Prediction of ground air conditioner energy consumption based on improved long short-term memory neural network
-
摘要:
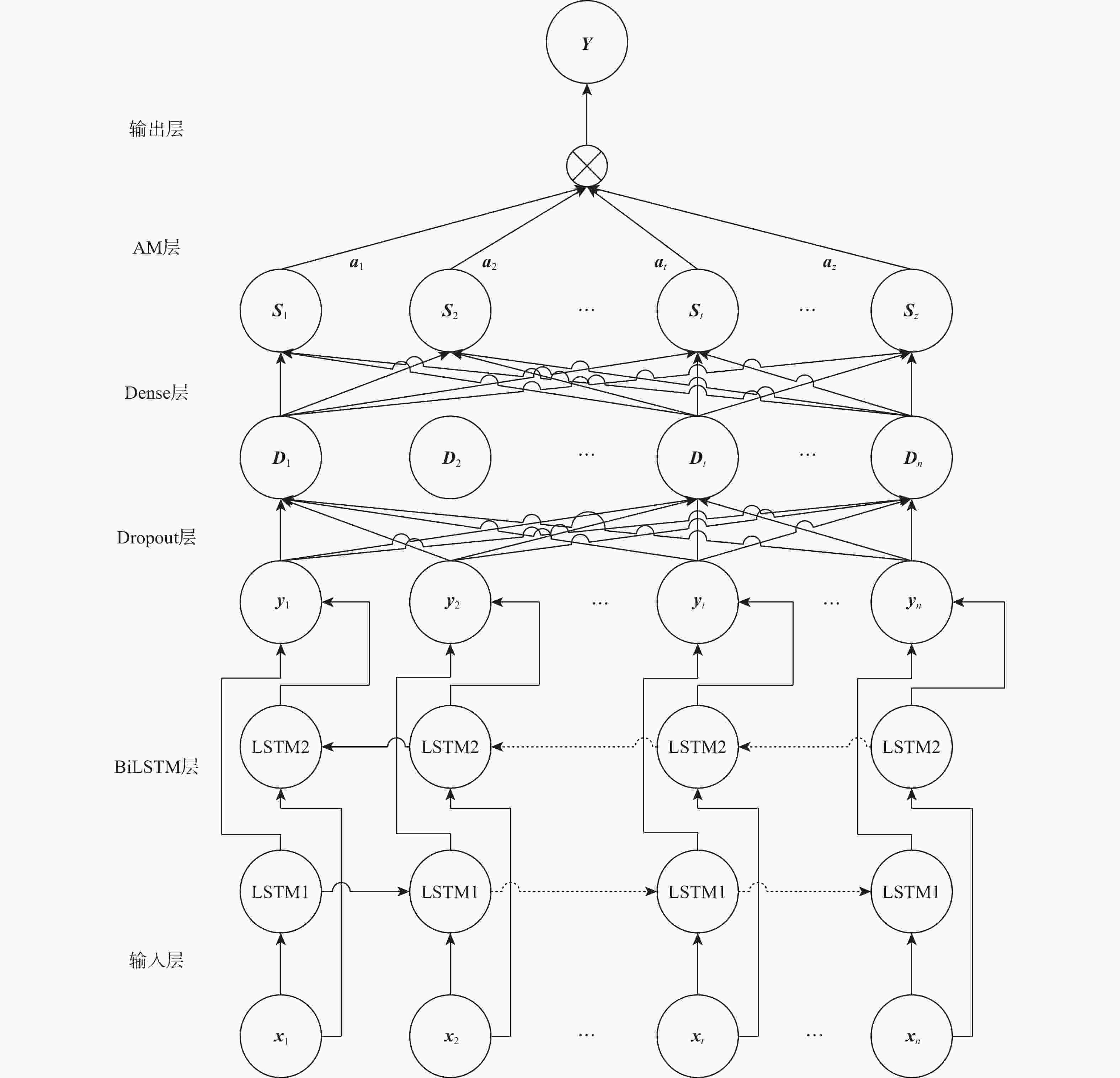
在机场运行管理中,地面空调是对飞机客舱进行降温除湿的主要设备,准确预测出其在工作过程中的耗电量对于建设绿色机场具有重要意义。地面空调能耗受多维因素的影响,为提高预测精度,提出一种基于改进双向长短时记忆(BiLSTM)神经网络的飞机地面空调能耗预测方法。所提方法使用BiLSTM神经网络和注意力机制构造模型的预测部分,可以充分挖掘和利用数据中的时间序列特征;并以预测精度最优为指标,提出一种基于改进蚁狮优化(IALO)算法的超参数优化算法,与标准蚁狮优化算法相比,改进蚁狮优化算法在随机游走空间缩小机制中改进了收缩因子并赋予收缩系数一定的随机性,同时引入普通蚁狮权重系数动态调整机制,提高所提算法的收敛速度及寻优能力。在实际数据集上进行仿真可知,所提方法预测结果的均方误差为6.045,平均绝对百分比误差为0.928%,决定系数为0.956。通过与其他多种预测方法比较,充分证明所提方法具有准确度高、适应性强等优点。
-
关键词:
- 地面空调 /
- 能耗预测 /
- 双向长短时记忆神经网络 /
- 注意力机制 /
- 蚁狮优化
Abstract:Ground air conditioners are the main equipment for cooling and dehumidification of airplane cabins, so accurate prediction of their energy consumption in the working process plays an important role in building green airports. The energy consumption of the ground air conditioner is affected by multidimensional factors. To improve the accuracy of energy consumption prediction, this study presents a method based on an improved bidirectional long short-term memory (BiLSTM) neural network. This method uses BiLSTM neural network and attention mechanism to construct the predictive part of the model, which can extract and utilize the time series characteristics of the data. Taking the optimal prediction accuracy as the index, this study also proposes a hyperparameter optimization method based on the improved ant lion optimization algorithm. Compared with the standard algorithm, the improved ant lion optimization (IALO) algorithm improves the shrinkage factor in the random walk space reduction mechanism, giving the shrinkage coefficient some randomness. It also introduces the dynamic adjustment mechanism of the ordinary ant lion weight coefficient, which improves the rate of convergence and optimization capabilities of the algorithm. The mean square error of the prediction result is 6.045, the mean absolute percentage error is 0.928%, and the coefficient of determination is 0.956. Compared with other prediction methods, the proposed method has higher accuracy and stronger adaptation.
-
表 1 部分样本数据
Table 1. Partial sample data
初始温度/℃ 初始湿度/% 最终温度/℃ 最终湿度/% 耗电量/kW 32.5 57.5 24.7 37.9 181.33 31.3 63.9 23.8 36.2 165.24 32.6 49.9 25.0 24.7 178.26 35.2 68.2 25.2 36.0 186.14 33.2 72.8 24.5 37.0 169.94 31.2 62.8 27.6 35.1 147.79 表 2 超参数搜索空间
Table 2. Search space of hyperparameters
超参数 搜索空间 批尺寸 1~20 学习率 0.0001~0.01 迭代次数 300~500 BiLSTM层的单元个数 10~200 Dense层的单元个数 10~200 Dropout层的抛弃率 0.1~0.9 表 3 各算法的最优超参数组合
Table 3. Optimal hyperparameter combination of different algorithms
算法 批尺寸 BiLSTM层的
单元个数Dense层的
单元个数迭代次数 Dropout层的
抛弃率学习率 PSO 1 200 96 499 0.1 0.01 ALO 8 65 67 487 0.2 0.0077 IALO 2 36 121 324 0.2 0.0064 表 4 不同模型预测结果对比(测试集)
Table 4. Comparison of prediction results based on different models (test set)
模型 MSE MAPE/% R2 BP 37.159 2.842 0.728 LSTM 17.257 1.870 0.874 BiLSTM 14.326 1.504 0.895 AM-BiLSTM 11.145 1.083 0.918 PSO-AM-BiLSTM 9.196 1.068 0.927 ALO-AM-BiLSTM 9.411 1.041 0.931 IALO-AM-BiLSTM 6.045 0.928 0.956 -
[1] 王修岩, 刘艳敏, 张革文, 等. 基于PSO和CRO联合算法的飞机客舱能耗预测[J]. 系统仿真学报, 2018, 30(8): 3074-3081.WANG X Y, LIU Y M, ZHANG G W, et al. Prediction of aircraft cabin energy consumption based on PSO and CRO algorithms[J]. Journal of System Simulation, 2018, 30(8): 3074-3081(in Chinese). [2] 林家泉, 孙凤山, 李亚冲, 等. 基于IPSO-Elman神经网络的飞机客舱能耗预测[J]. 航空学报, 2020, 41(7): 323614.LIN J Q, SUN F S, LI Y C, et al. Prediction of aircraft cabin energy consumption based on IPSO-Elman neural network[J]. Acta Aeronautica et Astronautica Sinica, 2020, 41(7): 323614(in Chinese). [3] GERS F A, SCHMIDHUBER J, CUMMINS F. Learning to forget: Continual prediction with LSTM[J]. Neural Computation, 2000, 12(10): 2451-2471. doi: 10.1162/089976600300015015 [4] HOCHREITER S, SCHMIDHUBER J. Long short-term memory[J]. Neural Computation, 1997, 9(8): 1735-1780. doi: 10.1162/neco.1997.9.8.1735 [5] 史亚菲, 李峭, 熊华钢. 基于LSTM的TTE网络速率约束流量预测[J]. 北京亚洲成人在线一二三四五六区学报, 2020, 46(4): 822-829.SHI Y F, LI Q, XIONG H G. Rate-constrained traffic prediction of TTE network based on LSTM[J]. Journal of Beijing University of Aeronautics and Astronautics, 2020, 46(4): 822-829(in Chinese). [6] CUI C, HE M, DI F C, et al. Research on power load forecasting method based on LSTM model[C]//2020 IEEE 5th Information Technology and Mechatronics Engineering Conference. Piscataway: IEEE Press, 2020: 1657-1660. [7] SIAMI-NAMINI S, TAVAKOLI N, NAMIN A S. The performance of LSTM and BiLSTM in forecasting time series[C]//2019 IEEE International Conference on Big Data. Piscataway: IEEE Press, 2020: 3285-3292. [8] ZHANG L, LIU P, ZHAO L, et al. Air quality predictions with a semi-supervised bidirectional LSTM neural network[J]. Atmospheric Pollution Research, 2021, 12(1): 328-339. doi: 10.1016/j.apr.2020.09.003 [9] 赵兵, 王增平, 纪维佳, 等. 基于注意力机制的CNN-GRU短期电力负荷预测方法[J]. 电网技术, 2019, 43(12): 4370-4376.ZHAO B, WANG Z P, JI W J, et al. A short-term power load forecasting method based on attention mechanism of CNN-GRU[J]. Power System Technology, 2019, 43(12): 4370-4376(in Chinese). [10] JING H, HAN L, GAO Z. Wind power ramp forecast based on feature extraction using convolutional neural network[J]. Dianli Xitong Zidonghua/Automation of Electric Power Systems, 2021, 45(4): 98-105. [11] ZHANG W, ZHU F, CHEN Y, et al. Bus passenger flow forecast based on attention and time-sharing graph convolutional network[J]. Moshi Shibie yu Rengong Zhineng/Pattern Recognition and Artificial Intelligence, 2021, 34(2): 167-175. [12] TAN R K, BORA Ş. Parameter tuning in modeling and simulations by using swarm intelligence optimization algorithms[C]//2017 9th International Conference on Computational Intelligence and Communication Networks. Piscataway: IEEE Press, 2018: 148-152. [13] PHAN H D, ELLIS K, BARCA J C, et al. A survey of dynamic parameter setting methods for nature-inspired swarm intelligence algorithms[J]. Neural Computing and Applications, 2020, 32(2): 567-588. doi: 10.1007/s00521-019-04229-2 [14] 龙远, 邓小龙, 杨希祥, 等. 基于PSO-BP神经网络的平流层风场短期快速预测[J]. 北京亚洲成人在线一二三四五六区学报, 2022, 48(10): 1970-1978.LONG Y, DENG X L, YANG X X, et al. Short-term rapid prediction of stratospheric wind field based on PSO-BP neural network[J]. Journal of Beijing University of Aeronautics and Astronautics, 2022, 48(10): 1970-1978(in Chinese). [15] YUAN X H, CHEN C, LEI X H, et al. Monthly runoff forecasting based on LSTM-ALO model[J]. Stochastic Environmental Research and Risk Assessment, 2018, 32(8): 2199-2212. doi: 10.1007/s00477-018-1560-y [16] CHENG H Y, DING X W, ZHOU W N, et al. A hybrid electricity price forecasting model with Bayesian optimization for German energy exchange[J]. International Journal of Electrical Power & Energy Systems, 2019, 110: 653-666. [17] YE Z W, TANG Y Z, LIU W, et al. Learning parameters in deep belief networks through ant lion optimization algorithm[C]//2019 10th IEEE International Conference on Intelligent Data Acquisition and Advanced Computing Systems: Technology and Applications. Piscataway: IEEE Press, 2019: 548-551. [18] MIRJALILI S. The ant lion optimizer[J]. Advances in Engineering Software, 2015, 83: 80-98. doi: 10.1016/j.advengsoft.2015.01.010 [19] SRIVASTAVA N, HINTON G E, KRIZHEVSKY A, et al. Dropout: A simple way to prevent neural networks from overfitting[J]. Journal of Machine Learning Research, 2014, 15: 1929-1958. [20] LIM H I. A study on dropout techniques to reduce overfitting in deep neural networks[C]//Advanced Multimedia and Ubiquitous Engineering. Berlin: Springer, 2021: 133-139. -


下载: