留言板

尊敬的读者、作者、审稿人, 关于本刊的投稿、审稿、编辑和出版的任何问题, 您可以本页添加留言。我们将尽快给您答复。谢谢您的支持!

姓名
邮箱
手机号码
标题
留言内容
验证码

2021年  第47卷  第2期

显示方式:
2021年, 第47卷, 第2期
icon下载 (22763) 1181 icon预览
论文
无人机自主降落地基/舰基引导方法综述
沈林成, 孔维玮, 牛轶峰
2021, 47(2): 187-196. doi: 10.13700/j.bh.1001-5965.2020.0280
摘要:

近年来,随着自主控制技术与任务载荷的快速发展,越来越多的无人机(UAV)具备了良好的任务自主能力。在执行任务过程中,降落阶段的安全风险最大,导航定位精度较差、人员决策失误等是造成降落过程中事故多发的主要原因。通过总结无人机自主降落过程中对引导控制的需求,对国内外无人机军用和民用自主降落解决方案进行了梳理和介绍,对无人机自主降落关键技术和研究现状进行了分析,提出了该领域未来发展的重点方向。

一种基于模糊控制的平稳滑翔再入制导律
周锐, 张宇航, 熊伟, 史智广
2021, 47(2): 197-206. doi: 10.13700/j.bh.1001-5965.2020.0264
摘要:

针对升力式高超声速飞行器(LHV)再入滑翔过程中的周期性振荡现象,提出了一种基于模糊推理与控制的反馈调节方法以抑制振荡实现平稳滑翔。纵向制导在落点误差预测及指令校正的基础上,在倾侧角外环控制回路增加以高度变化率及空速作为输入的模糊控制器对倾侧角指令进行调节,横侧向制导通过航向角误差走廊约束及倾侧角反转逻辑实现大横程条件下的侧向控制。所提方法不依赖于准平衡滑翔条件(QEGC),同时避免了参数化反馈控制律中的反馈项参数设计问题,具有较强的自适应能力。LHV制导实例仿真表明,所提方法可有效抑制振荡现象,满足终端约束及再入走廊约束,方法的鲁棒性也通过Monte Carlo仿真得到了验证。

基于机器视觉的轻型梁三维振动测量方法
彭聪, 缪卫东, 曾聪
2021, 47(2): 207-212. doi: 10.13700/j.bh.1001-5965.2020.0211
摘要:

振动测量是状态检测和故障诊断的方法之一,针对传统接触式测量方法中存在负载效应等问题,对基于机器视觉的三维振动测量方法进行了研究。首先,基于视频相位的二维振动测量方法,提取出相机所采集图像中被测目标的二维振动数据。然后,在二维振动测量方法的基础上,结合双目立体视觉,设计了一种基于机器视觉的三维振动测量方法。最后,进行了悬臂梁的振动测量实验。结果表明:所提方法可以实现无接触和无标记的振动测量,并能准确测量出三维的振动信息。

小型旋翼无人机潜射控制器设计
吴江, 陈恩民, 高翼捷, 刘一芃, 高鑫, 夏洁
2021, 47(2): 213-222. doi: 10.13700/j.bh.1001-5965.2020.0281
摘要:

小型旋翼无人机在潜射过程中的弹射和姿态控制直接影响着潜射工程任务的成败。针对小型旋翼无人机在潜射过程中姿态难以快速调整、发射初始姿态易受海浪干扰等问题,提出一种无人机潜射系统的控制方案。采用带有矢量控制的助推火箭来调整无人机在发射段的姿态,并通过海浪预测模型优化无人机发射时间窗口;针对小型旋翼无人机在弹出后旋翼展开时的姿态不稳定问题,采用基于L1自适应控制方法的姿态控制律进行无人机的增稳设计。仿真结果表明:助推火箭的矢量控制发动机能够在2s内快速调整无人机的俯仰姿态,设计的L1自适应姿态控制律能够在无人机旋翼展开的2s内实现俯仰姿态的稳定控制,并且对潜射场景中气动参数的不确定变化具有一定的鲁棒性。

基于CGAPIO的航天器编队重构路径规划方法
华冰, 孙胜刚, 吴云华, 陈志明
2021, 47(2): 223-230. doi: 10.13700/j.bh.1001-5965.2020.0277
摘要:

针对航天器编队重构的路径规划问题,考虑燃料消耗和碰撞概率等约束条件,以及基本鸽群算法存在的问题,提出一种基于混沌初始化和高斯扰动的自适应鸽群(CGAPIO)算法。为了得到多样性和覆盖性更好的鸽群初始值,采用Tent Map混沌模型进行鸽群初始化操作;在地图和指南针算子阶段,为提高全局搜索能力,引入了自适应的权重因子和学习因子更新个体的位置和速度;在地标算子阶段,为避免算法陷入局部最优,将高斯扰动加入到鸽群中心位置。仿真实验结果表明:CGAPIO算法与基本鸽群算法和粒子群算法相比,提高了全局搜索能力,避免了局部最优,规划得到的路径更加平滑,各航天器碰撞概率较低,编队重构消耗的总燃料至少减少了12%。

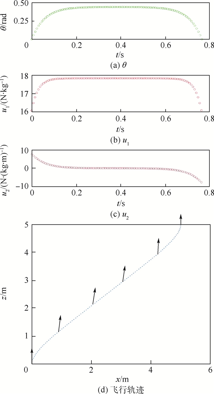
时空约束条件下多旋翼机动轨迹优化方法
蔡志浩, 左一鸣, 王英勋
2021, 47(2): 231-239. doi: 10.13700/j.bh.1001-5965.2020.0272
摘要:

多旋翼飞行器常应用于震后搜救、地质勘探等复杂多变的场景中,考虑到其续航能力及环境特点,优化多旋翼的飞行轨迹以更好更快地完成任务已成为关键问题之一。为此,设定多旋翼穿越室内斜缝的任务场景,提出了一种基于抛物原理和庞特里亚金极小值原理的多约束条件下轨迹优化方法。模仿将东西抛过窄窗的过程,从分析斜缝角度出发,设计一条抛物线轨迹,引导飞行器借助惯性越过斜缝,对于抛掷飞机所需的初始状态,利用庞特里亚金极小值原理设计状态转换轨迹实现。在MATLAB中搭建3D模型验证穿越效果,试验显示,多旋翼最大能穿越竖直方向63°倾斜或水平方向32°倾斜的斜缝。

基于T-S模糊故障树的多态导航系统性能可靠性
刘勇, 罗德林, 石翠, 吴华新
2021, 47(2): 240-246. doi: 10.13700/j.bh.1001-5965.2020.0276
摘要:

考虑复杂多态导航系统在不同故障状态具有不同的性能可靠性,将T-S模糊故障树模型应用到多态导航系统性能分析中,以T-S模糊故障树表示系统的性能变量,映射为系统性能指标值,结合统计学中的期望思想,计算不同层次事件发生故障时系统的性能可靠性,并以典型的全球定位系统(GPS)和惯性定向定位导航系统(INS)相组合的导航系统进行分析建树,求解系统在多故障状态下的性能可靠性指标,并进行了实例分析。结果表明:无论底事件处于轻微还是严重故障状态,对系统性能都会产生影响,中间事件是导航系统的薄弱环节,即便是中间层轻微故障,也会引起系统性能可靠性较大的下降。

输入饱和情形下战斗机大机动动态面控制
周章勇, 邵书义, 胡伟
2021, 47(2): 247-254. doi: 10.13700/j.bh.1001-5965.2020.0209
摘要:

针对战斗机大机动飞行输入饱和问题,提出了一种自适应神经网络动态面控制方法。采用径向基(RBF)神经网络逼近飞机系统的不确定性,利用双曲正切函数处理系统的输入饱和问题,根据饱和受限后的实际控制输入与期望控制输入之差定义新误差变量,结合该误差变量设计大机动飞行控制律,并构造鲁棒项抵消神经网络逼近误差、外部干扰和建模误差的影响,利用动态面控制技术避免对虚拟控制器的复杂求导并减小计算量。根据Lyapunov稳定性定理证明了闭环控制系统所有信号有界,且通过选择合适的设计参数能够使姿态角跟踪误差收敛到原点的任意小邻域内。通过仿真结果的分析,验证了所提方法具有较好的鲁棒性和稳定性。

基于随机机动模型和落点预测的制导律设计
杨庶
2021, 47(2): 255-261. doi: 10.13700/j.bh.1001-5965.2020.0202
摘要:

针对自旋弹体低成本制导律设计问题,提出了一种基于落点预测的新型制导律设计方法。采用随机机动模型和自适应卡尔曼滤波器估计弹体的飞行状态,并解析求解弹体落点预测值,根据落点预测值与目标的偏差生成制导指令。该制导律不依赖于弹体气动参数和弹体运动方程的在线数值求解,避免了常规基于落点预测的制导律所带来的在线计算成本。根据自旋火箭弹的非线性数学模型,通过数值仿真检验了所提制导律在标称参数条件和参数受扰条件下的性能。通过与比例制导律进行制导性能对比,结果表明:所提制导律的制导性能在绝大多数情况下优于比例制导律。

软式自主空中加油控制策略仿真
华艺欣, 邹泉, 田海铭
2021, 47(2): 262-270. doi: 10.13700/j.bh.1001-5965.2020.0213
摘要:

软式自主空中加油(AAR)技术因其对加油设备的改装需求少且可应用于多种加油场景而受到广泛研究,但对于从起飞到加油结束脱离这一整套飞行控制流程的研究较少。针对软式AAR技术中的会合、编队、对接、加油、脱离5个阶段的控制策略进行研究。首先,分别设计了所对应的飞行指令回路控制律及导引律,通过对国内外空中加油试飞经验和试飞流程的研究,建立了“有人-无人”、“无人-无人”2种不同模式下软式AAR各阶段的控制机制,并分析了2个控制策略的差别。其次,以K8飞机和某飞机为加受油平台,建立完善的多模态控制策略,采用传统的PID控制方法,并通过极点配置法得到各模态的反馈增益和前向增益,使加受油机在多模态综合控制下达到期望的速度、角度等。同时,基于试飞经验数据设计软式AAR各阶段的全过程控制律。最后,对所设计控制律进行仿真验证,结果表明:所设计的控制策略合理可行,控制方法具有较强的抗干扰能力和较高的跟踪精度。

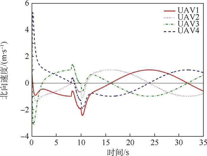
无人集群系统时变编队H控制
康宇航, 戴洪德, 祁亚辉, 张邦楚, 刘玄冰, 程俊
2021, 47(2): 271-280. doi: 10.13700/j.bh.1001-5965.2020.0200
摘要:

针对有向通信拓扑网络下具有通信时滞与外部干扰的无人集群系统(AUSS)时变编队H控制问题进行了研究。首先,基于AUSS期望编队构型信息、无人机(UAV)实时状态信息以及通信UAV之间带通信时滞的状态误差信息提出了AUSS的编队控制方法,通过变量替换将AUSS的编队控制问题转换成低维闭环系统的渐近稳定问题,并以线性矩阵不等式(LMI)形式给出了系统稳定的充分条件与最大允许通信时滞的计算公式。其次,通过构造Lyapunov-Krasovskii(L-K)泛函,证明了存在通信时滞与外部干扰条件下AUSS能够实现时变编队。最后,通过数值仿真验证所设计方法的准确性与有效性。

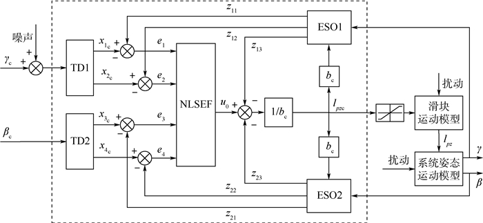
欠驱动变质心飞行器的滚偏耦合自抗扰控制
刘智陶, 李涧青, 高长生
2021, 47(2): 281-288. doi: 10.13700/j.bh.1001-5965.2020.0206
摘要:

针对单滑块滚控式变质心飞行器的欠驱动问题,提出基于自抗扰思想的控制器,利用横向配置单滑块实现指令滚转角跟踪和侧滑角镇定控制。应用质点系动量矩定理建立了系统姿态动力学模型,分析表明,滚转和偏航通道拥有同一控制输入,且存在滑块惯性和运动耦合,滑块横向偏移会影响偏航通道。为此,设计自抗扰控制(ADRC)器进行滚偏耦合控制,将模型误差、滑块耦合和不确定干扰视作总和扰动,对滚转角跟踪子系统和侧滑角镇定子系统同时进行状态观测和总和扰动动态补偿,该控制器能够较好地抵抗系统内外干扰,且结构简单、易于实现。摄动仿真结果验证了所提控制器的有效性和鲁棒性。

舰载无人机滑行轨迹控制方法
梁天骄, 陈晓明, 杨朝旭, 王海峰, 梁庆
2021, 47(2): 289-296. doi: 10.13700/j.bh.1001-5965.2020.0294
摘要:

舰载无人机是航母-舰载机系统的重要作战武器,实现舰载无人机在航母甲板上的自主滑行对于提高甲板作业效率具有重要意义。对舰载无人机滑行轨迹控制方法问题进行了研究。首先,描述甲板滑行任务的过程,在此基础上,建立滑行轨迹控制问题的数学模型,包括舰载无人机甲板滑行运动模型、滑行任务约束条件以及评价轨迹控制任务的性能指标。其次,考虑甲板环境和轨迹控制任务要求,基于模型预测控制思想,将在线滑行路径规划与轨迹控制结合,采用滚动优化方法计算出舰载无人机实际滑行轨迹,并且得到控制指令信号。最后,以“尼米兹”级航母为例,对不同停放位置舰载无人机起飞前的滑行轨迹进行仿真计算,结果表明了模型的合理性和算法的有效性。

基于信息素启发狼群算法的UAV集群火力分配
刘森琪, 王鸿, 于宁宇, 郝礼楷
2021, 47(2): 297-305. doi: 10.13700/j.bh.1001-5965.2020.0208
摘要:

无人机(UAV)集群作战是未来智能化战争的重要作战样式。为充分发挥UAV集群整体作战优势,得到最优武器-目标分配(WTA)方案,使得UAV集群在火力分配中既能够满足任务要求,又能够较少作战单元消耗,建立了包含任务完成、有效杀伤、攻击消耗约束的UAV集群火力分配数学模型,采用带有游走、召唤算子的改进狼群算法(WPA)对模型进行求解。为提高算法全局寻优效率,避免陷入局部最优,引入蚁群优化(ACO)算法中信息素启发规则,对游走行为及狼群更新机制进一步改进,提出了基于信息素启发狼群算法(PHWPA)的UAV集群进攻的火力分配方法。仿真结果表明:所提方法是有效的,相比较于其他算法,PHWPA具有更高效的寻优能力,能够为UAV集群作战火力规划提供支持。

基于多约束因子图优化的无人车定位与建图方法
牛国臣, 王瑜
2021, 47(2): 306-314. doi: 10.13700/j.bh.1001-5965.2020.0212
摘要:

针对目前在特定场景下应用的低速无人车定位系统极度依赖全球导航卫星系统(GNSS),存在定位精度不高、漂移误差大、受环境影响严重等问题,提出一种低成本、高精度的无人车定位与建图方法。该方法基于三维激光定位与建图(SLAM)技术。首先,使用点云主成分分析(PCA)实现基于特征匹配的激光里程计;其次,将GNSS位置信息、点云分割聚类得到的地平面和点云聚类特征作为位姿约束分别加入图优化框架,消除激光里程计的累积误差;最后,得到最优位姿和大规模场景的点云地图,以实现无人车的自主定位导航。利用包含大型户外城市街道环境的KITTI数据集对所提出的SLAM算法进行了评估,结果表明:系统在3km运动距离情况下定位偏差可控制在1.5 m以下,在局部精度和全局一致性方面均优于其他里程计系统,为无人车的定位提供了新思路。

基于时域映射的多无人机系统给定时间分布式最优集结
丁超, 魏瑞轩, 周凯
2021, 47(2): 315-322. doi: 10.13700/j.bh.1001-5965.2020.0215
摘要:

针对多无人机系统给定时间最优集结问题,建立了基于时域映射的分布式优化框架。首先,引入一类特殊的时域映射,将原时域的给定时间决策问题转化为了无限域中的渐近稳定问题,简化了分析设计流程。其次,进一步设计了给定时间梯度下降算法,其收敛时间与系统初始条件及其他参数无关,能够被预先给定,且算法时变增益的使用消除了参数选择过程,在全局信息严重匮乏的情况下仍然适用。仿真结果表明:所提方法能够在给定时间内实现多无人机分布式最优集结,并保证任务时间内闭环系统全局有界。

多航天器分布式事件触发分组姿态协同控制
王帅磊, 周绍磊, 代飞扬, 刘伟, 闫实
2021, 47(2): 323-332. doi: 10.13700/j.bh.1001-5965.2020.0266
摘要:

在分布式事件触发机制的基础上对多航天器分组姿态协同控制问题进行了研究。系统内包含若干个分组,并且航天器间的信息交互被抽象为无向拓扑。以修正罗德里格斯参数(MRP)描述航天器的姿态,构造了包含姿态和角速度的辅助变量,并设计了分布式的控制输入。在分布式事件触发机制下,对每个航天器设计了触发函数,并结合代数图论和Lyapunov稳定性理论证明了多航天器能够渐近达到分组姿态协同,同时证明了系统内不会发生Zeno现象。仿真结果验证了在分布式事件触发机制下提出的控制输入的有效性。

基于趋势符号聚合近似的卫星时序数据分类方法
阮辉, 刘雷, 胡晓光
2021, 47(2): 333-341. doi: 10.13700/j.bh.1001-5965.2020.0332
摘要:

作为在时间序列数据挖掘中广泛使用的主要符号化表示方法,符号聚合近似(SAX)使用段的平均值作为符号表示,由于无法区分具有不同趋势但具有相同平均值符号的不同时间序列,某些情况下可能会导致错误的分类。提出了一种改进的符号表示——趋势符号聚合近似(TrSAX),集成SAX与最小二乘法,用以描述时间序列的均值和斜率,并由此构建出BOTS分类器。此外,对卫星的模拟量遥测时序数据中的角度序列、转速序列、电流序列进行分析,并从UCR公开数据集中筛选出与3种序列类似的3个数据集进行分类实验验证。与应用了SAX和2个改进的SAX、经典的欧氏距离(ED)、动态时间规整(DTW)的1-NN分类方法进行对比,结果表明:提出的BOTS分类方法的分类错误率明显低于其他5种分类方法。

基于事件相机的可视化及降噪算法
闫昌达, 王霞, 左一凡, 李磊磊, 陈家斌
2021, 47(2): 342-350. doi: 10.13700/j.bh.1001-5965.2020.0192
摘要:

针对事件相机(Event Camera)输出的异步事件流信息不利于人眼观察、难以衔接应用任务且存在大量噪声的问题,介绍一种可视化及降噪算法。结合事件流能够反映场景中物体运动边缘信息的特点,利用物体运动边缘的时间和空间连续性进行降噪处理,进而利用事件数量和时间阈值双限制的方式累积事件得到事件“帧”,达到可视化、便于应用的目的。在真实数据集实验中,降噪算法可以有效处理背景噪声,在运动起始或缓慢时保存更多细节边缘事件信息,提升有效角点检测数量,可视化算法在保证帧率的同时,降低事件数量方差,提高事件“帧”信息的均匀性。实验结果证明了可视化及降噪算法的有效性。

对地指向偏差为约束的卫星平稳对日定向方法
季浩然, 黄頔
2021, 47(2): 351-358. doi: 10.13700/j.bh.1001-5965.2020.0293
摘要:

传统以对地指向偏差为约束的对日定向方法在星-日、星-地连线的夹角达到极值后,卫星期望姿态会发生大幅度快速翻转,导致较大的峰值功耗和寿命损伤。针对该现象,提出了一种可使期望姿态平稳变化的以对地指向偏差为约束的对日定向方法,将卫星的期望姿态设置为绕一基准姿态周期性地旋转。在不显著牺牲对日定向效能的同时,既确保卫星期望对地轴与对地方向的夹角小于约束角,又使得卫星姿态总体平稳变化。数值仿真表明:所提出的平稳对日定向方法能够大幅降低卫星期望角速度的峰值,同时能够满足对日指向和对地指向的需求。

基于鸽群优化算法的实时避障算法
李霜琳, 何家皓, 敖海跃, 刘燕斌
2021, 47(2): 359-365. doi: 10.13700/j.bh.1001-5965.2020.0198
摘要:

为保证机器人能安全无碰撞地抵达目标位置,提出一种在改进版圆形扩张(CSE+)法中融合鸽群优化算法的实时避障算法。所提算法引入对障碍物密集程度的判断机制,在障碍分布密集时选择最安全的路径,在障碍物分布稀松的环境中,利用鸽群优化算法在安全范围内寻找下一目标最优位置。此外,还引入了搜索树,可实现死角的检测与避免。仿真结果显示:所提避障算法能提高路径规划的性能,在障碍物分布稀松时效果更加明显,且可实现死角检测并能通过狭长通道。

基于节点连通度的水下通信系统生存性研究
王一达, 梁庆卫, 张鑫
2021, 47(2): 366-372. doi: 10.13700/j.bh.1001-5965.2020.0210
摘要:

在水下通信系统中,仅仅考虑节点的强度来描述水下通信系统中各个节点的重要性是片面的,为了更好地对水下通信系统的节点重要性进行评估,提出了节点连通度这一指标对水下通信系统进行描述。对节点连通度的定义和方法进行了说明,并对水下通信系统节点重要性和失效方式进行了计算推导,得到水下通信系统节点信息被获取的概率的计算方法。通过对一个水下通信模型进行仿真,验证了节点连通度指标可以描述水下通信系统的生存性。

基于双向电机驱动的四旋翼机动飞行控制
徐力昊, 张宇, 许斌
2021, 47(2): 373-381. doi: 10.13700/j.bh.1001-5965.2020.0221
摘要:

四旋翼飞行器(QUAV)的位置、姿态运动控制效果决定了其机动性。为了克服四旋翼系统欠驱动的缺陷,基于四元数表达对一种双向电机驱动的四旋翼进行了动力学建模,包括双向推力作用情况下的全向运动过程分析,并提出了一种姿态与位置控制器及控制分配矩阵设计方法。面向四旋翼的x-z平面模型,设定合理的参数和限制,使用最优规划方法提出了适用于新型四旋翼翻转、竖直等机动飞行轨迹的生成方法,其中推力与转矩都是实现时间最短的最优方案。搭建了包括电子调速器、电机、桨叶、机架等部件在内的详细的仿真试验环境。仿真试验的结果验证了双向电机驱动的四旋翼相比于传统四旋翼,能有效提高姿态跟踪与位置跟踪的精度,提升了飞行器的机动性。

事件触发机制下的充液航天器姿态控制
董新蕾, 齐瑞云, 卢山, 王焕杰
2021, 47(2): 382-390. doi: 10.13700/j.bh.1001-5965.2020.0282
摘要:

针对液体大幅晃动、通信资源受限的充液航天器姿态控制系统,提出一种自适应滑模控制与事件触发机制相结合的控制策略。首先,针对固-液耦合的充液航天器姿态控制系统,选用滑模变结构控制来削弱液体大幅晃动的非线性影响,并设计自适应更新律在线估计不确定参数来提高系统的鲁棒性。然后,考虑星载计算机资源的限制,设计相对阈值的事件触发机制来决定控制输入信号的更新,从而减少控制器与执行器之间的信号更新对通信网络的占用。最后,仿真结果表明,在液体大幅晃动下,所提控制策略不但可以使航天器姿态控制系统最终收敛到任意小的界内,而且可以减少96%的控制信号传输,减轻航天器的通信负载。

基于寒鸦配对交互行为的无人机集群编队控制
张令, 段海滨, 雍婷, 邓亦敏, 魏晨
2021, 47(2): 391-397. doi: 10.13700/j.bh.1001-5965.2020.0265
摘要:

受寒鸦群配对飞行行为机制的启发,提出了一种配对交互模型,并应用于解决无人机(UAV)集群编队控制问题。首先,模仿寒鸦个体间的配对交互,设计配对交互时的邻居选择机制,基于社会力,考虑惯性加速、远距吸引、近距排斥、速度匹配和运动阻尼,分别建立配对个体和未配对个体的运动学微分方程,完成配对交互模型的构建。然后,在无人机模型基础上,设计基于寒鸦配对交互机制的无人机集群编队控制器。最后,通过2组仿真实验研究所提模型应用于无人机集群时的特性。结果表明,寒鸦配对交互模型能保证无人机集群运动的一致性,通过减小无人机交互的平均邻居数量,从而减小无人机集群的通信负载,并且当单向刺激时,配对无人机作为信息无人机时集群有更高的应激精度。

一种短航程再入解析预测校正制导方法
周亮, 张洪波
2021, 47(2): 398-405. doi: 10.13700/j.bh.1001-5965.2020.0318
摘要:

针对载人探月飞船高速再入返回问题,提出了一种短航程低过载的再入解析预测校正制导方法。引入大升阻比航天器滑翔式再入的概念,通过设定再入过程中滑翔段轨迹形式,利用轨迹参数描述滑翔段轨迹,推导出预测航程的解析公式。为使终端误差满足要求,通过试位法校正轨迹参数,并换算得到倾侧角制导指令。在偏差条件下进行仿真,实现了飞船2100km任务航程下400~450s内以低于6.5g0的过载再入,结果表明,所提制导方法具有较高的精度和较强的鲁棒性,为载人探月飞船应急快速返回提供了参考思路。

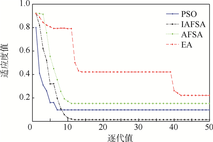
基于改进人工鱼群算法的无人直升机编队航迹规划
马梓元, 龚华军, 王新华
2021, 47(2): 406-413. doi: 10.13700/j.bh.1001-5965.2020.0203
摘要:

针对无人直升机(UH)编队的航迹规划问题,提出了一种基于改进人工鱼群算法(AFSA)的航迹规划算法。从邻域学习和算法特性2个角度出发,针对人工鱼群算法中的人工鱼视野模型提出了一种人工鱼自适应视野模型,并对其鱼群的进化策略在无性繁殖方式的基础上进行了改进;从规划原理、代价函数、约束条件3个方面建立了无人直升机编队航迹规划模型;针对航迹规划中普遍存在的搜索效率低、精度差等特有问题改进了所提算法的编码方式和聚类策略。利用三机编队航迹规划的算例对所提算法进行了验证,仿真结果证明,通过对人工鱼群算法的改进、航迹规划模型的建立等措施实现了良好的无人直升机编队航迹规划,同时在搜索效率、收敛速度及求解精度上都有了显著提高。

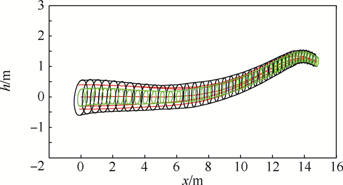
飞行器栖落机动的轨迹跟踪控制及吸引域优化计算
王无天, 何真, 岳珵
2021, 47(2): 414-423. doi: 10.13700/j.bh.1001-5965.2020.0207
摘要:

针对固定翼飞行器栖落机动的纵向运动,研究了栖落机动轨迹跟踪控制设计与吸引域优化计算方法。首先,根据栖落动力学模型和栖落过程中各个状态量的约束,用广义伪谱法生成标称轨迹,以此为基础设计了分段线性轨迹跟踪控制律。然后,在平方和(SOS)算法的基础上计算出栖落轨迹的吸引域,以保证吸引域内的飞行器能最终栖落在目标区域。最后,进一步改进吸引域的迭代优化计算方法以扩大吸引域范围。仿真结果验证了栖落机动轨迹跟踪控制律的有效性,并表明运用所设计的吸引域优化计算方法可以获得更大的吸引域。

基于态势认知的无人机集群围捕方法
吴子沉, 胡斌
2021, 47(2): 424-430. doi: 10.13700/j.bh.1001-5965.2020.0274
摘要:

无人机集群围捕是智能无人机“蜂群”作战的一种重要任务方式。现有集群围捕方法大多建立在环境已知的基础上,面对未知的任务环境时围捕策略经常性失效。针对此问题,提出了基于态势认知的发育模型,探索一种对环境适应性较佳的围捕方法。首先,对集群围捕行为分解,将围捕离散化;然后,基于深度Q神经网络(DQN),设计一种围捕策略的生成方法;最后,建立状态-策略知识库,并通过大量有效数据的训练,针对不同环境获得不同的策略,对知识库进行发育。仿真结果表明:提出的基于态势认知的发育模型,能够有效适应不同环境,完成不同环境下的围捕。

常见问答