留言板

尊敬的读者、作者、审稿人, 关于本刊的投稿、审稿、编辑和出版的任何问题, 您可以本页添加留言。我们将尽快给您答复。谢谢您的支持!

姓名
邮箱
手机号码
标题
留言内容
验证码

2021年  第47卷  第12期

显示方式:
2021年, 第47卷, 第12期
icon下载 (124603) 781 icon预览
论文
复杂结构焊缝缺陷双线阵全聚焦超声成像方法
周正干, 滕利臣, 李洋
2021, 47(12): 2407-2413. doi: 10.13700/j.bh.1001-5965.2020.0464
摘要:

某型航空发动机高温合金盘由涡轮盘本体和外层整体叶片环焊接而成,采用常规单通道超声方法检测焊接面缺陷时,存在检测分辨率低、信噪比差等问题,为此,提出了一种采用两组线性阵列换能器的检测方案。利用全聚焦方法(TFM)对焊接面缺陷进行成像表征,与常规全聚焦方法不同,阵列孔径和波形模式均能随检测深度动态变化,其最优参数通过理论仿真确定。制备了含预埋缺陷的航空发动机高温合金盘试样,开展了检测实验。结果表明:提出的双线阵全聚焦超声成像方法能有效提高高温合金盘未焊合面积型缺陷的检测能力,是一种可行的检测方案。

一种面向嵌入式系统的多模型集中存储方法
闫治鹏, 蔡兴泉, 杨波, 吴际
2021, 47(12): 2414-2425. doi: 10.13700/j.bh.1001-5965.2020.0501
摘要:

随着软件安全性的重要性日益增长,使用模型驱动的方法进行软件开发越来越受到重视。针对目前存在跨域模型的集成障碍,提出了一种基于元建模技术提取多视角模型信息进行存储的方法,并详细阐述了针对AADL、SysML、Simulink三种建模语言设计的建模元素解析、集成描述文件生成的方法框架。实验结果表明:按照所提方法实现的模型仓库能够准确提取出不同视角模型间的集成相关信息,在能够正确存储、查询的条件下,实现的元素数量覆盖率均在90%以上。

空中交通CPS级联失效与缓解策略
王兴隆, 贺敏, 刘明学
2021, 47(12): 2426-2433. doi: 10.13700/j.bh.1001-5965.2020.0466
摘要:

为有效缓解空中交通级联失效,改进传统负载-容量模型,并发现容量调节参数存在级联失效临界值;建立空中交通物理信息系统(CPS)模型,定义节点正常、拥堵和失效3种工作状态,提出度分配、介数中心性分配和剩余容量分配等节点流量分配策略,以此缓解航路网和管制网的级联失效,建立网络正常率指标来评估策略实施效果。以中国华东地区空中交通CPS为实例分析,结果表明:在节点介数中心性分配策略下,网络抵御级联失效的能力较强,最先从崩溃状态开始恢复;节点剩余容量分配策略下,各节点可以充分发挥接收额外流量的作用,网络级联失效最早恢复至正常状态,缓解效果较好。

基于损伤力学的含预腐蚀损伤铝合金的疲劳寿命预测
詹志新, 余洵, 胡伟平, 孟庆春
2021, 47(12): 2434-2441. doi: 10.13700/j.bh.1001-5965.2020.0477
摘要:

在工程结构中,腐蚀疲劳破坏是一种常见的现象,腐蚀坑处往往形成疲劳源,严重影响材料的疲劳特性。基于连续损伤力学理论,提出了含预腐蚀损伤铝合金疲劳寿命预测方法。首先,将腐蚀的影响分为2个方面,即腐蚀造成局部初始损伤和腐蚀形成的蚀坑造成局部应力集中;其次,建立了考虑预腐蚀损伤的疲劳损伤演化方程,并实现了相应的数值解法;然后,根据预腐蚀疲劳试验结果与数值计算结果,得到预腐蚀引起的材料初始损伤;最后,采用数值解法,对含预腐蚀坑的铝合金进行了寿命预估,并与试验结果进行对比,验证了所提方法的有效性。

无人集群系统行为决策学习奖励机制
张婷婷, 蓝羽石, 宋爱国
2021, 47(12): 2442-2451. doi: 10.13700/j.bh.1001-5965.2020.0600
摘要:

未来作战的发展方向是由多智能体系统构成的无人集群系统通过智能体之间自主协同来完成作战任务。由于每个智能体自主采取行为和改变状态,增加了智能群体行为策略训练的不稳定性。通过先验约束条件和智能体间的同构特性增强奖励信号的实时性,提高训练效率和学习的稳定性。采用动作空间边界碰撞惩罚、智能体间时空距离约束满足程度奖励;通过智能体在群体中的关系特性,增加智能体之间经验共享,进一步优化学习效率。在实验中,将先验增强的奖励机制和经验共享应用到多智能体深度确定性策略梯度(MADDPG)算法中验证其有效性。结果表明,学习收敛性和稳定性有大幅提高,从而提升了无人集群系统行为学习效率。

基于不确定性的航空装备体系保障性评估
崔利杰, 丛继平, 丁刚, 任博, 王毅, 黎纪宏
2021, 47(12): 2452-2461. doi: 10.13700/j.bh.1001-5965.2020.0490
摘要:

针对航空装备体系结构复杂、要素繁多、耦合性强的特点,对其保障流程进行了研究。采用多Agent建模技术开展航空装备体系保障性仿真建模,并进行分析评估;考虑到保障过程中大量存在的主客观不确定性因素,分别采用模糊变量和随机分布2种变量形式予以描述;为符合客观变量动态时变的特点,将基于交叉熵的最大似然估计和哈密顿蒙特卡罗方法相结合,实现基于信息更新的仿真参数描述,优化航空装备体系保障仿真模型。以一个典型战训任务为例,验证了所提方法的可行性和准确性。

空域空间网格标识原理及应用
朱永文, 蒲钒
2021, 47(12): 2462-2474. doi: 10.13700/j.bh.1001-5965.2020.0487
摘要:

在对空域空间有限元的相关研究中,构建空域空间的网格标识系统,是将信息技术应用于空域管理、推进空域数字化的重要基础。在美军全球区域参考系统和通用地理位置参考系统基础上,提出了一种同时具备标识平面和立体空间位置能力的参考系统。通过在地球表面以上特定高度之下的空间内,建立一种递归剖分策略方法,将空域空间划分为若干空间网格,不同尺度下的网格既是一种地理空间位置参考系统,也是一种组成空域的基本空域体,以此实现空间位置参考与空间位置标定的混合表达,为开展空域数字化管理提供底层模型。

抗控制饱和的鲁棒非线性飞行控制方法
孙冰, 陈伟
2021, 47(12): 2475-2483. doi: 10.13700/j.bh.1001-5965.2020.0473
摘要:

飞行器在大包线范围内作机动飞行时,其舵面和发动机易达到饱和,该现象不仅会对闭环系统的稳定性造成影响,而且会大大缩短发动机等关键部件的使用寿命。针对该问题,设计了一种抗饱和非线性飞行控制方法。首先,建立飞行器的严格反馈非线性模型。然后,采用自适应反步设计思想设计得到舵控和发动机转速控制指令,由径向基函数(RBF)网络对建模误差进行逼近。针对控制饱和问题,分别设计了相应的抗饱和动态补偿系统。通过建立闭环控制系统的李雅普诺夫函数,由稳定性理论确定得到RBF网络的更新权值和抗饱和动态补偿系统的结构参数,确保所设计的闭环控制系统全局稳定。最后,仿真结果表明,在出现控制饱和时,抗饱和动态补偿系统可对控制指令进行实时修正,帮助系统较快脱离饱和状态,系统饱和时间缩短了30%~60%,同时具有较高的指令跟踪精度。

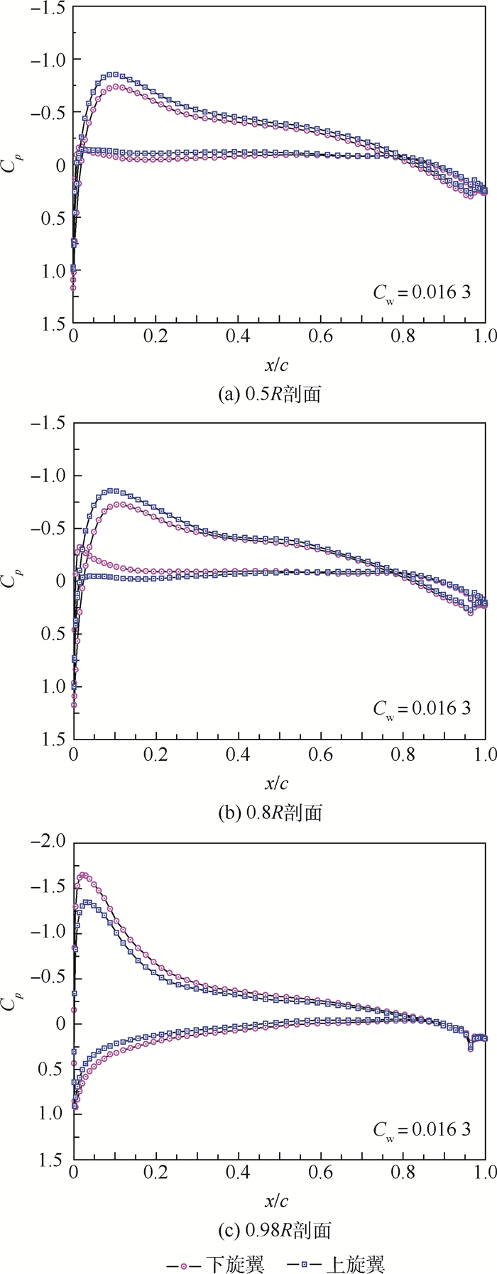
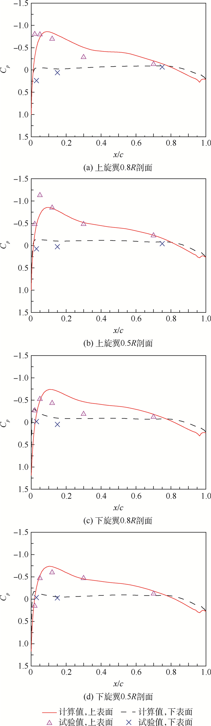
共轴刚性旋翼悬停状态桨叶表面压力测量试验与计算研究
江露生, 曹亚雄, 刘婷, 樊枫
2021, 47(12): 2484-2493. doi: 10.13700/j.bh.1001-5965.2020.0669
摘要:

针对共轴刚性模型旋翼悬停状态,开展了桨叶表面压力测量试验与数值模拟研究。试验采用微型压力传感器进行桨叶表面压力测量,不仅获得了桨叶表面压力的试验数据,同时为CFD计算方法计算桨叶表面压力提供了验证数据。计算与试验结果对比吻合度良好,验证了CFD计算方法的有效性。研究获得了共轴刚性旋翼上下旋翼桨叶表面的流动情况和压力特性,结果表明:对于上下各4片桨叶的共轴刚性旋翼,桨叶表面压力随着桨叶旋转呈周期性变化,旋转一周出现8个小周期;在上下旋翼扭矩配平的悬停状态,下旋翼桨叶大部分区域受下洗流影响,下旋翼剖面拉力低于上旋翼;在桨尖区域,下旋翼的桨距角大于上旋翼,受各自上洗流的影响,下旋翼剖面拉力高于上旋翼。

警觉性光环境对飞行认知任务表现的影响
陈彦蒿, 余隋怀, 初建杰, 寸文哲
2021, 47(12): 2494-2502. doi: 10.13700/j.bh.1001-5965.2021.0124
摘要:

从飞行认知任务的主客观表现测试了单色蓝光和3组富蓝多色光对飞行认知任务警觉性水平变化的影响。客观实验评测包括飞行主辅任务测量和信息检视任务测量,分别从计算力及记忆力水平,判断力、寻错力及逻辑力水平,获取4组警觉性光环境下飞行认知任务表现水平的变化情况;主观综合评测通过多维指标的警觉性主观自评量表,运用熵权TOPSIS法建立主观综合评价模型,得到各组光环境下的主观综合评价排序。将主客观的测量结果进行综合分析,结果表明:单色蓝光在飞行主辅任务测量中计算力水平成绩明显高于其他组,4组光环境对记忆力水平均无显著影响;在信息检视任务测量中单色蓝光与富蓝白光对认知表现的提升效应持平,明显高于其他组;整体主观感受方面,富蓝白光综合评价最高。结果可以对驾驶舱警觉性照明设计提供指导。

基于一次性突发原则的TTE网络实时性能优化
郑重, 赵露茜, 何锋, 熊华钢, 卢广山
2021, 47(12): 2503-2513. doi: 10.13700/j.bh.1001-5965.2020.0415
摘要:

确定性通信的发展,促进了时间触发概念的引入。时间触发以太网(TTE)通过提供3种流量类别来支持混合安全性的实时应用:时间触发(TT)流量,具有完全的时间确定性;速率约束(RC)流量,具有确界的端到端延迟;尽力传(BE)流量。如何实现时间触发机制下RC流量实时性能的紧性分析,仍然是决定TTE网络顺利应用的开放式问题。在FIFO服务策略的假设下,将“一次性突发原则”的分析方法引入到TTE网络中,以观察该原则在时间触发网络性能分析中的影响。不同于航空电子全双工以太网(AFDX),具有更高优先级的TT流量会对RC流量的延迟分析产生关键影响,从而导致一次性突发分析的复杂性。通过建立聚合TT流量在及时阻断模式下的到达曲线模型,从而获得单条RC流量端到端的服务曲线模型,基于此实现了RC流量的最坏情况端到端延迟(WCD)评估,进一步完成了一次性突发原则下的分析对比。相较于已有工作,一次性突发原则可以得到RC流量更精确的最坏端到端延迟上界评估结果,有助于改善TTE网络性能评价紧性。通过A380拓扑组网案例的对比分析,相比于传统方法,所提方法RC流量平均延迟减少了12.05%。

高含量卡托辛合成的理论与实验研究
刘晓菊, 索奇, 冯海涛, 张驰, 马晓燕
2021, 47(12): 2514-2520. doi: 10.13700/j.bh.1001-5965.2020.0497
摘要:

2,2'-双(乙基二茂铁)丙烷(卡托辛)是一种综合性能优良的高效液体燃速催化剂,主要包含4种乙基取代位置不同、物理和化学性质均很相近的卡托辛同分异构体和不同取代基的双二茂铁丙烷,其中卡托辛同分异构体与其他双二茂铁丙烷很难分离。首先,采用密度泛函理论(DFT)方法模拟确定了4种同分异构体的结构,分别获得4种同分异构体的1H-NMR和13C-NMR理论谱图。其次,计算研究了合成过程中温度对产物中4种同分异构体含量的影响。最后,在理论合成条件的指导下,以高纯度乙基二茂铁和丙酮为原料、浓硫酸为催化剂,合成了卡托辛粗品。结果表明:利用惰性气体辅助蒸汽蒸馏法得到纯度大于99.0%的卡托辛同分异构体,收率高于94.0%,并通过核磁共振法确定了其结构。

翼型近波浪水面气动特性研究
胡浩德, 马东立, 杨穆清, 郭阳
2021, 47(12): 2521-2532. doi: 10.13700/j.bh.1001-5965.2020.0448
摘要:

采用求解Navier-Stokes方程的数值方法研究了翼型NACA4412近距离经过波浪水面时的气动特性。对数值方法的准确性进行了验证。计算了翼型经过波浪水面和固壁波浪地面2种边界条件下的气动力系数,并进行了对比。研究结果表明:翼型在经过波浪水面时气动力系数会发生周期性的变化,与固壁波浪的情况相比,气动力的变化曲线存在显著差异,波动幅度更大。通过对流场结构的分析,发现了翼型和波浪水面之间的作用机理。波浪水面的质点存在竖直方向上的运动,在小地面间隙时,水面质点向上运动会挤压翼型和水面之间的空气,从而造成翼型气动力大幅波动。同时解释了来流速度越大,气动力系数波动幅度减小的原因。

一种迭代聚合的高分辨率网络Anchor-free目标检测方法
王新, 李喆, 张宏立
2021, 47(12): 2533-2541. doi: 10.13700/j.bh.1001-5965.2020.0484
摘要:

针对目前Anchor-free目标检测方法CenterNet(ObjectsasPoints)生成热力图不准确、检测精度不足的问题,提出了一种基于特征迭代聚合的高分辨率表征网络CenterNet-DHRNet。首先,引入高分辨率表征骨干网络,并用迭代聚合的方式对不同分辨率的特征图进行融合,提高网络的分辨率,有效减少图像在下采样过程中损失的空间语义信息。其次,使用高效通道注意力机制对高分辨率表征骨干网络的输出进行优化。最后,利用结合空洞卷积的空间金字塔池化操作增强网络对不同尺度物体的感受野。实验在PASCALVOC数据集和KITTI数据集上进行,结果表明:CenterNet-DHRNet精度更高,满足实时检测的性能要求,具有良好的鲁棒性。

基于不完美先验信息的随机系数回归模型剩余寿命预测方法
万昌豪, 刘志国, 唐圣金, 孙晓艳, 司小胜
2021, 47(12): 2542-2551. doi: 10.13700/j.bh.1001-5965.2020.0439
摘要:

剩余寿命预测是设备预测与健康管理的核心问题,准确的剩余寿命预测可以在故障发生前进行有效的维护保养,以减小设备故障发生的概率。针对实际剩余寿命预测中先验信息不足或缺乏的问题,提出一种克服不完美先验信息影响的启发式剩余寿命预测方法。首先,利用非线性随机系数回归模型进行退化建模。其次,证明了基于单个设备现场退化数据,期望最大化(EM)算法的参数估计结果收敛于极大似然估计(MLE)算法的参数估计结果,并提出一种合理融合先验信息和现场信息的启发式剩余寿命预测方法。最后,通过数值仿真数据和实际锂电池退化数据对提出的结论和方法进行了验证,结果表明:启发式剩余寿命预测方法相比传统贝叶斯方法能够较好地克服不完美先验信息的影响,更为准确的预测设备地实际剩余寿命。

前体尾流对降落伞工作性能的影响
吴卓恒, 余莉, 赵晓舜, 聂舜臣
2021, 47(12): 2552-2559. doi: 10.13700/j.bh.1001-5965.2020.0465
摘要:

为研究前体尾流对降落伞工作性能的非定常影响,基于Realizablek-ε湍流模型采用PISO算法开展了物伞系统的非定常绕流数值计算,获得了精细的流场旋涡结构。在此基础上,研究了不同拖曳比下物伞系统的尾涡演变规律、流场分布规律以及伞衣气动特性变化。结果表明:前体尾涡导致伞衣入口处的涡量大小和方向时刻变化,随拖曳比增加,涡量黏性耗散增强,进入伞衣的旋涡强度逐渐减弱,伞衣入口形成稳定的负涡量区,伞衣尾涡脱离周期随之延长;拖曳比对尾涡区后端(伞衣入口处)流场压力的影响远大于前端,随拖曳比增加,流动形式逐渐由闭式转变为开式,流场的速度分布和压力分布更为对称,伞衣入口形成稳定的正压区,内外压差增加;当拖曳比大于9时,前体尾流对降落伞阻力系数和表面压强系数的影响减小。

面向狭小空间的起落架收放轨迹智能设计方法
朱林昊, 邹泽铧, 印寅, 刘相阳, 蔡新之
2021, 47(12): 2560-2570. doi: 10.13700/j.bh.1001-5965.2020.0440
摘要:

扁平化气动外形是高超声速飞行器获得较高升阻比的优先布局,但该外形严重约束了起落架的收藏空间,常规机构很难满足要求,只能采用复杂机构的三维运动实现起落架的窄空间收放。然而,当前主流的计算机辅助设计迭代试凑法在解决空间机构设计问题方面非常依赖工程经验,耗时耗力且很难得到最优结果。为解决这一问题,创新性地提出基于智能优化算法的起落架复杂机构自主设计方法。首先,分析并建立起落架收放机构的运动学理论模型;然后,建立起落架结构间距离描述及碰撞检测模型,并运用深度神经网络自主设计起落架收放机构的最优运动轨迹;最后,以某狭窄舱段的起落架收放策略设计为例,应用该设计方法进行设计。结果表明:所提设计方法可以快速得到最优的起落架收放机构设计方案,可用于指导高超声速飞行器起落架收放机构的设计。

基于G1-变异系数-KL改进TOPSIS雷达对抗干扰有效性评估
李志军, 向建军, 盛涛, 肖冰松
2021, 47(12): 2571-2578. doi: 10.13700/j.bh.1001-5965.2020.0493
摘要:

干扰效能评估作为多属性决策问题时,为解决传统的逼近理想解排序法(TOPSIS)在进行雷达对抗效能评估时过于客观而不能充分体现评估者意志,并且在使用过程中仅考虑指标间欧氏距离导致某些处于正负理想解中垂线上的点无法分辨的问题,提出一种G1-变异系数-KL改进TOPSIS雷达对抗干扰有效性评估算法。该算法利用G1法和变异系数法分别求得主观和客观权重,并引入差异系数的概念充分反映主客观程度,利用相对熵解决位于正负理想解中垂线上的点无法排序的问题。通过仿真实验可以发现,提出的算法在评价干扰有效性时性能优于传统算法。

一种改进X-best引导个体和动态等级更新机制的鸡群算法
张可为, 赵晓林, 何利, 李宗哲
2021, 47(12): 2579-2593. doi: 10.13700/j.bh.1001-5965.2020.0322
摘要:

在群智能算法的改进中,常利用优秀个体加速算法收敛,但对其依赖过度会导致种群多样性和算法全局收敛性下降的现象。对此,提出一种改进X-best引导个体和动态等级更新机制的鸡群算法。首先,在个体更新阶段不仅引入优秀个体加速收敛,并且通过普通个体对优秀个体的影响进行适当平衡,因此,优秀个体与普通个体的信息都能得到利用,进而种群多样性和算法全局收敛性得到提升。其次,通过对等级更新参数进行动态优化,加强了种群等级更新机制对算法收敛的促进作用。最后,经过时间复杂度与收敛性分析,证明了改进算法仍具有简单性和全局收敛性。仿真结果表明:所提出的改进算法较其他对比算法在寻优精度、寻优成功率和收敛速度等方面都具有明显优势。

耐久性分析相对小裂纹扩展速率公式的参数确定方法
左冉东, 贺小帆, 李玉海
2021, 47(12): 2594-2601. doi: 10.13700/j.bh.1001-5965.2020.0492
摘要:

结构细节相对小裂纹扩展速率公式是采用概率断裂力学方法进行结构耐久性分析的关键。针对目前需进行多个应力水平下的成组疲劳试验以确定相对小裂纹扩展速率公式适用范围和参数的问题,首先,通过将应力强度因子修正系数展开为多项式,基于材料稳定裂纹扩展段的裂纹扩展速率公式得到了耐久性分析的相对小裂纹扩展速率公式。然后,以受远场均匀拉伸载荷作用的中心圆孔板为对象,分别基于应力强度因子近似解和FRANC3D软件进行裂纹扩展分析,得到相对小裂纹尺寸范围及对应裂纹扩展参数的确定方法。最后,进行了3种试件在等幅交变应力下的耐久性试验,验证了该方法的正确性。

变体航行器动力学建模与仿真
颜奇民, 胡俊华, 陈国明, 刘安, 张强
2021, 47(12): 2602-2610. doi: 10.13700/j.bh.1001-5965.2020.0496
摘要:

针对部分变体航行器变体描述复杂、存在刚体与柔性体耦合导致动力学模型复杂的问题,推导了一种具有普遍适用性的变体航行器动力学方程。将航行器视为由质点组成的整体,建立每个质点的运动微分方程。采用积分思想得到了适用于变体航行器的动力学扩展方程,其中,航行器变体产生的影响可以用附加力与附加力矩描述。对一种具有柔性翼的共形半环翼变体航行器进行了纵向面内开环运动仿真。针对部分附加力与附加力矩难以准确计算的问题,提出了一种便于工程化快速计算的方法,分析了不同变体速率下航行器的动力学响应和附加力、附加力矩的影响。结果表明,附加力和附加力矩与变体速率正相关。

转盘轴承集聚效应分析及其对回转性能的影响
邓飙, 陈渐伟, 郭杨, 唐圣金, 陈威
2021, 47(12): 2611-2622. doi: 10.13700/j.bh.1001-5965.2020.0499
摘要:

针对航天发射台转盘轴承工作时出现滚动体集聚导致摩擦力矩增大的问题,研究转盘轴承中滚动体之间间隙变化对集聚效应的影响。通过对典型工位处进行有限元分析,对比不同接触类型转盘轴承的滚道变形和滚动体接触作用力的分布规律。在确定滚动体与隔离块的几何关系后,进一步分析了滚道变形和滚动体接触作用力的时变性对滚动体间隙变化的影响,并将间隙变化和集聚效应建立了联系。有限元计算得到的发射台框架变形与实验测量数据一致,验证了有限元计算的可靠性。仿真结果显示,由于下滚道发生轴向变形,滚动体在运动过程中不断交替进行“爬坡”和“下坡”;滚道径向变形导致滚动体之间增大了较多的间隙;各滚动体的驱动摩擦力不断变化,运动状态具有时变性,当转盘轴承中间隙增加时,运动状态不断变化的滚动体导致增加的间隙出现累积,引起滚动体集聚。为消除滚动体集聚效应,探索其对摩擦力矩的影响,进行了对比实验。结果表明:集聚效应导致发射台的摩擦力矩增加,且变化剧烈。

基于迭代译码的LDPC码稀疏校验矩阵重建
钟兆根, 刘仁鑫, 张立民, 但波, 刘杰
2021, 47(12): 2623-2631. doi: 10.13700/j.bh.1001-5965.2020.0500
摘要:

为了改善高误码率情况下低密度奇偶校验(LDPC)码稀疏校验矩阵重建算法的性能,基于迭代译码的思想提出了一种稀疏校验矩阵的重建算法。首先,利用对偶空间算法获取到部分非稀疏校验向量,并对其进行稀疏化处理。其次,利用稀疏化后的校验向量对LDPC码进行软判决迭代译码,从而对码字中错误比特进行纠正,以改善码字质量。然后,对纠错后码字再次进行校验向量获取,不断重复迭代。最后,实现LDPC码稀疏校验矩阵的重建。实验结果表明:在误码率为10-3量级下,针对IEEE802.16e、IEEE802.11n等协议下的LDPC码,所提算法均能有效完成重建,同时新算法的稀疏矩阵重建率要明显好于传统方法。

多服务器环境下基于动态ID的轻量级身份认证协议
齐小晨, 黎妹红, 杜晔
2021, 47(12): 2632-2640. doi: 10.13700/j.bh.1001-5965.2020.0442
摘要:

为了实现用户和服务器之间的通信安全及高效的身份认证,设计有效的身份认证协议成为研究热点。分析了已有协议的安全性,发现仍存在不能抵抗拒绝服务攻击(DOS)和离线口令猜测攻击的缺陷。因此,提出了新的基于动态ID的轻量级单向哈希函数身份认证协议,并通过非形式化安全性分析、随机预言机模型(ROM)分析和AVISPA实验仿真3种安全性分析,以及计算开销和通信开销的分析,比较证明了所提协议能够实现安全高效的身份认证。

双射流环量控制翼型的控制力矩特性研究
何玉娟, 雷玉昌, 张登成, 张艳华, 周章文
2021, 47(12): 2641-2649. doi: 10.13700/j.bh.1001-5965.2021.0080
摘要:

为了探究环量控制技术在飞行控制性能方面的优势,在定常流场中对定常射流环量控制翼型的控制力矩作用机理展开了研究,采用数值仿真的方法,对比分析了单射流、双射流产生的虚拟舵面与传统舵面作用下的气动力系数的变化规律,并基于无舵面飞行器CCSCAOON对其气动力矩的控制特性进行了验证。验证结果表明:单射流作用下的虚拟舵面能够提供用于飞行器所需的滚转和俯仰力矩,且作用机理相似,控制性能优于传统舵面;无论是单射流还是双射流,在大迎角下虚拟舵面的气动控制特性较差,限制了环量控制的使用迎角;双射流较单射流而言,升阻比特性和控制力矩特性较好;双射流下的虚拟舵面通过调节下射流口动量系数,能够有效降低偏航力矩与滚转、俯仰力矩之间的耦合效应。

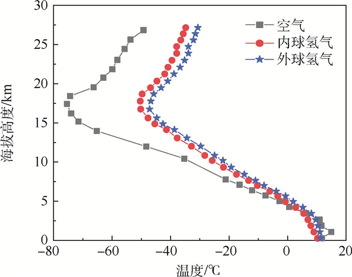
双层乳胶气球的高空平漂机理及垂直轨迹模拟
何红, 朱华健, 谌志鹏, 肖迪娥, 潘显智, 李凡珠
2021, 47(12): 2650-2656. doi: 10.13700/j.bh.1001-5965.2020.0505
摘要:

双层乳胶气球克服了单层乳胶气球的缺点,可以在高空平漂以实现持续气象观测,但是其高空平漂受多因素影响比较复杂,特别是气球充气量主要依赖工程经验,施放成功率不高,亟需提供理论指导。通过试验数据证明了浮重平衡是双层乳胶气球实现高空平漂的必要条件,推导得出内、外球氢气充气量和昼夜温度变化对其运动的影响;建立了双层乳胶气球的几何模型和动力学模型,结合实地施放试验,对其升空和平漂过程轨迹进行模拟,由此探究了内、外球充气量对平漂高度的影响。研究结果表明:内球充气量是决定平漂高度的主要因素,并受昼夜温度变化影响,当内、外球规格分别为750g、500g,负载约1kg时,内球拉力每增大或减小0.04kg,最终平漂高度将对应升高或降低约5km,而外球充气量对其平漂高度无影响。

常见问答