留言板

尊敬的读者、作者、审稿人, 关于本刊的投稿、审稿、编辑和出版的任何问题, 您可以本页添加留言。我们将尽快给您答复。谢谢您的支持!

姓名
邮箱
手机号码
标题
留言内容
验证码

2022年  第48卷  第1期

显示方式:
2022年, 第48卷, 第1期
icon下载 (182462) 1060 icon预览
论文
新型双轴式圆弧型大尺寸渐开线样板的工作原理
陈洪芳, 梁超伟, 李宝山, 谢华琨, 石照耀
2022, 48(1): 1-7. doi: 10.13700/j.bh.1001-5965.2020.0515
摘要:

大尺寸渐开线样板加工困难,测量更加困难,导致大齿轮的量值传递成为难题。采用圆弧代替渐开线齿廓,构造了新型大尺寸渐开线样板——双轴式圆弧型大尺寸渐开线样板。提出了新型大尺寸渐开线样板的工作原理,研究了样板的设计方法,建立了样板的原理误差模型,提出了双轴式圆弧型大尺寸渐开线样板可评定的齿轮测量仪器单项误差项,以及使用样板评定齿轮测量仪器的齿面偏差测量性能的方法。为验证所提工作原理的可行性,加工了原理验证样板,实验结果表明:加工的双轴式圆弧型大尺寸渐开线样板,其测量得到的原理误差曲线与理论的原理误差曲线整体趋势一致,都为驼峰状,证明了双轴式圆弧型大尺寸渐开线样板的原理误差模型建立的准确性和可行性;在评定范围内,整个评定偏差曲线幅值为45.5 μm,对应产生的压力角误差为1.34 μm/rad;证明了双轴式圆弧型大尺寸渐开线样板的圆弧选取准则、中心距的设计模型和圆弧半径的设计模型的正确性。研究成果为大齿轮的量值传递提供了研究思路。

基于SVM的低空飞行冲突探测改进模型
王尔申, 宋远上, 佟刚, 王传云, 曲萍萍, 徐嵩
2022, 48(1): 8-14. doi: 10.13700/j.bh.1001-5965.2020.0533
摘要:

为保障通航飞行器在低空空域的飞行安全,提出了一种基于支持向量机(SVM)的飞行冲突探测改进模型。首先,建立适应于飞行器的保护区。然后,利用改进型ID3决策树算法将搜索空间降低到局部的方法筛选具有潜在飞行冲突的飞行器,并利用随机森林(RF)选择合适训练集。最后,利用tanh函数优化容易饱和的sigmoid函数对SVM分类结果的概率映射。通过仿真验证和对比分析,结果表明:利用基于密度聚类的DBSACN算法去除异常点,将剔除产生误报和虚报的数据作为训练集优化SVM分类器,改进的飞行冲突探测模型的误报率和虚报率分别降低了0.6%和1.9%,算法执行效率得到提高,而且具有较好的抗干扰能力与稳定性。

基于区间估计与透射率自适应约束的去雾算法
杨燕, 张金龙, 张浩文
2022, 48(1): 15-26. doi: 10.13700/j.bh.1001-5965.2020.0547
摘要:

针对去雾算法透射率估计不足与结果偏色等问题,提出了一种基于最小通道区间估计与透射率自适应约束模型的图像去雾算法。首先,采用不同尺寸最大值操作得到有雾图像的亮通道,并结合均值处理和频域滤波得到大气光估计;其次,从大气成像理论出发,以有雾图像最小通道为约束,分别以平面模型和自适应映射模型拟合无雾图像最小通道上下边界,并获得无雾图像最小通道和透射率初始估计;最后,对透射率作滤波平滑与自适应边界约束,得到优化透射率,并根据大气散射模型得到复原结果。实验表明:所提算法复原结果颜色自然、亮度适宜、去雾彻底、细节信息丰富且时间复杂度较低,有效解决了透射率估计不足和偏色等问题。

涂层加速老化与自然曝晒试验的相关性分析
汪鹏飞, 贺小帆, 张涵, 李玉海
2022, 48(1): 27-35. doi: 10.13700/j.bh.1001-5965.2020.0525
摘要:

为了研究加速老化试验与自然曝晒试验的相关性,进行了飞机典型7B04 T74铝合金-30CrMnSiA钢-7B04 T74铝合金双排8个钢螺钉连接件在防护涂层加速谱下6个周期的加速老化试验和海南万宁2年的自然曝晒试验。观测并记录了不同加速周期和曝晒年限的防护涂层失光、变色、粉化、起泡、开裂、剥落和基体腐蚀现象,对加速老化和自然曝晒的防护涂层表观老化特征、基体腐蚀产物进行了对比分析,表明加速老化试验可以再现外场老化特征。考虑到防护涂层老化特征的多属性和动态性,对2种环境下的老化损伤进行了综合量化评估,用指数函数描述老化特征量随时间的变化规律。通过老化动力学规律的对比,给出了当量加速关系的表示形式,并得到了加速谱和海南万宁自然曝晒试验的当量加速关系为0.4年/周期。

复杂背景下机场道面细带状结构病害检测算法
李海丰, 韩红阳
2022, 48(1): 36-44. doi: 10.13700/j.bh.1001-5965.2020.0512
摘要:

机场道面裂缝、角隅断裂、接缝破碎、修补等病害宽度狭小、长短不一、图像中像素占比少,呈细带状结构,且与复杂背景对比度低,现有检测算法效果不佳。针对以上问题,提出了一种基于注意力机制与特征融合的深度神经网络模型DetMSPNet。首先,利用注意力机制模块CBAM,使得特征学习更加专注于细带状结构病害区域,抑制干扰信息;其次,构建残差空洞金字塔模块,提取不同尺度空间下的特征信息;然后,设计最大池化支路,便于之后浅、深层不同层次特征进行融合,加强模型对于病害的定位能力,并且将深层特征输入3种不同扩张率的扩张卷积和金字塔池化模块,使得病害特征包含更多全局上下文信息;最后,对所有层输出的病害特征信息进行融合,实现不同尺度、不同层次特征的信息互补。与目前3种经典的目标检测算法在机场道面病害图像数据集APD上做了对比实验,结果表明:所提算法的mAP达到78.51%,优于对比算法。所提DetMSPNet模型,提高了算法对机场道面细带状结构病害检测中宽度狭小、长短不一、图像中像素占比少、与复杂背景对比度低等情况的适应能力。

基于条件生成对抗网络的HDR图像生成方法
贝悦, 王琦, 程志鹏, 潘兴浩, 杨默涵, 丁丹丹
2022, 48(1): 45-52. doi: 10.13700/j.bh.1001-5965.2020.0518
摘要:

高动态范围(HDR)图像相比低动态范围(LDR)图像有更宽的色域和更高的亮度范围,更符合人眼视觉效果,但由于目前的图像采集设备大都是LDR设备,导致HDR图像资源匮乏,解决该问题的一种有效途径是通过逆色调映射将LDR图像映射为HDR图像。提出了一种基于条件生成对抗网络(CGAN)的逆色调映射算法,以重建HDR图像。为此,设计了基于多分支的生成对抗网络与基于鉴别块的鉴别网络,并利用CGAN的数据生成能力和特征提取能力,将单张LDR图像从BT.709色域映射到对应的BT.2020色域。实验结果表明:与现有方法相比,所提出的网络能够获得更高的客观与主观质量,特别是针对低色域中的模糊区域,所提方法能够重建出更清晰的纹理与细节。

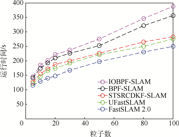
基于智能优化箱粒子滤波的移动机器人FastSLAM
罗景文, 秦世引
2022, 48(1): 53-66. doi: 10.13700/j.bh.1001-5965.2020.0549
摘要:

针对传统FastSLAM算法需要大量粒子构建地图导致计算复杂度高、难以提高估计精度等问题,研究构建了一种基于智能优化箱粒子滤波(IOBPF)的移动机器人FastSLAM算法。首先,将萤火虫算法(FA)的动态寻优机制引入箱粒子滤波(BPF),建立了箱粒子的荧光亮度更新公式、吸引度计算公式和位置更新公式,使箱粒子集智能化地向高似然区域移动,避免了箱粒子的退化现象。然后,以改进的智能优化箱粒子滤波进行机器人位姿估计,并采用扩展区间卡尔曼滤波(EIKF)完成地图的构建和更新。移动机器人的模型仿真和实体实验结果表明:所提智能化FastSLAM算法可有效提升箱粒子的性能,并降低地图构建所需粒子数,从而显著提高FastSLAM的定位精度和地图构建的鲁棒性。

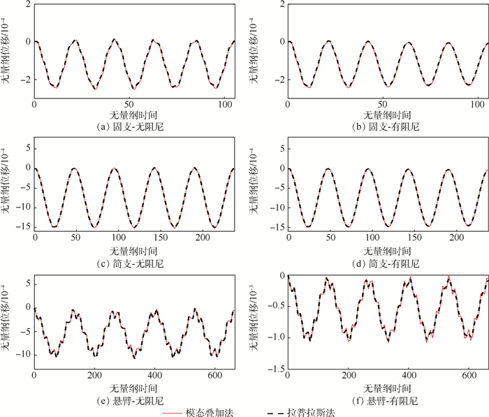
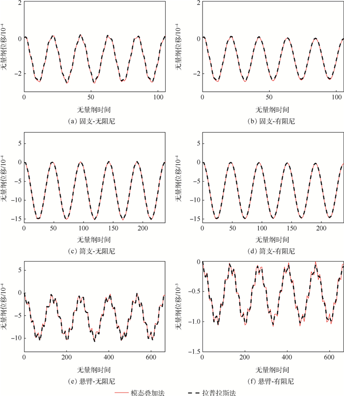
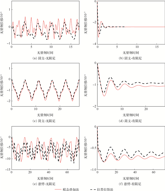
Durbin法在阻尼梁动响应求解中的运用分析
张夏阳, 张凯, 招启军, 王博
2022, 48(1): 67-78. doi: 10.13700/j.bh.1001-5965.2020.0550
摘要:

运用铁木辛柯梁理论和K-V阻尼理论,研究了非比例阻尼梁在冲击载荷作用下的频域振动求解方法。推导采用了传统拉普拉斯正变换和基于Durbin公式的拉普拉斯反变换策略(统称拉普拉斯法),发展了阻尼梁系统的动力学方程解法。拉普拉斯法的推演同时涵盖了3种典型的梁边界条件,具有广泛的适用性。数值法的验证采用了特殊构造的比例阻尼点条件,并与基于模态叠加法的求解结果进行了对比分析,且数值算例充分考虑了数值参数和系统参数的影响。计算结果表明:在不同边界条件和受载状态下,拉普拉斯法与模态叠加法均能合理地计算出基本阻尼梁系统的动响应曲线,且两者的求解精度保持在同一量级;同时,捕捉到拉普拉斯法的求解精度会受到系统长细比等参数的影响。拉普拉斯法具有比传统实、复模态叠加法更易操作的特性,但其精度受到了算法固有参数和阶跃外载型式的影响,稳定性仍需进一步提高。

飞行员头盔夜视镜系统气流吹袭性能研究
赵彦鹏, 吴明磊, 刘何庆, 洪涛, 李军, 张友刚
2022, 48(1): 79-86. doi: 10.13700/j.bh.1001-5965.2020.0355
摘要:

开展飞行员头盔夜视镜系统的高速气流吹袭试验,研究其气动特性和作用在人体颈椎上的力,评价其对弹射救生安全性的影响,为头盔夜视镜系统的设计和使用提供依据。采用高速气流吹袭台(敞开式风洞)吹袭的试验方法,将弹射座椅固定在吹袭台喷口前的台架上,试验假人(HYBRID Ⅱ型假人)端正地放置在弹射座椅上,试验假人穿抗荷服,佩戴头盔、夜视镜、供氧面罩。以850 km/h的吹袭速度作为试验的起点,按照试验设计确定的原则依次调整吹袭速度。夜视镜分下位(工作)和上位(非工作)2个状态进行试验,用高速摄像机记录头盔夜视镜在吹袭时的佩戴状态,测量试验假人颈椎下端的力和力矩。高速摄像机、力和力矩测量系统用高速气流吹袭台设定的时间基准同步测量。共进行了10发试验,其中5发试验夜视镜从头盔上吹脱,5发未吹脱;获得了各次试验中假人颈椎的受力曲线及夜视镜吹脱的时刻和轨迹。按照试验合格判据,吹袭速度均未超过850 km/h。头盔加装夜视镜后,相比头盔不加装夜视镜,气流吹袭性能下降,吹袭速度800 km/h以上颈椎力矩超标,700 km/h为临界点,600 km/h合格。建议将头盔夜视镜系统的气流吹袭性能包线限制在600 km/h以内。

航天飞行器铸件舱段结构快速设计方法
郑成成, 王捷冰, 吴曼乔, 许大帅, 杨晨, 陈爽
2022, 48(1): 87-94. doi: 10.13700/j.bh.1001-5965.2020.0534
摘要:

为提高航天飞行器铸件舱段在方案论证阶段的结构设计效率、设计质量和迭代效率,基于航天飞行器复杂曲面结构特点对铸件舱段结构特征参数进行研究,提出曲线比率法以描述纵筋参数化布局;定义骨架模型发布元素,以实现铸件舱段的Top-Down设计。提出航天飞行器铸件舱段结构快速参数化设计方法,通过定义特征命名规则和创建特征集合实现建模规范化,通过封装舱段设计知识实现设计快速化,通过创建特征参数和公式实现特征参数化。通过建立交互式铸件舱段结构快速设计环境,实现铸件舱段结构的快速实例化、快速修改,并以航天飞行器铸件舱段为例验证了所提方法的可行性和有效性。

旋翼翼型高维多目标气动优化设计
宋超, 周铸, 李伟斌, 罗骁
2022, 48(1): 95-105. doi: 10.13700/j.bh.1001-5965.2020.0543
摘要:

先进旋翼翼型设计是典型的多设计点、多目标优化问题,常规优化方法已无法满足翼型高维多目标优化设计的要求。基于分解的多目标优化算法(MOEA/D),建立了考虑高低速升阻特性、力矩特性、阻力发散特性等的旋翼翼型高维多目标优化设计方法,并采用高精度kriging模型以提高优化设计效率。针对旋翼内段、中段翼型进行了5个设计目标的全局优化设计,采用自组织图映射(SOM)方法对最优Pareto解集进行了聚类分析。典型翼型CFD结果分析表明,中段翼型低速力矩系数幅值减小约50.7%,高速最大升力系数提高约6.5%,最大升阻比提高约7.7%,同时阻力发散特性得到改善,内段翼型同样取得了良好的多目标优化效果。研究表明,MOEA/D算法对高维多目标气动优化设计问题具有很好的适应性,能有效提升旋翼高低速气动性能设计的能力。

基于Bootstrap理论的小子样寿命评估模型
赵远, 杨琳
2022, 48(1): 106-112. doi: 10.13700/j.bh.1001-5965.2020.0536
摘要:

针对航天产品小子样、长寿命的特点,提出了基于Bootstrap理论的小子样寿命评估模型。采用B-样条函数构造Bootstrap样本经验分布函数,进行放回抽样。在此基础上,分别采用非参数Bootstrap方法和参数Bootstrap方法建立了寿命评估模型。采用提出的模型对空心阴极循环点火寿命试验数据进行评估,得到多个寿命特征结果,与传统的参数极大似然估计方法的计算结果进行了对比分析,其评估精度满足工程的应用需求,验证了该模型的工程实用性和有效性。

网联混合动力汽车能量优化控制
陈飞, 谢和辉, 杨世春, 冯松, 刘健, 高新华
2022, 48(1): 113-120. doi: 10.13700/j.bh.1001-5965.2020.0517
摘要:

能量管理策略是混合动力汽车的核心技术之一,决定了车辆的燃油经济性和排放性能。针对现有混合动力汽车的能量管理都是基于固定工况开发而没有考虑实际道路工况的问题,基于智能交通系统(ITS)和专用短程通信技术(DSRC)获取的道路交通信息和周边车辆信息,提出了一种网联混合动力汽车分层能量控制方法。其中,上层控制器利用道路交通信息和模型预测控制算法预测车辆的最优目标速度并计算出需求转矩;下层控制器利用上层控制器获得的目标车速信息,实现最优车速跟随,并使用模糊神经网络控制算法优化发动机和电动机之间的转矩分配以降低燃油消耗。仿真结果表明:与传统的能量管理策略相比,所提方法可以有效避免车辆在红灯时停车,车辆的燃油消耗率降低了34.88%,HC、CO和NOx的排放分别降低10.59%、66.19%和1.05%,提升了混合动力汽车的燃油经济性和排放性能。

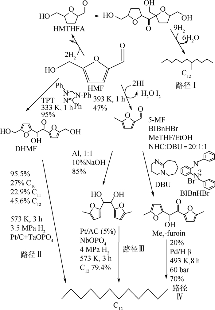
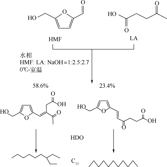
纤维素航油缩合-加氢工艺能耗分析
黄星华, 董升飞, 杨晓奕
2022, 48(1): 121-131. doi: 10.13700/j.bh.1001-5965.2020.0506
摘要:

随着纤维素原料制备糠醛、5-羟甲基糠醛、乙酰丙酸平台化合物技术的日益成熟,平台化合物再利用技术成为国际热点。通过研究平台化合物自缩合与交叉缩合工艺特点,以及后续加氢制备合成航油烷烃的可行路径,设计了利用2条纤维素生物质平台化合物全组分制备航油的工艺,通过能耗分析与评价,确定了每条工艺路线中的主要能耗单元及主要输入的耗能物质。结果表明:糠醛-乙酰丙酸交叉缩合加氢工艺相比糠醛自缩合加氢工艺、5-羟甲基糠醛自缩合加氢工艺在热耗、氢耗等方面有明显优势。为实现秸秆的全组分利用,提出糠醛-乙酰丙酸交叉缩合加氢联合5-羟甲基糠醛自缩合加氢工艺,根据目前的工艺技术,航油收率可达19.6%。

大型客机机翼挂架接合位置定常吹气控制分析
刘睿, 白俊强, 邱亚松, 李宇飞
2022, 48(1): 132-146. doi: 10.13700/j.bh.1001-5965.2020.0521
摘要:

对于采用下单翼布局翼吊发动机形式的大型客机而言,为了保证发动机与地面的安全距离,挂架高度较短,造成前缘缝翼被打断,大迎角下发动机短舱尾迹对其后方机翼上翼面的流动产生不利影响。采用数值模拟方法系统研究了在发动机挂架后方机翼上表面采用主动流动控制技术来提高着陆构型的气动性能。采用机翼+短舱构型研究了吹气参数对吹气效果的影响。结果表明:大迎角下,吹气可以抑制短舱后方机翼上表面的分离流动,使最大升力系数明显提高;吹气缝宽度、吹气质量流率由于会影响吹气总压的变化,对吹气效果的影响显著,对升力系数的影响量在0.05以上;吹气缝与上翼面夹角会影响能量注入的区域,对吹气效果有较大影响;吹气缝位置会影响吹气控制的范围,对吹气效果也有一定影响。分别对无短舱涡流片和有短舱涡流片的全机构型进行了校核研究。采用吹气措施之后,无短舱涡流片构型线性段升力系数增大约0.15,最大升力系数增大0.186,失速迎角增大1°;有短舱涡流片构型线性段升力系数增大约0.13,最大升力系数增大0.16。

基于注意力机制与特征相关性的人脸表情识别
兰凌强, 刘淇缘, 卢树华
2022, 48(1): 147-155. doi: 10.13700/j.bh.1001-5965.2020.0507
摘要:

针对自然条件下人脸表情识别面临遮挡、光照、姿势变化等挑战,存在识别准确率低的问题, 提出了一种新的深度学习网络模型用于人脸表情识别。以ResNet为基础网络,融合了瓶颈注意力机制及全局二阶池化层,其中瓶颈注意力机制专注于表情重要特征的提取,全局二阶池化层度量表情特征之间的相关性,在此基础上通过联合正则化策略,平衡和改善特征数据分布情况,提高表情识别准确率。所提方法在2个公开数据集FER2013和CK+ 进行了测试及验证,最高准确率分别达到了74.227%和95.8%,性能优于诸多现存的主流方法,表明所提模型具有较好的准确性和鲁棒性。

立体物料仓库单元的机械系统FMEA分析
卞仁鹏, 贾志新, 毕温海, 李威
2022, 48(1): 156-165. doi: 10.13700/j.bh.1001-5965.2020.0527
摘要:

立体物料仓库单元是钣金自动化智能生产线中重要的板料储存中心,其可靠性问题直接关系到钣金自动化智能生产线的可靠性,因此,对钣金自动化智能生产线的立体物料仓库单元机械系统进行故障模式及影响分析(FMEA)十分重要。针对传统FMEA中缺少功能和故障因果关系分析的问题,提出使用维护感知设计环境(MADe)软件对立体物料仓库单元的机械系统进行功能分析和故障数据分析,并建立立体物料仓库单元的功能模型图和机械系统的故障因果关系图。在此基础上,根据立体物料仓库单元功能模型图构建机械系统的模糊认知图(FCM)邻接矩阵,再通过计算得出立体物料仓库单元机械系统的FMEA表。对立体物料仓库单元机械系统进行基于MADe软件的FMEA分析显示,所提方法对提高钣金自动化智能生产线可靠性具有通用性。

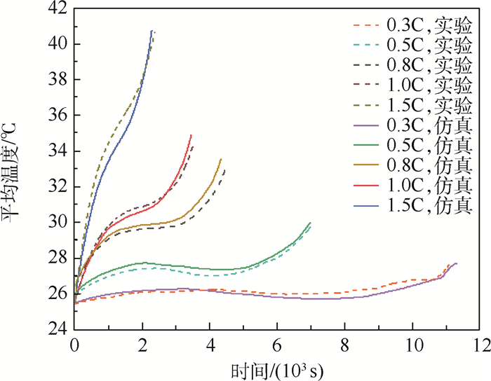
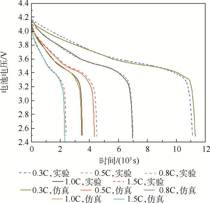
基于蛇形通道的电池组液冷方案设计与优化
王明悦, 林家源, 刘新华, 张金刚, 闫啸宇, 杨世春
2022, 48(1): 166-173. doi: 10.13700/j.bh.1001-5965.2020.0514
摘要:

相较于传统汽车,电动汽车在大力发展新能源的背景下具有良好的应用前景。电池作为电动汽车的动力源之一,其输出性能极易受到温度的影响,电池热管理系统对控制电池工作温度、延长电池组寿命、保障电动汽车安全稳定行驶等都具有重要意义。针对动力电池在工作过程中因自身温度过高而产生不利影响的现象,先分析了电池的生热特性。然后,提出了一套基于蛇形通道的液体冷却热管理方案并进行优化。最后,温度场仿真结果表明:优化后的液冷结构对电池组的工作环境有显著影响,高温工况下能够使电池工作在最佳温度范围20 35℃之内,同时满足电池组内温差小于10℃的要求。

连接方式对电池模块一致性与产热影响
丁昌明, 文华
2022, 48(1): 174-181. doi: 10.13700/j.bh.1001-5965.2020.0513
摘要:

为了研究锂离子电池成组使用时遇到的不一致性和温度不均的问题,基于电化学-热耦合模型,以8块软包电池为例,通过多种串并联方式建立不同的电路模块,分析在1C和0.5C放电过程中电池的温度特征和不一致性。结果表明:电池模块的均温性和一致性与放电倍率有关。不管是先串后并还是先并后串,并联支路的增加或者是串联单元数量的减少都会使电池模块的平均温升和最大温差降低,还会影响温升速率和放电结束时的电压。并联支路数相同时,先串后并模块的一致性要比先并后串好。对于先并后串的模块,其并联支路中串联电池的数量越多,放电过程中电池之间的一致性越差。对于先串后并的模块,其并联的支路数越多,电池的一致性越差。

考虑倍率的平流层飞艇储能电池建模与分析
刘松松, 孙康文
2022, 48(1): 182-192. doi: 10.13700/j.bh.1001-5965.2020.0519
摘要:

准确掌握储能电池的实际电量是确保平流层飞艇实现长航时飞行的关键因素之一。首先,建立了平流层飞艇能源系统仿真模型,对能量输入和消耗进行动态分析。随后,对储能电池进行不同电流倍率的充放电测试,采用多项式拟合的方法,根据测试数据建立了储能电池充放电过程中荷电状态(SOC)、剩余放电时间(RDT)、剩余充电时间(RCT)的分析模型。最后,结合能源系统能量输入、消耗模型和储能电池模型进行飞行模拟仿真,获取各部分变化数据,与已有试验数据进行量化对比分析。结果表明:所构建储能电池模型在SOC、RDT、RCT的计算误差分别小于3%、1.5%、1.5%,能够准确反映电池工作过程中SOC、RDT、RCT的变化,可为平流层飞艇平台制定优化的飞行策略提供量化支撑。

常见问答