Solenoid directional control valve fault pattern recognition based on multi-feature fusion
-
摘要:
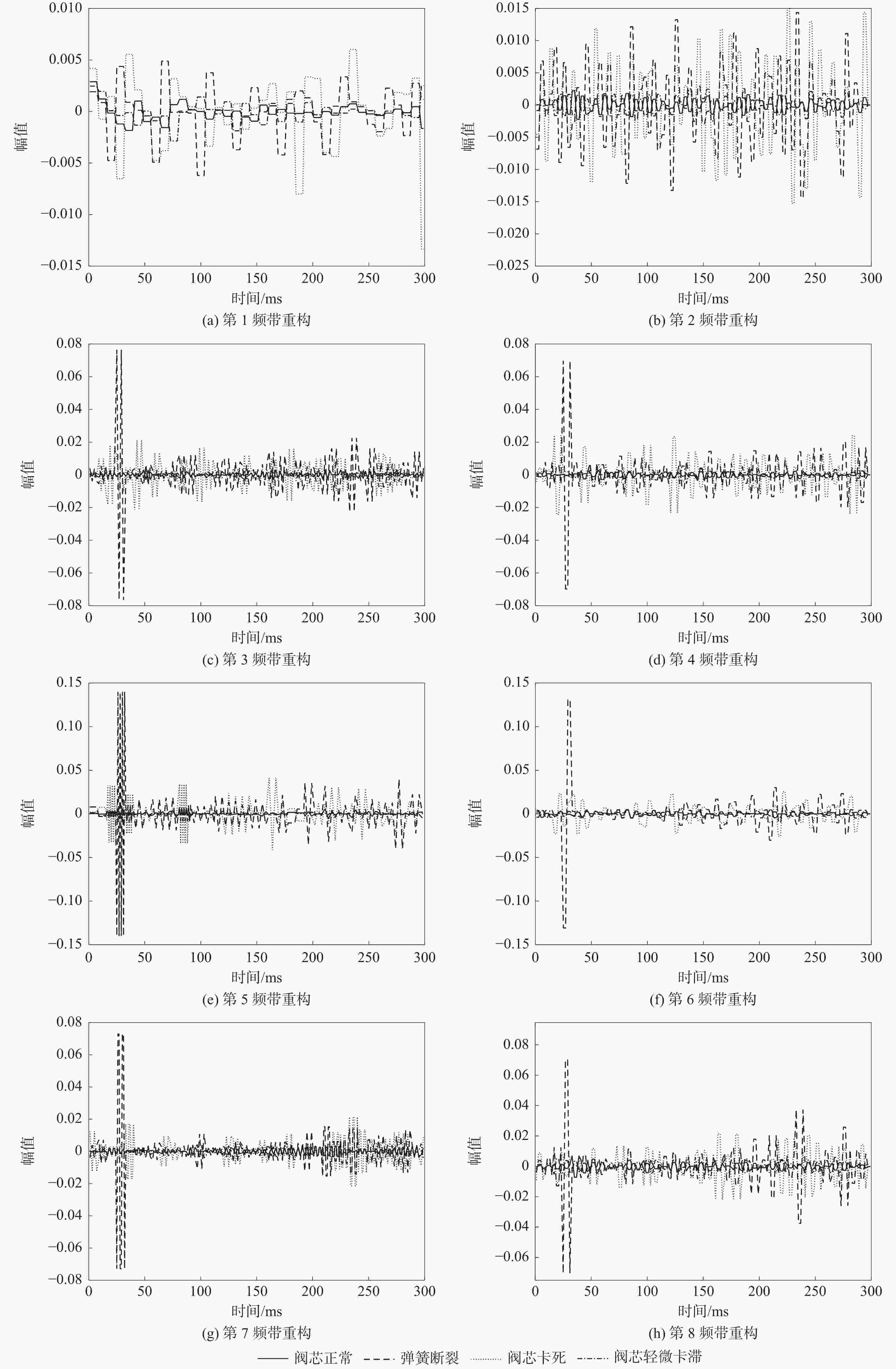
为提高基于驱动端电流检测的电磁换向阀故障诊断方法的可靠性和识别准确度,开展了电磁换向阀故障模式识别方法研究。提出一种基于多特征融合的方法对电流信号时频分析和时域参数的特征值提取融合;通过设计电磁换向阀驱动端电流信号的采集实验,获取电磁换向阀驱动端电流的时域信号和二阶变化率的多特征曲线,提取时域参数及二阶变化率相应频带能量作为特征值,构建多特征融合的特征向量;采用基于径向基核函数的多分类支持向量机对电磁换向阀进行模式识别。结果表明:基于多特征融合的支持向量机较基于能量特征值的支持向量机可提升8.7%的识别精度和42.11%的验证准确率。
Abstract:In order to further improve the reliability and recognition accuracy of the solenoid valve fault diagnosis method based on current detection at the drive end, a research was conducted on the solenoid valve fault pattern recognition method. First, a method for extracting eigenvalues based on time-frequency analysis of current signals and time-domain parameters was proposed; then, through designing an acquisition experiment of the current signal at the solenoid valve drive end, the time domain signal of the solenoid valve drive end current and the multi-characteristic curve of the second-order rate of change were obtained. Meanwhile, the time-domain parameters and the frequency band energy corresponding to the second-order rate of change were extracted as the characteristic value, in order to construct the feature vector of multi-feature fusion. Finally, a multi-class support vector machine based on the radial basis kernel function was used to identify the electromagnetic directional valve pattern. The research results showed that compared with the support vector machine based on energy eigenvalues, the support vector machine based on multi-feature fusion can improve the recognition accuracy by 8.7% and the verification accuracy by 42.11%.
-
表 1 不同SVM准确率对比
Table 1. Comporison of different SVM accuracy rates
SVM类型 训练准确率/% 测试准确率/% 五折交叉验证准确率/% C-SVC 100 91.30 50 υ-SVC 94.74 84.78 50 ε-SVR 100 86.96 υ-SVR 100 86.96 表 2 不同核函数SVM准确率对比
Table 2. Comporison of SVM accuracy rates of different kernel functions
核函数 训练准确率/% 测试准确率/% 五折交叉验证准确率/% Polynomial 97.74 89.13 50 RBF 100 91.30 50 Sigmoid 76.32 67.39 42.11 表 3 四种不同状况特征向量
Table 3. Four feature vectors under different situations
电磁换向阀状态 组号 E30 E31 E32 E33 E34 E35 E36 E37 阀芯正常 第1组 0.0871 0.1096 0.0829 0.1920 0.2944 0.6247 0.1529 0.6606 第2组 0.0769 0.1060 0.0997 0.2109 0.2433 0.6577 0.1945 0.6315 弹簧断裂 第1组 0.0121 0.0302 0.0969 0.0845 0.6050 0.5377 0.2156 0.5299 第2组 0.0013 0.0034 0.1421 0.1759 0.6216 0.7014 0.1777 0.1972 阀芯卡死 第1组 0.0219 0.0747 0.1492 0.1535 0.6368 0.4306 0.3047 0.5142 第2组 0.0226 0.0388 0.0892 0.0574 0.5849 0.4790 0.2479 0.5947 阀芯轻微卡滞 第1组 0.0326 0.1608 0.1768 0.1104 0.2458 0.4869 0.2196 0.7642 第2组 0.0400 0.0893 0.2242 0.1792 0.3224 0.7458 0.2200 0.4467 表 4 各主元贡献率
Table 4. Contribution rate of each principal
主元数 贡献率/% 1 60.0411 2 29.1488 3 9.0540 4 1.6772 5 0.0659 6 0.0071 7 0.0051 8 0.0005 9 0.0002 10 0.0001 11 1.21×10−5 表 5 前4主元系数
Table 5. First 4 pivot coefficients
时域信号 第1主元 第2主元 第3主元 第4主元 p1 −0.3333 0.2689 0.171 0.1703 p2 −0.2795 −0.330 −0.290 0.5124 p3 −0.2594 0.414 0.0356 0.1565 p4 0.2871 0.2245 0.5244 −0.3011 p5 −0.3333 0.2687 0.1719 0.1717 p6 0.2469 0.3678 −0.4031 −0.0773 p7 0.3537 0.0989 0.3041 0.520 p8 0.3529 0.2034 −0.0267 0.4869 p9 −0.350 0.1216 0.3778 0.0651 p10 0.3101 −0.3042 0.2449 0.2126 p11 0.1439 0.4806 −0.3499 0.0305 -
[1] 刘志浩, 高钦和, 牛海龙, 等. 基于驱动端电流检测的电磁阀故障诊断研究[J]. 兵工学报, 2014, 35(7): 1083-1090. doi: 10.3969/j.issn.1000-1093.2014.07.023LIU Z H, GAO Q H, NIU H L, et al. The fault diagnosis of electromagnetic valves based on driving current detection[J]. Acta Armamentarii, 2014, 35(7): 1083-1090(in Chinese). doi: 10.3969/j.issn.1000-1093.2014.07.023 [2] 蔡伟, 郑贤林, 张志利, 等. 液压电磁阀故障机理分析与瞬态特性仿真[J]. 仪器仪表学报, 2011, 32(12): 2726-2733. doi: 10.19650/j.cnki.cjsi.2011.12.014CAI W, ZHENG X L, ZHANG Z L, et al. Failure mechanism analysis and transient characteristic simulation of hydraulic electromagnetic valve[J]. Chinese Journal of Scientific Instrument, 2011, 32(12): 2726-2733(in Chinese). doi: 10.19650/j.cnki.cjsi.2011.12.014 [3] 孙昱, 何林. 基于电机电流信号的齿轮泵故障识别方法[J]. 机床与液压, 2021, 49(17): 191-195. doi: 10.3969/j.issn.1001-3881.2021.17.036SUN Y, HE L. Fault identification method of gear pump based on motor current signal[J]. Machine Tool & Hydraulics, 2021, 49(17): 191-195(in Chinese). doi: 10.3969/j.issn.1001-3881.2021.17.036 [4] 刘洋, 刘晓波, 梁珊. 基于傅里叶分解方法的航空发动机转子故障诊断[J]. 中国机械工程, 2019, 30(18): 2156-2163.LIU Y, LIU X B, LIANG S. Aeroengine rotor fault diagnosis based on Fourier decomposition method[J]. China Mechanical Engineering, 2019, 30(18): 2156-2163(in Chinese). [5] 尹欣, 王雯. 基于小波包“能量-故障”的高温合金焊接缺陷特征值提取[J]. 煤矿机械, 2008, 29(11): 188-189. doi: 10.3969/j.issn.1003-0794.2008.11.084YIN X, WANG W. Defect features extraction of heat metal alloys based on “energy-fault” of wavelet packet[J]. Coal Mine Machinery, 2008, 29(11): 188-189(in Chinese). doi: 10.3969/j.issn.1003-0794.2008.11.084 [6] 张雪英, 任永梅, 贾海蓉. 用后验信噪比修正小波包自适应阈值的语音增强算法[J]. 中南大学学报(自然科学版), 2013, 44(11): 4566-4573.ZHANG X Y, REN Y M, JIA H R. Speech enhancement algorithm based on wavelet packet adaptive threshold revised by posteriori SNR[J]. Journal of Central South University (Science and Technology), 2013, 44(11): 4566-4573(in Chinese). [7] BRO R, SMILDE A K. Principal component analysis[J]. Analytical Methods, 2014, 6(9): 2812-2831. doi: 10.1039/C3AY41907J [8] SAINANI K L. Introduction to principal components analysis[J]. PM & R, 2014, 6(3): 275-278. [9] LI L M, ZHAO J, WANG C R, et al. Comprehensive evaluation of robotic global performance based on modified principal component analysis[J]. International Journal of Advanced Robotic Systems, 2020, 17(4): 172988141989688. [10] WANG L H, WU X Q, ZHANG C Y, et al. Hydraulic system fault diagnosis method based on a multi-feature fusion support vector machine[J]. The Journal of Engineering, 2019, 2019(13): 215-218. doi: 10.1049/joe.2018.9028 [11] 徐玉秀, 杨文平, 吕轩, 等. 基于支持向量机的汽车发动机故障诊断研究[J]. 振动与冲击, 2013, 32(8): 143-146. doi: 10.3969/j.issn.1000-3835.2013.08.024XU Y X, YANG W P, LYU X, et al. Fault diagnosis for a car engine based on support vector machine[J]. Journal of Vibration and Shock, 2013, 32(8): 143-146(in Chinese). doi: 10.3969/j.issn.1000-3835.2013.08.024 [12] 张学工. 关于统计学习理论与支持向量机[J]. 自动化学报, 2000, 26(1): 32-42. doi: 10.16383/j.aas.2000.01.005ZHANG X G. Introduction to statistical learning theory and support vector machines[J]. Acta Automatica Sinica, 2000, 26(1): 32-42(in Chinese). doi: 10.16383/j.aas.2000.01.005 [13] VAPNIK V N. An overview of statistical learning theory[J]. IEEE Transactions on Neural Networks, 1999, 10(5): 988-999. doi: 10.1109/72.788640 [14] WESTON J, WATKINS C. Support vector machines for multi-class pattern recognition[C]// Proceedings of 7th European Symposium on Artificial Neural Networks, 1999: 219-224. [15] 奉国和. SVM分类核函数及参数选择比较[J]. 计算机工程与应用, 2011, 47(3): 123-124. doi: 10.3778/j.issn.1002-8331.2011.03.037FENG G H. Parameter optimizing for support vector machines classification[J]. Computer Engineering and Applications, 2011, 47(3): 123-124(in Chinese). doi: 10.3778/j.issn.1002-8331.2011.03.037 [16] 赵薇, 靳聪, 涂中文, 等. 基于多特征融合的SVM声学场景分类算法研究[J]. 北京理工大学学报, 2020, 40(1): 69-75. doi: 10.15918/j.tbit1001-0645.2018.171ZHAO W, JIN C, TU Z W, et al. Support vector machine for acoustic scene classification algorithm research based on multi-features fusion[J]. Transactions of Beijing Institute of Technology, 2020, 40(1): 69-75(in Chinese). doi: 10.15918/j.tbit1001-0645.2018.171 -


下载: