propeller/wing coupling configuration were quickly evaluated. Compared with the Reyonlds-averaged Navier-Stokes (RANS) results, the lift coefficient and drag coefficient of single wing and single propeller/wing are in good agreement, and the maximum error does not exceed 8.2%; the pitch moment coefficient is in the same order of magnitude. The lift coefficients of the X-57 wing and the distributed propeller/wing are in good agreement with the RANS results, and the maximum error does not exceed 10%. The total drag coefficient of the X-57 wing and the distributed propeller/wing calculated by the VLM considering the viscosity correction is consistent with the trend of the RANS results. The distributed propeller slipstream increases the dynamic pressure of the wing, changes the local effective angle of attack of the wing, and changes the local lift-drag characteristics of the wing. Proposed method provides an effective method for the rapid evaluation of aerodynamic characteristics and rapid selection of aerodynamic layout schemes for distributed propeller aircraft in the early design stage.
-
表 1 计算构型1的几何参数
Table 1. Geometric parameters of calculated configuration 1
构型形成 参考弦
长/m翼展/m 机翼面
积/m2展弦比 螺旋
桨数目螺旋桨
直径/m单机翼 0.714 1 3.048 2.176 7 4.3 0 0 机翼/单螺
旋桨0.714 1 3.048 2.176 7 4.3 1 0.576 表 2 计算构型2的几何参数
Table 2. Geometric parameters of calculated configuration 2
构型
形成参考弦
长/m翼展/m 机翼面
积/m2展弦比 螺旋
桨数目螺旋桨
直径/mX-57
机翼0.65 9.627 6.193 9 15 0 0 X-57机
翼/分布
式螺旋桨0.65 9.627 6.193 9 15 12 0.576 -
[1] 黄俊. 分布式电推进飞机设计技术综述[J]. 航空学报, 2021, 42(3): 624037.HUANG J. Survey on design technology of distributed electric propulsion aircraft[J]. Acta Aeronautica et Astronautica Sinica, 2021, 42(3): 624037(in Chinese). [2] GOHARDANI A S, DOULGERIS G, SINGH R. Challenges of future aircraft propulsion: A review of distributed propulsion technology and its potential application for the all electric commercial aircraft[J]. Progress in Aerospace Sciences, 2011, 47(5): 369-391. doi: 10.1016/j.paerosci.2010.09.001 [3] GOHARDANI A S. A synergistic glance at the prospects of distributed propulsion technology and the electric aircraft concept for future unmanned air vehicles and commercial/military aviation[J]. Progress in Aerospace Sciences, 2013, 57: 25-70. doi: 10.1016/j.paerosci.2012.08.001 [4] 孔祥浩, 张卓然, 陆嘉伟, 等. 分布式电推进飞机电力系统研究综述[J]. 航空学报, 2018, 39(1): 021651.KONG X H, ZHANG Z R, LU J W, et al. Review of electric power system of distributed electric propulsion aircraft[J]. Acta Aeronautica et Astronautica Sinica, 2018, 39(1): 021651(in Chinese). [5] KIM H D, PERRY A T, ANSELL P J. A review of distributed electric propulsion concepts for air vehicle technology[C]//2018 AIAA/IEEE Electric Aircraft Technologies Symposium. Piscataway: IEEE Press, 2018: 1-21. [6] BORER N K, MOORE M D, TURNBULL A. Tradespace exploration of distributed propulsors for advanced on-demand mobility concepts[C]//Proceedings of the 14th AIAA Aviation Technology, Integration, and Operations Conference. Reston: AIAA, 2014. [7] GINN S R. Enabling electric propulsion for flight: AFRC-E-DAA-TN23667[R]. Washington, D. C. : NASA, 2014. [8] MOORE M D. Misconceptions of electric aircraft and their emerging aviation markets[C]//Proceedings of the 52nd Aerospace Sciences Meeting. Reston: AIAA, 2014. [9] BORER N K, PATTERSON M D, VIKEN J K, et al. Design and performance of the NASA SCEPTOR distributed electric propulsion flight demonstrator[C]//Proceedings of the 16th AIAA Aviation Technology, Integration, and Operations Conference. Reston: AIAA, 2016. [10] STOLL A M, BEVIRT J, MOORE M D, et al. Drag reduction through distributed electric propulsion[C]//Proceedings of the 14th AIAA Aviation Technology, Integration, and Operations Conference. Reston: AIAA, 2014. [11] STOLL A M. Comparison of CFD and experimental results of the LEAPTech distributed electric propulsion blown wing[C]//Proceedings of the 15th AIAA Aviation Technology, Integration, and Operations Conference. Reston: AIAA, 2015. [12] DEERE K A, VIKEN S, CARTER M, et al. Computational analysis of powered lift augmentation for the LEAPTech distributed electric propulsion wing[C]//Proceedings of the 35th AIAA Applied Aerodynamics Conference. Reston: AIAA, 2017. [13] DEERE K A, VIKEN S, CARTER M, et al. Comparison of high-fidelity computational tools for wing design of a distributed electric propulsion aircraft[C]//Proceedings of the 35th AIAA Applied Aerodynamics Conference. Reston: AIAA, 2017. [14] WICK A T, HOOKER J R, ZEUNE C H. Integrated aerodynamic benefits of distributed propulsion[C]//Proceedings of the 53rd AIAA Aerospace Sciences Meeting. Reston: AIAA, 2015. [15] KROO I. Propeller-wing integration for minimum induced loss[J]. Journal of Aircraft, 1986, 23(7): 561-565. doi: 10.2514/3.45344 [16] FELDER J, KIM H, BROWN G, et al. An examination of the effect of boundary layer ingestion on turboelectric distributed propulsion systems[C]//Proceedings of the 49th AIAA Aerospace Sciences Meeting including the New Horizons Forum and Aerospace Exposition. Reston: AIAA, 2011. [17] KERHO M F. Aero-propulsive coupling of an embedded, distributed propulsion system[C]//Proceedings of the 33rd AIAA Applied Aerodynamics Conference. Reston: AIAA, 2015. [18] DE VRIES R, VAN ARNHEM N, SINNIGE T, et al. Aerodynamic interaction between propellers of a distributed-propulsion system in forward flight[J]. Aerospace Science and Technology, 2021, 118: 107009. doi: 10.1016/j.ast.2021.107009 [19] AREF P, GHOREYSHI M, JIRASEK A, et al. Computational study of propeller wing aerodynamic interaction[C]//Proceedings of the 2018 AIAA Aerospace Sciences Meeting. Reston: AIAA, 2018. [20] VELDHUIS L L M, HEYMA P M. Aerodynamic optimisation of wings in multi-engined tractor propeller arrangements[J]. Aircraft Design, 2000, 3(3): 129-149. doi: 10.1016/S1369-8869(00)00010-0 [21] VELDHUIS L L M, HEYMA P M. A simple wing optimization code including propeller effects[C]//Proceedings of the 21st Congress of International Council of the Aeronautical Sciences. Melbourne: ICAS, 1998. [22] VELDHUIS L L M. Propeller wing aerodynamic interference[D]. Delft: Delft University of Technology, 2005. [23] PATTERSON M D, GERMAN B. Wing aerodynamic analysis incorporating one-way interaction with distributed propellers[C]// Proceedings of the 14th AIAA Aviation Technology, Integration, and Operations Conference. Reston: AIAA, 2014. [24] PAVEL H, JAN K, NIKOLA Ž. Wing and propeller aerodynamic interaction through nonlinear lifting line theory and blade element momentum theory[J]. MATEC Web of Conferences, 2018, 233: 00027. doi: 10.1051/matecconf/201823300027 [25] MARCUS E A, DE VRIES R, RAJU KULKARNI A, et al. Aerodynamic investigation of an over-the-wing propeller for distributed propulsion[C]//Proceedings of the 2018 AIAA Aerospace Sciences Meeting. Reston: AIAA, 2018. [26] BOHARI B, BRONZ M, BENARD E, et al. Conceptual design of distributed propeller aircraft: Linear aerodynamic model verification of propeller-wing interaction[C]//Proceeding of the 7th European Conference for Aeronautica and Space Sciences. Milan: EUCASS Association, 2017. [27] BOHARI B, BORLON Q, MENDOZA-SANTOS P B, et al. Conceptual design of distributed propellers aircraft: Non-linear aerodynamic model verification of propeller-wing interaction in high-lifting configuration[C]//Proceedings of the 2018 AIAA Aerospace Sciences Meeting. Reston: AIAA, 2018. [28] 杨小川, 王运涛, 孟德虹, 等. 不同分布式螺旋桨转向组合下的机翼滑流效应研究[J]. 空气动力学学报, 2019, 37(1): 89-98.YANG X C, WANG Y T, MENG D H, et al. Study on wing slipstream effects of distributed propellers with different rotating directions[J]. Acta Aerodynamica Sinica, 2019, 37(1): 89-98(in Chinese). [29] 杨小川, 李伟, 王运涛, 等. 一种分布式螺旋桨运输机方案及其滑流效应研究[J]. 西北工业大学学报, 2019, 37(2): 361-368. doi: 10.3969/j.issn.1000-2758.2019.02.020YANG X C, LI W, WANG Y T, et al. Research on aerodynamic shape design scheme of a distributed propeller transport aircraft and its slipstream effect[J]. Journal of Northwestern Polytechnical University, 2019, 37(2): 361-368(in Chinese). doi: 10.3969/j.issn.1000-2758.2019.02.020 [30] 杨伟, 范召林, 吴文华, 等. 考虑滑流影响的分布式螺旋桨布局优化设计[J]. 空气动力学学报, 2021, 39(3): 71-79. doi: 10.7638/kqdlxxb-2020.0189YANG W, FAN Z L, WU W H, et al. Optimal design of distributed propeller layout considering slipstream effect[J]. Acta Aerodynamica Sinica, 2021, 39(3): 71-79(in Chinese). doi: 10.7638/kqdlxxb-2020.0189 [31] 饶崇, 张铁军, 魏闯, 等. 一种分布式电动飞机螺旋桨滑流影响机理[J]. 航空学报, 2021, 42(S1): 157-167.RAO C, ZHANG T J, WEI C, et al. Influence mechanism of propeller slipstream on wing of a distributed electric aircraft scheme[J]. Acta Aeronautica et Astronautica Sinica, 2021, 42(S1): 157-167(in Chinese). [32] 王科雷, 祝小平, 周洲, 等. 低雷诺数分布式螺旋桨滑流气动影响[J]. 航空学报, 2016, 37(9): 2669-2678.WANG K L, ZHU X P, ZHOU Z, et al. Distributed electric propulsion slipstream aerodynamic effects at low Reynolds number[J]. Acta Aeronautica et Astronautica Sinica, 2016, 37(9): 2669-2678(in Chinese). [33] CONWAY J T. Analytical solutions for the actuator disk with variable radial distribution of load[J]. Journal of Fluid Mechanics, 1995, 297: 327-355. doi: 10.1017/S0022112095003120 [34] CONWAY J T. Exact actuator disk solutions for non-uniform heavy loading and slipstream contraction[J]. Journal of Fluid Mechanics, 1998, 365: 235-267. doi: 10.1017/S0022112098001372 [35] CONWAY J T. Prediction of the performance of heavily loaded propellers with slipstream contraction[J]. Canadian Aeronautics and Space Journal, 1998, 44(3): 169-174. [36] CONWAY J. Analytical solutions for the general non-axisymmetric linearized actuator disk[C]//Proceedings of the 21st AIAA Applied Aerodynamics Conference. Reston: AIAA, 2003. [37] LAN C E. A quasi-vortex-lattice method in thin wing theory[J]. Journal of Aircraft, 1974, 11(9): 518-527. doi: 10.2514/3.60381 [38] MIRANDA L R, ELLIOT R D, BAKER W M. A generalized vortex lattice method for subsonic and supersonic flow applications: NASA-CR-2865 [R]. Washing, D. C. : NASA, 1977. [39] KONSTADINOPOULOS P, THRASHER D F, MOOK D T, et al. A vortex-lattice method for general, unsteady aerodynamics[J]. Journal of Aircraft, 1985, 22(1): 43-49. doi: 10.2514/3.45078 [40] KATZ J, PLOTKIN A. Low-speed aerodynamics[M]. 2nd ed. Cambridge: Cambridge University Press, 2001. [41] LEVIN D, KATZ J. Vortex-lattice method for the calculation of the nonsteady separated flow over delta wings[J]. Journal of Aircraft, 1981, 18(12): 1032-1037. doi: 10.2514/3.57596 [42] SIMPSON R J S, PALACIOS R, MURUA J. Induced-drag calculations in the unsteady vortex lattice method[J]. AIAA Journal, 2013, 51(7): 1775-1779. doi: 10.2514/1.J052136 [43] MURUA J, PALACIOS R, GRAHAM J M R. Applications of the unsteady vortex-lattice method in aircraft aeroelasticity and flight dynamics[J]. Progress in Aerospace Sciences, 2012, 55: 46-72. doi: 10.1016/j.paerosci.2012.06.001 [44] VATISTAS G H, KOZEL V, MIH W C. A simpler model for concentrated vortices[J]. Experiments in Fluids, 1991, 11(1): 73-76. doi: 10.1007/BF00198434 [45] LEISHMANN J G. Principles of helicopter aerodynamics[M]. 2nd ed. Cambridge: Cambridge University Press, 2006: 232-236. [46] BHAGWAT M J, LEISHMAN J G. Generalized viscous vortex model for application to free-vortex wake and aeroacoustic calculations[J]. Annual forum Proceedings, 2002(1): 1-18. [47] NASA. NASA OVERFLOW overset grid CFD flow solver [EB/OL]. (2020-11-08)[2021-11-10]. [48] NASA. X-57 Technical papers [EB/OL]. (2020-08-03)[2021-11-14]. -


下载: