-
摘要:
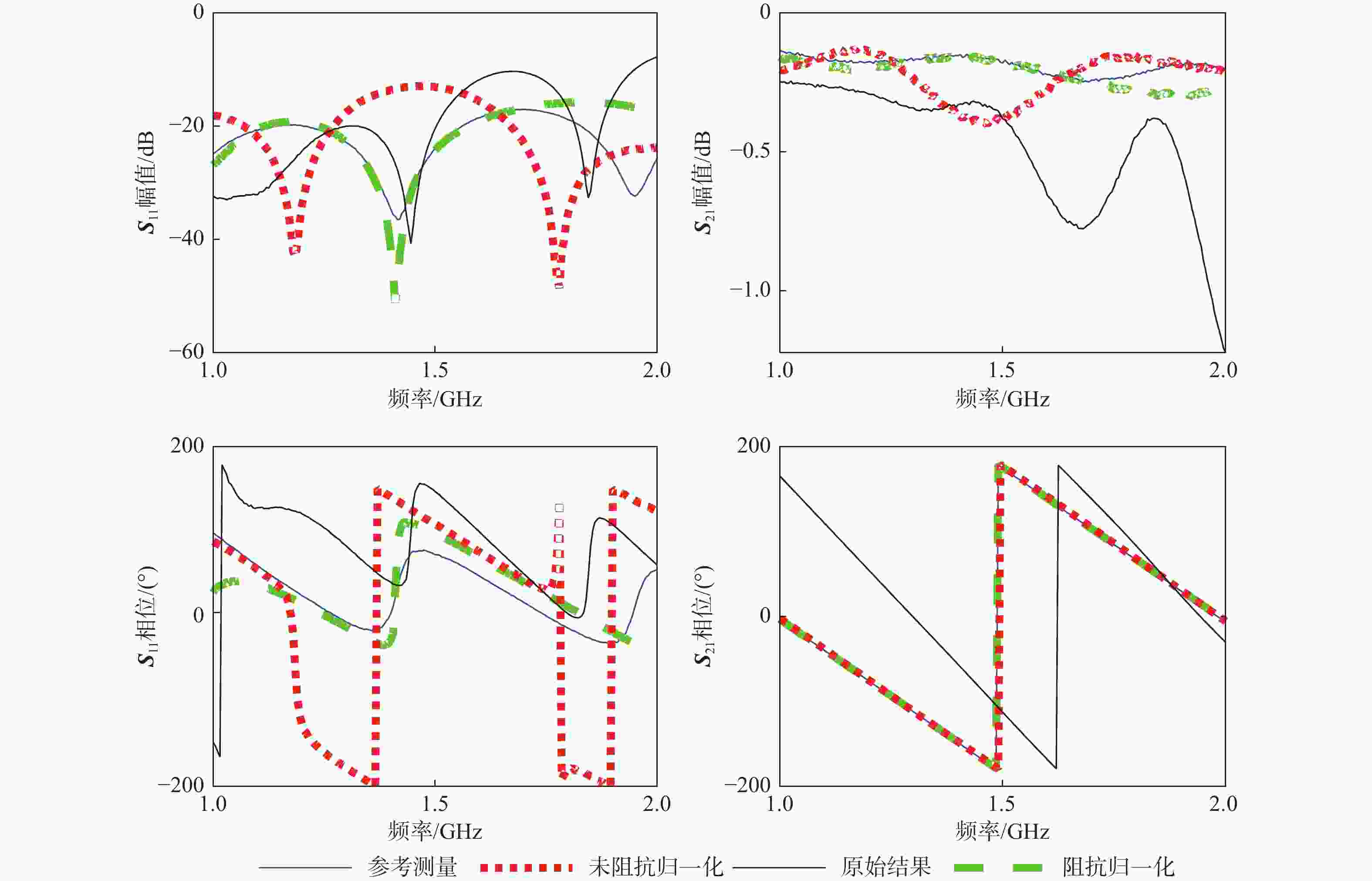
机载射频(RF)线缆是传输信号的主要介质,其回波损耗等性能参数影响飞机通导系统的工作,目前存在多种非标准接口线缆,需采用精密的转接引线,但其对阻抗、传输损耗等参数要求较高,且易发生性能衰减,导致测试结果产生较大误差。因此,针对应用精密转接引线进行测试时存在的问题,提出了基于TRL的非标准接口机载射频线缆测试方法。利用级联传输参数矩阵的方法对转接引线与待测线缆进行建模;利用改进的TRL校准方法对转接引线的参数进行去嵌入获取待测线缆的散射参数,进而评估机载射频线缆的性能。应用所提方法进行机载射频线缆测试实验,结果表明:除个别谐振点外,回波损耗最大误差约为1 dB,传输损耗最大误差约为0.2 dB,验证了所提方法的可行性和有效性。
Abstract:Aircraft radio frequency (RF) cables are the main medium for transmitting signals. There are currently various non-standard interface cables, and in order to use standard interface instruments for performance testing, precise adapter leads are required. However, the precise adapter leads have high requirements on parameters such as impedance and transmission loss, and precise adapter cables are prone to performance degradation, resulting in large errors in test results. Therefore, this paper proposes a non-standard interface aircraft RF cable test method based on TRL for the problems that exist when applying precision adapter leads. Firstly, the cascade transmission parameter method is used to model the test leads and the cable under test, and then the improved TRL calibration method is used to de-embed the test leads to obtain the scattering parameters of the tested cable, so as to evaluate the performance of the aircraft RF cable. The technique was used to test aircraft RF cables, and the findings show that, with the exception of a few resonance spots, the maximum error in return loss is approximately 1 dB and the maximum error in transmission loss is approximately 0.2 dB. This validates the method’s viability and efficacy.
-
Key words:
- de-embedding /
- TRL calibration /
- transmission line theory /
- S-parameters /
- cascade
-
-
[1] 邹维明, 刘蕾, 姜睿智, 等. 非标准接口射频电缆性能测试细节控制浅谈[J]. 计测技术, 2017, 37(S1): 269-271.ZOU W M, LIU L, JIANG R Z, et al. Talking about the detailed control of the performance test of the non-standard interface RF cable[J]. Measurement Technology, 2017, 37(S1): 269-271(in Chinese). [2] 高维胜. 浅谈宇航级电连接器射频性能测试技术[J]. 机电元件, 2018, 38(2): 38-43.GAO W S. Talking about the testing technology of RF performance of aerospace electrical connector[J]. Electromechanical Components, 2018, 38(2): 38-43(in Chinese). [3] 中华人民共和国国家质量监督检验检疫总局, 中国国家标准化管理委员会. 射频射频电缆组件第1部分: 总规范 一般要求和试验方法: GB/T 17738.1—2013[S]. 北京: 中国标准出版社, 2014: 5-9.General Administration of Quality Supervision, Inspection and Quarantine of the People’s Republic of China, Standardization Administration of the People’s Republic of China. Radio frequency and coaxial cable assemblies. Part 1: Generic specification-General requirements and test methods: GB/T 17738.1—2013[S]. Beijing: Standards Press of China, 2014: 5-9( in Chinese). [4] IEC. Radio frequency and coaxial cable assemblies. Part 1: Generic specification-General requirements and test methods: IEC 60966-1[S]. Geneva: IEC, 2019. [5] BIANCO B, PARODI M, RIDELLA S, et al. Launcher and microstrip characterization[J]. IEEE Transactions on Instrumentation and Measurement, 1976, IM-25(4): 320-323. doi: 10.1109/TIM.1976.6312235 [6] FRANZEN N R, SPECIALE R A . A new procedure for system calibration and error removal in automated S-parameter measurements[C]//Proceedings of the 5th European Microwave Conference. Piscataway: IEEE Press, 1975. [7] ENGEN G F, HOER C A. Thru-reflect-line: An improved technique for calibrating the dual six-port automatic network analyzer[J]. IEEE Transactions on Microwave Theory and Techniques, 1979, 27(12): 987-993. doi: 10.1109/TMTT.1979.1129778 [8] 李新伟, 易磊. 非标器件S参数去嵌入测试方法研究[J]. 计量与测试技术, 2014, 41(6): 30-32.LI X W, YI L. Research on the testing method of S device parameters of non-standard[J]. Metrology & Measurement Technique, 2014, 41(6): 30-32(in Chinese). [9] 彭安虎, 韩周安, 李志强. T/R阵列自动测试系统去嵌入技术研究[J]. 中国测试, 2021, 47(7): 92-98.PENG A H, HAN Z A, LI Z Q. Research on de-embedding technology of T/R array automatic test system[J]. China Measurement & Testing Technology, 2021, 47(7): 92-98(in Chinese). [10] 吴宇, 高源慈, 钟催林, 等. 微波射频差分探针去嵌入理论研究[J]. 电子测量技术, 2020, 43(4): 16-22.WU Y, GAO Y C, ZHONG C L, et al. Microwave RF differential probe de-embedding theory research[J]. Electronic Measurement Technology, 2020, 43(4): 16-22(in Chinese). [11] 孟文营, 穆卓, 王身云. 一种PIN二极管参数的提取方法与应用[J]. 电子元件与材料, 2019, 38(4): 32-36.MENG W Y, MU Z, WANG S Y. Parameter extraction of PIN diode and its applications[J]. Electronic Components and Materials, 2019, 38(4): 32-36(in Chinese). [12] 刘迪. 怎样设计和验证TRL校准件及具体过程[J]. 电子产品世界, 2008(3): 123-126. doi: 10.3969/j.issn.1005-5517.2008.03.024LIU D. How to design and verify TRL Cal Kit also implementation of TRL calibration[J]. Electronic Engineering & Product World, 2008(3): 123-126(in Chinese). doi: 10.3969/j.issn.1005-5517.2008.03.024 [13] 廖进昆, 刘仁厚. LRL校准法及其在微波测量中的应用[J]. 电子科技大学学报, 2000, 29(2): 149-152.LIAO J K, LIU R H. LRL calibration method and its application to microwave measurement[J]. Journal of University of Electronic Science and Technology of China, 2000, 29(2): 149-152(in Chinese). [14] ZUIGA-JUAREZ J E, REYNOSO-HERNANDEZ J A, MAYA-SANCHEZ M C. An improved multiline TRL method[C]//Proceedings of the 67th ARFTG Microwave Measurements Conference. Piscataway: IEEE Press, 2008: 139-142. [15] MARKS R B. A multiline method of network analyzer calibration[J]. IEEE Transactions on Microwave Theory and Techniques, 1991, 39(7): 1205-1215. doi: 10.1109/22.85388 [16] WANG M, ZHAO Y J, JIN Y M, et al. Sensitivity analysis of multiport S-parameter due to non-ideal TRL calibration standards[J]. Radio Science, 2017, 52(9): 1096-1105. doi: 10.1002/2017RS006380 [17] STEER M B, GOLDBERG S B, RINNE G, et al. Introducing the through-line deembedding procedure[C]//Proceedings of the International Microwave Symposium Digest. Piscataway: IEEE Press, 1992: 1455-1458. [18] 易波, 王为, 刘培国, 等. 基于改进TRL校准算法的二极管参数测量[J]. 中国舰船研究, 2015, 10(2): 121-124. doi: 10.3969/j.issn.1673-3185.2015.02.023YI B, WANG W, LIU P G, et al. Measurement of PIN diode parameters based on TRL calibration algorithm[J]. Chinese Journal of Ship Research, 2015, 10(2): 121-124(in Chinese). doi: 10.3969/j.issn.1673-3185.2015.02.023 [19] 梁子健. 基于非均匀传输线重构的滤波器设计与电缆测试技术研究[D]. 广州: 华南理工大学, 2017.LIANG Z J. Design of filters and cable test technology based on reconstruction of non-uniform transmission lines[D]. Guangzhou: South China University of Technology, 2017(in Chinese) . -


下载: