留言板

尊敬的读者、作者、审稿人, 关于本刊的投稿、审稿、编辑和出版的任何问题, 您可以本页添加留言。我们将尽快给您答复。谢谢您的支持!

姓名
邮箱
手机号码
标题
留言内容
验证码

2021年  第47卷  第10期

显示方式:
2021年, 第47卷, 第10期
icon下载 (95718) 1014 icon预览
论文
函数传递法求解悬链线问题
马艳红, 时成龙, 洪杰, 李超
2021, 47(10): 1933-1940. doi: 10.13700/j.bh.1001-5965.2020.0367
摘要:

悬链线问题是一类经典又多变的力学问题,其曲线构形指导着桥梁等工程应用的结构设计。为了求得结构特征或载荷特征不同的悬链线的变形,提出了一种基于传递矩阵法思想的、通用性较好的求解方法。首先,提炼出悬链力学模型,将悬链顺序划分成若干简单单元,结合单元力平衡和本构-几何关系解得单元特征函数方程组,顺序嵌套单元特征函数方程组获得整体特征函数方程组;然后,使用离散Newton迭代法对该非线性方程组进行求解,获得悬链的受力和变形;最后,算例验证了结果与解析解的一致性。函数传递法对具有复杂结构特征和载荷特征的悬链线问题有很好的适用性,对求解其他可划分为若干首尾相接结构单元的结构系统的广义变形也适用。

基于TechDemoSat-1卫星的GPS反射信号海面高度反演
张云, 马德皓, 孟婉婷, 郑俏, 杨树瑚
2021, 47(10): 1941-1948. doi: 10.13700/j.bh.1001-5965.2020.0357
摘要:

针对星载GPS反射信号(GPS-R)海面测高的误差问题,基于星载GPS-R实测数据进行星载海面测高模型和误差修正模型的研究,并验证其有效性。利用TechDemoSat-1(TDS-1)数据,使用时延多普勒图(DDM)海面高度反演技术,着重分析了星载GPS-R海面高度反演中的各类误差,并建立了相应的误差模型。对星载GPS-R海面高度反演模型进行优化,采用DTU15全球平均海面模型、DTU全球海潮模型验证反演精度。结果证明:优化后反演模型得到的全球海面高度反演结果的平均绝对误差(MAD)为6.05 m,精度提高了约29%,有效提高了海面高度反演的精度。研究成果对于推广星载GNSS反射信号(GNSS-R)的海面测高应用具有一定的意义。

基于残缺图像样本的生成对抗网络图像修复方法
李海燕, 黄和富, 郭磊, 李海江, 陈建华, 李红松
2021, 47(10): 1949-1958. doi: 10.13700/j.bh.1001-5965.2020.0374
摘要:

针对大面积图像修复缺失严重时,需要完整且高质量训练样本的问题,提出了一种将残缺或含噪图像样本作为训练集的双生成器深度卷积生成对抗网络(DGDCGAN)模型。构建两个生成器和一个鉴别器以解决单一生成器收敛慢的问题,用残缺图像样本作为训练集,通过交叉计算、搜索损失区域类似的图像信息作为训练生成模型的样本,收敛速度更快。鉴别器损失函数改进为输出的Wasserstein距离,使用自适应估计算法优化生成器损失函数和鉴别器损失函数的模型参数,最小化两两图像之间的总距离差,使用鉴别模型和修复图像总距离变化均方差最小化两个指标优化修复结果。在4个公开数据集上进行主客观实验,结果表明:所提方法能使用残缺图像样本作为训练集,有效实现大面积失真图像的修复,且收敛速度和修复效果优于现有图像修复方法。

基于IFOA的MEMS加速度计无转台标定
戴洪德, 郑伟伟, 郑百东, 戴邵武, 王瑞
2021, 47(10): 1959-1968. doi: 10.13700/j.bh.1001-5965.2020.0349
摘要:

为提高微机电系统(MEMS)加速度计的标定效率并降低对高精度转台的依赖,提出一种基于改进果蝇优化算法(IFOA)的MEMS加速度计无转台标定方法。首先,根据模观测标定法原理将加速度计标定问题转化为非线性函数优化问题。然后,针对经典果蝇优化算法存在的只能搜索正参数及搜索步长固定的不足,对味道浓度判定值及搜索步长进行改进,使改进后的算法具有全局参数搜索及可变步长2种性能,并利用Rosenbrock函数进行测试,结果表明,IFOA相比于经典果蝇优化算法具有全局参数寻优范围及更高的寻优精度。最后,将IFOA应用于求解加速度计待标定参数的非线性函数优化问题,并将结果与牛顿迭代法和粒子群优化(PSO)算法进行对比。仿真结果表明:IFOA在求解精度方面比牛顿迭代法提高了1~3个数量级;在运行稳定性方面比牛顿迭代法和PSO算法分别提高了30%和34%,在运行时间方面分别减小了15.2%和43.6%;在加速度计无转台标定方面具有良好的应用价值。

基于区域划分与标准时间的手部异常行为检测
梁宇宁, 王绍华, 金向明, 周栋
2021, 47(10): 1969-1979. doi: 10.13700/j.bh.1001-5965.2020.0369
摘要:

通过监控视频自动检测操作任务中手部异常行为,能够预防人因差错,提高人因可靠性。针对手部操作任务运动特征不明显、常用异常检测和手势识别方法不适用的问题,提出基于区域划分与标准时间的手部异常行为检测技术。使用基于椭圆模型的肤色检测方法,检测视频中手部形心位置;提出工作区域划分方法,根据手部形心在操作过程中所处区域的不同,将连续操作分割为单元任务,获得各段单元任务的起止时间和持续时长;以正常工作时间为标准,对超出标准时间范围的单元任务提出异常警告。实验表明:所提方法的单元任务分割正确率高于93%,异常行为检测率高于86%,能够有效检测手部异常行为,为人为差错的监测与预警提供技术支持。

含间隙非线性机翼跨声速颤振时滞反馈控制
聂雪媛, 郑冠男, 杨国伟
2021, 47(10): 1980-1988. doi: 10.13700/j.bh.1001-5965.2020.0356
摘要:

颤振主动控制会引入时滞,对气动弹性系统闭环稳定性具有显著影响。针对当前考虑时滞的机翼颤振主动控制多集中在亚、超声速域,采用线性气动力分析的研究现状,结合现代飞机大都以跨声速巡航、控制面偏转为作动器进行主动控制的应用特点,发展了考虑结构间隙非线性,基于气动力降阶模型的跨声速颤振时滞反馈主动控制方法。首先,以白噪声为激励信号,辨识得到跨声速下非定常气动力降阶模型,与间隙非线性结构模型耦合,构建被控对象状态空间模型;然后,通过一种含积分项的状态变换将输入信号存在时滞的被控系统转化为无时滞的系统;最后,采用最优控制理论设计最优时滞反馈控制。仿真结果表明:对于含时滞的系统,若施加不考虑时滞影响的控制方法,则无法抑制颤振,所提控制方法的有效性不受时滞大小的影响,可有效抑制颤振的发生。

固体火箭冲压发动机设计点性能优化分析
李新田, 陈新民, 陈世立, 许诺, 蔡强
2021, 47(10): 1989-1995. doi: 10.13700/j.bh.1001-5965.2020.0378
摘要:

针对冲压动力飞行器射程优化总体需求,提出了基于飞行器-发动机性能因子的评估方法,建立了固体火箭冲压发动机性能模型及优化设计流程,为总体与动力一体化优化设计提供了支撑。根据典型含硼贫氧推进剂性能分析结果可知,相同马赫数及余气系数下,高度对比冲的影响不明显;相同马赫数下,比冲随余气系数的增加先增加后减小;相同余气系数下,比冲随马赫数的增加而降低;飞发性能因子随马赫数、余气系数的增加先增加后降低,在一定条件下达到最大值。

SBAS电文时序动态编排算法
陈姗姗, 金彪, 赵立谦, 夏川茹, 王雷雷
2021, 47(10): 1996-2005. doi: 10.13700/j.bh.1001-5965.2020.0375
摘要:

星基增强系统(SBAS)通过GEO卫星转发SBAS电文实现对GNSS服务性能的提升,以满足民航用户不同飞行阶段的导航需求,因此,合理有效的电文内容及播发时序设计是系统实现高质量服务的重要保证。为提高电文编排的灵活性,避免固定时序填补空余电文引起的播发资源浪费,提出了一种SBAS电文时序动态编排算法,在满足国际标准要求的前提下,综合利用SBAS电文龄期和最大播发间隔实现待播发电文的自动选择。利用NTMF实测数据对当前各主要SBAS的电文进行了特性分析,对所提方法的单双频SBAS电文编排效果进行了评估。结果表明:所提算法可保证电文时序符合国际标准要求,实现了重要电文的优先播发,将空余时隙进行动态分配实现了各类型电文播发间隔的近等比例缩短。与固定时序相比,单频SBAS完好性电文播发间隔缩短约15.0%,首次定位时间缩短约8%,双频SBAS电文首次定位时间缩短约6.5%;与固定时序的BDSBAS B1C电文相比,完好性服务能力提升约14.7%,首次定位时间缩短约16.7%。所提算法有效提升了SBAS电文播发的播发效率,实现了SBAS播发资源的100%有效利用。

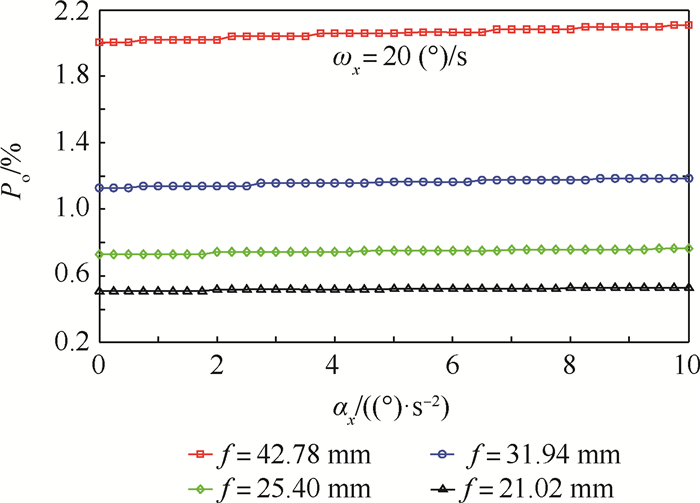
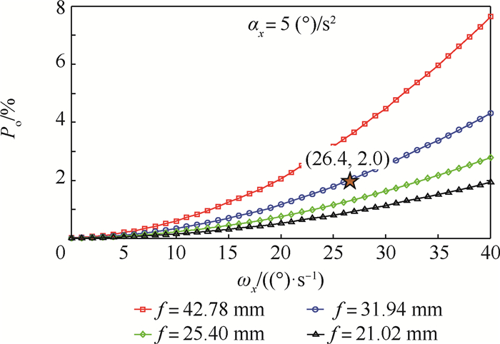
多曝光星敏感器的全运动参数建模及优化设计
于文波, 武佩, 宣传忠, 张春慧, 江洁
2021, 47(10): 2006-2012. doi: 10.13700/j.bh.1001-5965.2020.0364
摘要:

多曝光成像方法是一种有效提升星敏感器姿态更新率的技术,但该方法随着运动角速度及角加速度增大,相邻星点轨迹的交叉概率显著增大,严重影响其提升性能。为了解决上述问题,建立了基于星敏感器全运动参数的星点成像位置模型,并据此确定了星点在工作周期内的运动位移。根据该模型,对交叉概率与全运动参数、焦距、星点位置等的关系进行了仿真,并确定了全运动参数的极限安全值为角速度ω≤26.4(°)/s,角加速度α≤5(°)/s2。外场观星实验充分验证了所提方法的有效性。

山区机场高填方地基变形分析
冯兴, 姚仰平, 李汝宁, 张献民
2021, 47(10): 2013-2023. doi: 10.13700/j.bh.1001-5965.2020.0510
摘要:

目前山区机场大量采用高填方工程,高填方地基沉降变形问题是个亟待解决的重要问题。首先,基于统一硬化(UH)模型,通过研究含石量与内摩擦角和黏聚力的关系,并基于扩展SMP准则和变换应力,将含石量引入到UH模型中,建立了考虑含石量的UH模型;应用当前屈服面与平均主应力轴交点的变化规律作为考虑含石量UH模型加卸载的判断准则,实现了硬化和软化的统一考虑;采用半隐式回映应力更新算法,将加卸载判断准则应用到应力更新算法中,实现了考虑含石量UH模型的有限元应用。其次,应用考虑含石量UH模型的有限元程序,对土石混合料的大型三轴试验进行了计算分析,计算结果和实测结果进行对比,验证了有限元程序的有效性。最后,应用考虑含石量UH模型的有限元程序,对山区机场高填方地基进行了三维有限元分析,得到了地基沉降监测点的竖向位移随时间的变化曲线,并与不考虑含石量UH模型、修正剑桥(MCC)模型计算得到的曲线及工程实测数据进行了比较,得到了高填方地基的竖向位移云图、侧向位移云图、孔隙水压力云图和超静孔隙水压力随时间的变化曲线,从而得到了机场高填方地基的位移和超静孔隙水压力变化规律,说明了考虑含石量UH模型在分析山区机场高填方地基变形方面的合理性。

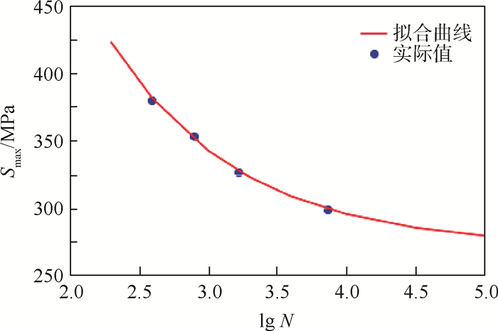
疲劳统计学智能化中的高镇同法
徐家进
2021, 47(10): 2024-2033. doi: 10.13700/j.bh.1001-5965.2020.0373
摘要:

在疲劳统计学中威布尔分布起着非常重要的作用,但3个参数的威布尔分布在数学形式上比较复杂。通过样本数据估计这3个参数,可通过威布尔概率坐标纸,但其使用不便,且误差较大;也可通过解析法,求解3个联立的超越方程组,但存在不自冾的问题。为此,提出了智能化解决方案——高镇同法,高镇同法充分利用了Python的特点,能够方便地同时给出威布尔分布的3个参数,为威布尔分布的理论研究、实际应用和疲劳统计学的智能化奠定了坚实的基础。

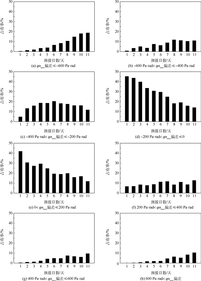
风偏差对火箭最大气动载荷精度的影响
程胡华, 李娟, 肖云清, 沈洪标, 赵亮
2021, 47(10): 2034-2042. doi: 10.13700/j.bh.1001-5965.2020.0358
摘要:

高空风的预报精度对运载火箭的飞行安全有重要影响,主要表现在对运载火箭飞行中的最大气动载荷的精度影响。以某地区实况风为基准,分析了高空风预报值产生的风偏差对火箭最大气动载荷参数精度的影响。结果表明:最大气动载荷预报值的精度随高空风预报时效延长而降低,其相对误差从第1天的5.68%增长到第11天的26.49%;且最大气动载荷预报值精度与季节有关,该预报精度在秋季最高,春季最低。研究结果在火箭发射的飞行保障及安全决策方面具有参考价值。

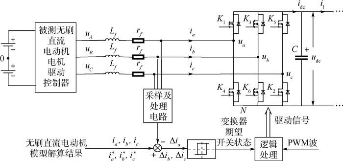
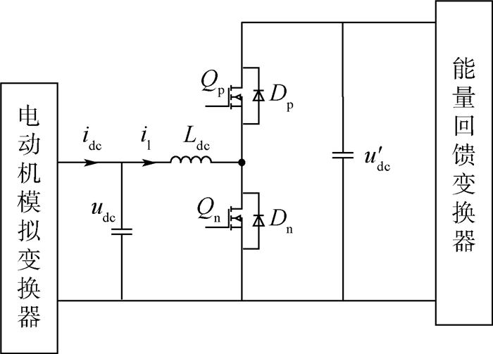
功率级无刷直流电动机四象限运行模拟器设计
张磊, 郭宏, 徐金全
2021, 47(10): 2043-2057. doi: 10.13700/j.bh.1001-5965.2020.0441
摘要:

针对无刷直流电动机(BLDCM)驱动控制器在研发过程中全工况测试困难、测试成本高和研发周期长的问题,提出了一种采用分区间采样和解算方法的、具有四象限运行能力的功率级(PHIL)无刷直流电动机模拟器,替代实物电动机和机械负载装置完成对两两导通控制方式下无刷直流电动机驱动控制器的各项性能测试与可靠性试验。该模拟器由实时仿真器、电动机模拟变换器和多级式双向变换器3部分组成,实时仿真器负责采集被测电动机驱动控制器输出的PWM电压,实时解算电动机模型得到三相电流指令,控制电动机模拟变换器生成三相电流,多级式双向变换器负责维持模拟器输入、输出间的能量平衡关系,从而实现对四象限运行时无刷直流电动机的功率级模拟。实验结果表明:所提出的功率级无刷直流电动机模拟器模拟精度高、实时性好、测试灵活,能够有效替代实物电动机和机械负载装置,满足电动机驱动控制器的测试需求。

一种基于SD-ICA的卫星电池健康状态估计方法
陈景龙, 王日新, 李玉庆, 徐敏强, 黄文虎
2021, 47(10): 2058-2067. doi: 10.13700/j.bh.1001-5965.2020.0376
摘要:

针对容量增量分析(ICA)法应用在卫星电池的健康状态(SOH)估计中存在较大误差的问题,提出了基于带平滑处理并使用放电数据的容量增量分析(SD-ICA)的电池健康状态估计方法。首先,利用光滑样条函数的拟合结果具有二阶导连续的特性,对低分辨率的遥测数据进行平滑处理,从而提高了计算结果的准确性。其次,针对ICA必须使用微小电流放电数据的限制,推导出有负载条件下的容量增量(IC)计算方法,降低了对卫星电池放电工况的要求。最后,利用IC曲线的第一特征点(FOI1)与电池容量的关系,对卫星电池的健康状态进行估计。经验证,所提方法具有对数据分辨率要求低、不需要增加电池工况、计算简便等优势,可以准确地从卫星遥测数据中估计电池健康状态。研究成果在卫星电池的健康管理和任务规划中具有重要的应用价值。

一种自适应GNSS弱信号载噪比估计方法
孙文杰, 王兆瑞, 金声震, 艾国祥
2021, 47(10): 2068-2074. doi: 10.13700/j.bh.1001-5965.2020.0372
摘要:

全球导航卫星系统(GNSS)信号的载噪比(CNR)是衡量接收机工作性能的一个重要参数。为了准确得到载噪比估计值,推导并分析了2种常用的GNSS信号载噪比估计方法(方差求和法(VSM)、窄带宽带功率比值法(PRM)),并同时提出一种基于渐消因子容积卡尔曼滤波的自适应载噪比估计方法,比较了3种方法在通常的信号环境下和弱信号环境下的载噪比估计能力。结果显示:在信号较弱环境或信号受到遮挡产生突变等情况时,VSM方法与PRM方法均会产生较大的误差,而自适应载噪比估计方法能准确估计出信号的载噪比。

引信-超宽带强电磁脉冲效应阈值试验研究
付胜华, 娄文忠, 苏子龙, 郑福泉
2021, 47(10): 2075-2080. doi: 10.13700/j.bh.1001-5965.2020.0344
摘要:

为明晰超宽带电磁脉冲对引信的干扰和损伤影响,确定引信-电磁脉冲效应的阈值区间,针对当前引信-电磁脉冲效应数据样本少,难以准确评估引信的抗电磁脉冲能力的难题,建立了马尔可夫蒙特卡罗估计的引信-电磁脉冲效应阈值分析模型。通过构建的超宽带电磁脉冲模拟器的引信效应测试系统,对典型引信进行辐照试验,得到引信-电磁脉冲的效应规律及干扰阈值。试验结果表明:引信通信故障的效应阈值均值为28.262 kV/m,均值的95%可信区间为(27.390,29.129)kV/m;方差的后验期望估计为1.867 kV/m,方差的95%可信区间为(0.834,4.182)kV/m。所提模型可用作多种引信的电磁脉冲效应阈值估计,为提高引信的抗电磁干扰能力提供理论基础和试验手段。

轴间气膜密封周向相对滑动判定方法
黄玉辉, 苏华, 程卓一, 侯国强
2021, 47(10): 2081-2087. doi: 10.13700/j.bh.1001-5965.2020.0366
摘要:

为预判端面轴间气膜密封中密封环与外层转子之间是否产生周向相对滑动,提出了一种考虑离心膨胀效应的轴间气膜密封周向相对滑动判定方法。分析了密封环与外层转子之间产生周向相对滑动的力学机制,将密封环和外层转子离心膨胀简化为轴对称平面应力问题和轴对称平面应变问题。计算了密封环和外层转子的弹性变形刚度差异对膨胀变形及连接关系的影响,得到了密封环与外层转子产生临界滑动的工况区域。所提判定方法对工程中密封环的周向滑动问题提供了预测及指导。

基于GPU的快速有限元法求解密度场
李果阳, 严华, 张征宇, 陈沁梅, 祝福顺
2021, 47(10): 2088-2096. doi: 10.13700/j.bh.1001-5965.2020.0346
摘要:

为了快速计算分析利用视频测量方法测得的高速风洞试验密度场在扰动流场作用下的实验数据,针对密度场的数值求解问题,经过光线偏折理论分析密度场得到的二阶偏微分方程,对其研究实现了CPU串行有限元法求解。在此基础上提出了基于GPU的快速有限元求解密度场的方法,该方法经过对串行有限元法求解过程效率分析后,将耗时的神经网络拟合、总刚度矩阵和总载荷向量的求解进行了基于GPU的并行加速。实验结果表明:在精度满足实际工程要求的前提下,相对于CPU串行求解方法,所提方法可大大提高求解效率,且随着网格剖分成倍加密,其加速比成倍增加。

二维功能梯度壁板热颤振本征问题的精确解
代林桐, 邢誉峰
2021, 47(10): 2097-2104. doi: 10.13700/j.bh.1001-5965.2020.0351
摘要:

为了得到二维功能梯度壁板热颤振的精确解并揭示颤振机理,根据经典薄板理论及一阶活塞理论,建立了超声速气流下二维功能梯度壁板的本征控制微分方程并求得了精确解,根据得到的本征根对颤振机理进行了分析。针对功能梯度材料(FGM)的不同体积分数,分别研究了壁板在恒温场及非线性温度场下的颤振边界随马赫数的变化规律,并比较了2种温度场下的结果。通过分析简支、固支及其组合边界情况下的壁板颤振特性,从数学角度发现颤振现象的发生是由于挠度的一阶导数导致刚度非对称,且功能梯度材料能够有效提高热环境下壁板的颤振边界,同时利用ABAQUS软件对功能梯度壁板的振动特性进行了模拟,进一步验证了所提方法的有效性。

俯冲段高超声速飞行器有限时间协同制导律设计
唐博, 席建祥, 刘太阳, 李冰
2021, 47(10): 2105-2117. doi: 10.13700/j.bh.1001-5965.2020.0363
摘要:

针对多枚高超声速飞行器在俯冲段协同攻击一个固定目标或慢速移动目标的问题,基于有限时间理论设计了带有视线(LOS)高低角和视线方位角约束的协同制导律。首先,将俯冲段制导过程划分为横向和纵向2个方向;其次,在纵向视线方向,将所有参与攻击的飞行器与邻居间的相对位置差值和视线速度差值作为误差项引入制导律;最后,为实现横向和纵向的视线角收敛,设计有限时间滑模制导律,并设计自适应干扰观测器估计时变扰动的上界。通过Lyapunov函数对提出的协同制导律给出详细的有限时间收敛证明,仿真实验结果验证了所设计协同制导律的正确性和有效性。

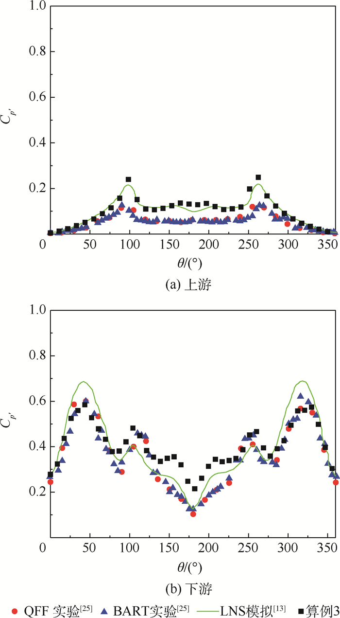
基于K-FWH声比拟方法的串列双圆柱气动噪声研究
陈武, 周毅
2021, 47(10): 2118-2128. doi: 10.13700/j.bh.1001-5965.2020.0365
摘要:

为了研究串列双圆柱的气动噪声与大尺度涡脱落之间的关系,采用大涡模拟并结合K-FWH方程的方法进行研究。采用标准算例的实验结果对数值模拟方法进行了验证,证实了壁面自适应局部涡黏(WALE)大涡模拟模型结合基于K-FWH方程的声比拟方法能够较好地预测不同频率下的噪声谱密度。数值模拟结果表明:上下游圆柱的涡脱落频率相同,大尺度涡呈现反相位脱落。上游圆柱表面平均阻力系数大于下游圆柱,而下游圆柱表面的压力脉动更为剧烈。双圆柱绕流的气动噪声来源主要为偶极子噪声(包括柱体表面瞬时压强及其时间导数),其中瞬时压强的时间导数是主要的声压组成部分。在此基础上,对某一观测点的瞬时声压及其分解项之间的物理关联进行了研究。观测点的瞬时声压主要由下游圆柱产生的声压主导。由于上游涡脱落对下游圆柱的涡脱落的影响,导致下游升力系数频谱及观测点总噪声频谱呈现次级峰的现象。此外,通过希尔伯特变换发现观测点的声压脉动值不受上下游旋涡脱落的相位差影响。研究结果能为后续降低双圆柱气动噪声的研究做出贡献,给工程降噪问题提供参考。

阵风载荷谱的损伤分散性研究
朱俊贤, 贺小帆, 李玉海
2021, 47(10): 2129-2137. doi: 10.13700/j.bh.1001-5965.2020.0348
摘要:

载荷谱的分散性是影响机群疲劳可靠性寿命的重要因素,阵风载荷是运输类飞机重要的损伤来源。为研究运输类飞机阵风载荷谱的损伤分散性,基于离散阵风模型,对调研得到的多个运输机型号的实测阵风速度超越数数据进行了统计分析;假定指定阵风速度下的超越数服从对数正态分布,建立了阵风速度超越数的分散性模型。采用Monte Carlo方法抽样得到单机阵风速度超越数曲线,得到单机随风载荷过载谱,计算得到单机阵风载荷谱损伤,对机群的阵风载荷谱损伤分散进行了研究,结合3个机型的使用剖面进行了算例分析。结果表明:运输类飞机的阵风载荷谱损伤服从对数正态分布,分散性取值与使用剖面密切相关。

环量控制翼型非定常气动力建模
雷玉昌, 张登成, 张艳华
2021, 47(10): 2138-2148. doi: 10.13700/j.bh.1001-5965.2020.0360
摘要:

针对目前环量控制技术中射流参数与迎角对翼型气动特性的影响高度耦合,对应非定常气动力模型精度较差的研究现状,基于环量控制翼型强迫俯仰振动数值模拟数据,借助Kriging模型实现环量控制翼型的定常气动力插值,借助微分方程模型完成了适用于环量控制翼型的线性微分方程建模,采用两步线性回归参数辨识方法辨识线性微分方程模型中特征时间常数等参数,对高动量系数大振幅流动状态下的非线性影响进行修正。研究结果表明:基于Kriging模型实现的环量控制翼型定常气动力插值精度较传统气动导数模型高,建立的环量控制翼型非定常气动力模型能够精确预测不同流动状态下的气动力和力矩系数变化情况。

一种改进的ORB特征匹配算法
廖泓真, 王亮, 孙宏伟, 刘云清
2021, 47(10): 2149-2154. doi: 10.13700/j.bh.1001-5965.2020.0359
摘要:

针对现有的ORB特征匹配算法在图像模糊、光照变化、图像压缩、噪声条件下,匹配准确率下降问题,提出了一种改进的ORB特征匹配算法。首先,在提取特征点过程中,对图像进行网格化处理,并引入四叉树结构,使提取的特征点在图像中均匀分布,解决传统的特征提取方法遇到的特征点集中问题。然后,利用暴力匹配进行初步匹配,并采用交叉验证的方式,剔除部分误匹配,改善暴力匹配的结果。最后,利用高斯核对网格运动统计的结果做加权处理,优化统计结果,进一步剔除误匹配,得到准确率更高的匹配集合。实验结果表明:改进后的算法在图像模糊、光照变化、图像压缩和噪声条件下,平均准确率分别提高了3.5%、4.2%、2.2%和6%。

常见问答