-
摘要:
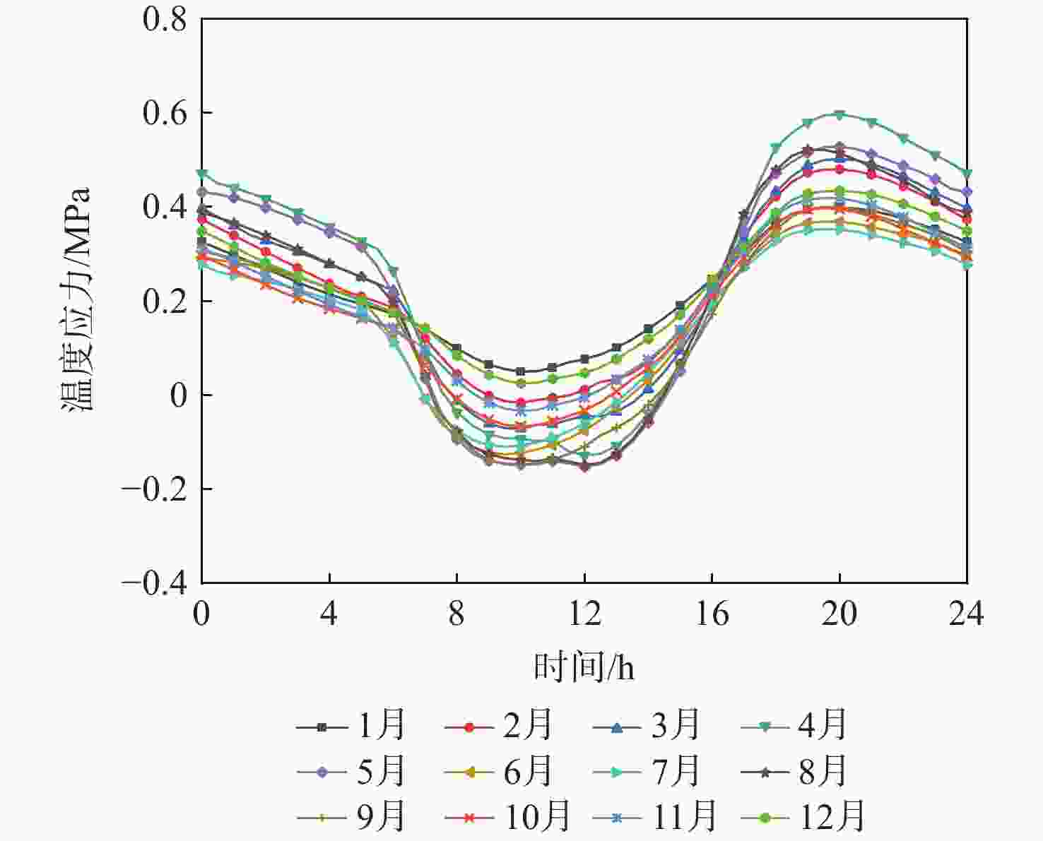
目前,中国机场水泥混凝土道面设计中并未单独计算温度应力。参考传热学研究成果在道路工程和场道工程中的应用,采用华北地区某机场实例及其气象数据,建立有限元模型模拟道面结构温度场,并计算分析该机场道面板温度场和温度应力情况。结果表明,温度荷载造成的板底应力曲线与气温、辐射曲线之间存在较大的相位差,板底最大拉应力出现在19—20时。将随时间变化的温度应力与随横向位置变化的飞机轮载应力叠加,并将轮载作用次数按横向、月度、时刻分布,计算机场道面板的累计损伤和剩余寿命。结果表明,采用该方法预测的机场跑道剩余寿命与钻芯取样检测、FAARFIELD软件预测结果,以及跑道实际继续运营时长较为接近。可通过所提方法计算厚度较大的机场道面板的温度应力,对既有机场水泥混凝土道面结构的剩余寿命进行预测评估,并为大尺寸机场水泥混凝土道面板的研究和设计提供参考。
Abstract:At present, temperature stress is not calculated in the design of airfield cement concrete pavement in China. The finite element model is established to simulate the temperature field of the structure and analyze the temperature stress of the slab using the case of an airport in North China, its meteorological data, and the application of heat transfer theories in road engineering and airfield engineering. The results show that there is a large lag between the atmospheric temperature curve, the radiation curve, and the temperature stress curve of the slab bottom, which leads to the maximum temperature stress occurring at 19 to 20. We may examine the cumulative damage and remaining life of the airport pavement by superimposing the temperature stress, which varies with time, and the gear stress, which varies with transverse position, and dividing the number of gear load actions according to transverse position, month, and hour. The results show that the residual life of the airfield pavement analyzed by this method is close to the prediction result of core sampling and FAARFIELD, as well as the actual continuous operation time of the pavement. This method above can be used to calculate the temperature stress of the slab with large thickness, predict and evaluate the residual life of the existing airfield pavement structure, and is a reference for the research and design of the large-size airfield pavement structure.
-
表 1 道面板边中点翘曲变形值有限元解与解析解的对比
Table 1. Comparison between FEM solutions and analytical solution of warping deformation at midpoint of edge of pavement slab
有限元/解析解 板重度 翘曲变形值/mm 长边中点 短边中点 有限元解 W 1.306 1.651 0.1W 1.903 2.425 0.01W 1.983 2.456 0.001W 1.996 2.466 解析解 1.998 2.467 表 2 机场跑道物理参数
Table 2. Physical parameters of airfield pavement
类型 厚度/m 密度/
(kg·m−3)弹性模量/
MPa泊松比 膨胀系数/
℃−1导热系数/
(J·(m·h·℃)−1)比热容/
(J·(kg·℃)−1)太阳辐射
吸收率长波辐射
吸收率道面辐射
发射率天空辐射
发射率水泥混凝土面层 0.38 2500 38000 0.15 1×10−5 8000 960 0.76 0.85 0.63 0.88 水泥稳定碎石基层 0.4 2000 1500 0.25 9.8×10−6 6700 910 土基 10 1800 90 0.35 4×10−6 6300 1040 表 3 机场跑道月平均气象参数
Table 3. Monthly mean meteorological parameters of airfield pavement
月份 最高气温/
℃最低气温/
℃风速/
(m·s−1)日总辐射量/
(J·m−2)太阳辐射
时长/h1月 7.78 −2.22 3.67 5.34×106 8.2 2月 13.33 0.56 4.96 9.10×106 9.1 3月 19.44 5.00 5.34 1.143×107 9.4 4月 23.33 8.33 5.32 1.686×107 10.6 5月 31.67 17.22 5.20 1.730×107 11.3 6月 32.78 21.11 4.38 1.444×107 11.4 7月 31.67 21.11 4.04 1.076×107 11.4 8月 32.78 22.78 4.32 1.945×107 11.4 9月 30.56 17.78 3.96 1.176×107 11.3 10月 21.67 11.11 3.54 9.71×106 10.2 11月 16.11 5.00 4.41 8.70×106 8.9 12月 8.89 −2.78 4.39 6.32×106 8.3 -
[1] BARBER E S. Calculation of maximum pavement temperatures from weather reports[R]. Washington, D. C. : National Academy of Sciences National Research Council, 1957: 1-8. [2] 严作人. 层状路面体系的温度场分析[J]. 同济大学学报, 1984(3): 76-85.YAN Z R. Analysis of the temperature field in layered pavement system[J]. Journal of Tongji University (Natural Science), 1984(3): 76-85(in Chinese). [3] 吴赣昌. 层状路面体系温度场分析[J]. 中国公路学报, 1992, 5(4): 17-25.WU G C. The analysis of pavement temperature field of multi-layer system[J]. China Journal of Highway and Transport, 1992, 5(4): 17-25(in Chinese). [4] 中交公路规划设计院有限公司. 公路水泥混凝土路面设计规范: JTG D40—2011[S]. 北京: 人民交通出版社, 2011.China Communications Highway Planning and Design Institute Co., Ltd. Specification of cement pavement design of highway: JTG D40—2011[S]. Beijing: China Communications Press, 2011(in Chinese). [5] 谈至明, 姚祖康, 刘伯莹. 水泥混凝土路面的温度应力分析[J]. 公路, 2002(8): 19-23.TAN Z M, YAO Z K, LIU B Y. Analysis of thermal stresses in cement concrete pavements[J]. Highway, 2002(8): 19-23(in Chinese). [6] 李巧生, 赵鸿铎, 凌建明. 适应大型特种飞机的机场水泥混凝土道面结构设计方法[J]. 土木工程学报, 2011, 44(1): 121-126.LI Q S, ZHAO H D, LING J M. Method of airport concrete pavement design for large military transport aircraft[J]. China Civil Engineering Journal, 2011, 44(1): 121-126(in Chinese). [7] CAI L C, ZHU Z Q, WU A H, et al. Cement concrete pavement design based on cumulative damage factor[J]. Journal of Traffic and Transportation Engineering, 2012, 12(4): 1-8. [8] 吴爱红, 蔡良才, 顾强康, 等. 适应未来大型飞机的水泥混凝土道面设计方法[J]. 北京亚洲成人在线一二三四五六区学报, 2011, 37(9): 1169-1175.WU A H, CAI L C, GU Q K, et al. Airport concrete pavement design for large aircraft in future[J]. Journal of Beijing University of Aeronautics and Astronautics, 2011, 37(9): 1169-1175(in Chinese). [9] 翁兴中, 谭麦秋, 黄小明, 等. 机场水泥混凝土道面板尺寸的确定方法[J]. 空军工程大学学报(自然科学版), 2003, 4(6): 11-13.WENG X Z, TAN M Q, HUANG X M, et al. Calculating method of size of large cement concrete slab[J]. Journal of Air Force Engineering University (Natural Science Edition), 2003, 4(6): 11-13(in Chinese). [10] 田波, 权磊, 牛开民. 不同基层类型水泥混凝土路面温度翘曲结构试验与理论分析[J]. 中国公路学报, 2014, 27(6): 17-26.TIAN B, QUAN L, NIU K M. Structural experiment and theoretical analysis of thermal curling in JPCP with different base types[J]. China Journal of Highway and Transport, 2014, 27(6): 17-26(in Chinese). [11] 赵鸿铎, 马鲁宽. 基于实测数据的机场水泥道面变温效应分析[J]. 同济大学学报(自然科学版), 2019, 47(12): 1764-1771.ZHAO H D, MA L K. Investigation into effects of temperature variations on airport cement pavements based on measured data[J]. Journal of Tongji University (Natural Science), 2019, 47(12): 1764-1771(in Chinese). [12] FOXWORTHY P T. Concepts for the development of a nondestructive testing and evaluation system for airfield pavements[D]. Urbana-Champaign: University of Illinois at Urbana-Champaign, 1985. [13] THOMPSON M R, BARENBERG E J. Calibrated mechanistic structural analysis procedure for pavements[R]. Washington, D. C. : National Research Council, 1992. [14] KHAZANOVICH L, DARTER M. Lessons learned from MEPDG development: A confession of the JPCP MEPDG developers[C]// Proceedings of the 10th International Conference on Concrete Pavements. Bridgeville: International Society for Concrete Pavements, 2012: 1-16. [15] DARTER M, KHAZANOVICH L, YU T, et al. Reliability analysis of cracking and faulting prediction in the new mechanistic-empirical pavement design procedure[J]. Transportation Research Record:Journal of the Transportation Research Board, 2005, 1936(1): 150-160. doi: 10.1177/0361198105193600118 [16] 权磊, 田波, 冯德成, 等. 水泥混凝土板硬化温度翘曲正向计算方法研究[J]. 土木工程学报, 2016, 49(4): 121-128.QUAN L, TIAN B, FENG D C, et al. Forward calculation method to determine built-in thermal curling of concrete slabs[J]. China Civil Engineering Journal, 2016, 49(4): 121-128(in Chinese). [17] 张献民, 李梦晓, 陈宇, 等. 机场跑道水泥混凝土道面板尺寸分析[J]. 北京亚洲成人在线一二三四五六区学报, 2022, 48(4): 551-559.ZHANG X M, LI M X, CHEN Y, et al. Research on size of cement concrete pavement of airport runway[J]. Journal of Beijing University of Aeronautics and Astronautics, 2022, 48(4): 551-559(in Chinese). [18] XU B S, ZHANG W Z, MEI J. Optimization of structure parameters of airfield jointed concrete pavements under temperature gradient and aircraft loads[J]. Advances in Materials Science and Engineering, 2019, 2019: 3251590. [19] 宋福春, 才华, 于铃, 等. 沥青路面非线性瞬态温度场的分析[J]. 沈阳建筑工程学院学报(自然科学版), 2003(4): 264-267.SONG F C, CAI H, YU L, et al. Analysis of nonlinear transient temperature field in asphalt pavement[J]. Journal of Shenyang Architecture and Civil Engineering University (Natural Science), 2003(4): 264-267(in Chinese) . [20] 孙丽娟. 考虑层间接触的半刚性基层沥青路面热应力耦合分析[D]. 杭州: 浙江大学, 2013.SUN L J. Analysis on the thermal stress of the semi-rigid base and pavement with contact model[D]. Hangzhou: Zhejiang University, 2013(in Chinese) . [21] EPHRATH J E, GOUDRIAAN J, MARANI A. Modelling diurnal patterns of air temperature, radiation, wind speed and relative humidity by equations from daily characteristics[J]. Agricultural Systems, 1996, 51(4): 377-393. doi: 10.1016/0308-521X(95)00068-G [22] 余卫东, 汤新海. 气温日变化过程的模拟与订正[J]. 中国农业气象, 2009, 30(1): 35-40. doi: 10.3969/j.issn.1000-6362.2009.01.008YU W D, TANG X H. Simulation and modification of daily variation of air temperature[J]. Chinese Journal of Agrometeorology, 2009, 30(1): 35-40(in Chinese). doi: 10.3969/j.issn.1000-6362.2009.01.008 [23] ZUO G. Impacts of environmental factors on flexible pavements[D]. Knoxville: University of Tennessee, Knoxcille, 2003. [24] 谈至明, 邹晓翎, 刘伯莹. 路面温度场的数值解及几个关键问题探讨[J]. 同济大学学报(自然科学版), 2010, 38(3): 374-379.TAN Z M, ZOU X L, LIU B Y. Numerical solution to pavement temperature fields and discussion on several key issues[J]. Journal of Tongji University (Natural Science), 2010, 38(3): 374-379(in Chinese). [25] 刘森元, 黄远锋. 天空有效温度的探讨[J]. 太阳能学报, 1983, 4(1): 63-68.LIU S Y, HUANG Y F. Discussion on effective sky temperature[J]. Acta Energiae Solaris Sinica, 1983, 4(1): 63-68(in Chinese). [26] 中国气象局气象信息中心气象资料室. 中国建筑热环境分析专用气象数据集[M]. 北京: 中国建筑出版社, 2005.Meteorological Data Room of China Meteorological Administration Meteorological Information Center. Special meteorological dataset for building thermal environment analysis in China[M]. Beijing: China Architecture Press, 2005(in Chinese). [27] 周正峰, 凌建明. 基于ABAQUS的机场刚性道面结构有限元模型[J]. 交通运输工程学报, 2009, 9(3): 39-44. doi: 10.3321/j.issn:1671-1637.2009.03.007ZHOU Z F, LING J M. Finite element model of airport rigid pavement structure based on ABAQUS[J]. Journal of Traffic and Transportation Engineering, 2009, 9(3): 39-44(in Chinese). doi: 10.3321/j.issn:1671-1637.2009.03.007 [28] 张献民, 刘小兰, 张子文. 基于振动特性的机场刚性道面传荷性能[J]. 北京亚洲成人在线一二三四五六区学报, 2018, 44(9): 1787-1796.ZHANG X M, LIU X L, ZHANG Z W. Rigid pavement load transfer ability of airport based on vibration characteristics[J]. Journal of Beijing University of Aeronautics and Astronautics, 2018, 44(9): 1787-1796(in Chinese). [29] 谈至明, 姚祖康. 非线性温度场下的水泥混凝土路面温度应力[J]. 中国公路学报, 1993, 6(4): 9-17.TAN Z M, YAO Z K. Thermal stress in cement concrete pavements with non-linear temperature regime[J]. China Journal of Highway and Transport, 1993, 6(4): 9-17(in Chinese). [30] 李雄, 陈晓清, 李冬宾, 等. 航班起降波形分类及特征研究[J]. 飞行力学, 2016, 34(2): 90-94.LI X, CHEN X Q, LI D B, et al. Classification and characteristics of flights taking off and landing waveforms[J]. Fligt Dynamics, 2016, 34(2): 90-94(in Chinese). [31] 蔡良才, 王海服, 张罗利, 等. 基于累积损伤的机场道面剩余寿命预测模型[J]. 交通运输工程学报, 2014, 14(4): 1-6. doi: 10.3969/j.issn.1671-1637.2014.04.001CAI L C, WANG H F, ZHANG L L, et al. Prediction model of remaining life for airport pavement based on cumulative damage[J]. Journal of Traffic and Transportation Engineering, 2014, 14(4): 1-6(in Chinese). doi: 10.3969/j.issn.1671-1637.2014.04.001 [32] Federal Aviation Administration. Airport pavement design and evaluation: AC 150/5320-6D[S]. Washington, D.C.: US Government Printing Office, 2004. [33] DARTER M.Concrete slab vs beam fatigue models[C]//Proceedings of the Second International Workshop on the Theoretical Design of Concrete Pavement. Ede: Netherlands Centre for Res & Contract Standardiza, 1995. [34] 中国民用航空局. 民用机场水泥混凝土道面设计规范: MH/T 5004—2010[S]. 北京: 人民交通出版社, 2010.Civil Aviation Administration of China. Specifations for airport cement concrete pavement design: MH/T 5004—2010[S]. Beijing: China Communications Press, 2010(in Chinese). [35] 程国勇, 张扬扬, 周浩. 机场跑道轮迹测试及横向分布参数研究[J]. 公路交通科技, 2020, 37(11): 22-30. doi: 10.3969/j.issn.1002-0268.2020.11.004CHENG G Y, ZHANG Y Y, ZHOU H. Study on wheel track test and lateral distribution parameters of airport runway[J]. Journal of Highway and Transportation Research and Development, 2020, 37(11): 22-30(in Chinese). doi: 10.3969/j.issn.1002-0268.2020.11.004 -


下载: