留言板

尊敬的读者、作者、审稿人, 关于本刊的投稿、审稿、编辑和出版的任何问题, 您可以本页添加留言。我们将尽快给您答复。谢谢您的支持!

姓名
邮箱
手机号码
标题
留言内容
验证码

2020年  第46卷  第8期

显示方式:
2020年, 第46卷, 第8期
icon下载 (24193) 959 icon预览
论文
超声能对铝合金搅拌摩擦焊焊缝成型的影响
杨坤玉, 彭彬, 袁朝桥, 宋佳寅, 贺地求
2020, 46(8): 1437-1443. doi: 10.13700/j.bh.1001-5965.2019.0485
摘要:

为了探究超声能对铝合金搅拌摩擦焊(FSW)焊缝成型及焊缝缺陷的影响机理,采用数值模拟和试验验证相结合的方法,设计了同等工艺条件下的超声辅助搅拌摩擦焊(UAFSW)与搅拌摩擦焊的流场仿真和试验对比。通过分析2种焊缝横截面上热塑性金属的流动矢量和金相组织,研究了超声能导入后焊缝热塑性金属的流动变化情况。分析结果表明:超声能导入,使铝合金搅拌摩擦焊焊缝内金属的水平绕流方式演变成倾斜绕流方式,并使上下2个独立流场实现交汇统一,而且使焊缝金属最低流速提升近一个数量级,焊缝成型完整度明显增强,焊缝缺陷率大幅降低。

锂离子电池SOC及容量的多尺度联合估计
杨世春, 华旸, 顾启蒙, 闫啸宇, 李琳
2020, 46(8): 1444-1452. doi: 10.13700/j.bh.1001-5965.2019.0488
摘要:

锂离子电池的荷电状态(SOC)和电池容量估计是电池管理系统的核心。由于SOC和容量在估计过程中参数相互影响,提出一种适用于三元锂离子电池SOC及容量的多尺度联合估计方法。采用戴维宁等效电路模型,建立数学模型及状态空间方程。针对不同温度下电池特性不同的问题,在不同温度下开展了模型参数辨识,建立了参数随SOC及温度的变化关系。基于双扩展卡尔曼滤波(DEKF)算法建立了电池状态多尺度联合估计模型,对电池的SOC、极化电压在微观时间尺度上进行估计,对电池的容量在宏观时间尺度上进行估计,并对SOC估计中的容量进行更新,保证了电池长期估计的精度。在宽温度范围内进行验证,所建立的三元锂离子电池多尺度联合估计方法具有较高的精度。

新型排气余压利用系统无因次效率研究
虞启辉, 翟建伟, 谭心, 方桂花, 蒙建国
2020, 46(8): 1453-1459. doi: 10.13700/j.bh.1001-5965.2019.0499
摘要:

利用能量方程、状态方程、运动方程和质量流量方程,建立新型排气余压利用系统气缸回程过程的基本数学模型。选取合适的基准值将数学模型无因次化,运用MATLAB/Simulink对无因次模型进行仿真,得到各无因次参数对排气回收效率的影响。仿真结果表明,排气回收效率主要由无因次固有周期、无因次进气口有效面积、切换判据及气缸无因次供气压力决定。当切换判据或气缸无因次供气压力增加而排气回收效率下降时,可以通过改变无因次进气口有效面积、无因次固有周期使其增加。对确定的气缸驱动系统,可以通过改变气罐体积来提高排气回收效率。

基于修正IMM的风机变桨系统故障诊断方法
王进花, 朱恩昌, 曹洁, 余萍
2020, 46(8): 1460-1468. doi: 10.13700/j.bh.1001-5965.2019.0526
摘要:

针对交互式多模型(IMM)故障诊断方法固定模型转移概率导致的诊断准确性、速度下降和估计精度损失问题,提出了一种基于模型转移概率和模型概率修正的故障诊断方法,并与粒子滤波(PF)结合实现了风机变桨系统传感器的多故障诊断。在非模式切换阶段,采用后验模型概率梯度信息设计模型转移概率的修正函数,以抑制噪声对IMM估计精度的影响;在模式切换阶段,采用模型概率反转的策略快速切换模型,弥补模型软切换导致的诊断延迟和错误诊断。通过仿真实验证明所提方法的准确性、模型切换速度以及状态估计精度都得到了较好的提升。

复材蒙皮的硬涂层阻尼减振设计与优化方法
张波成, 章健, 张泽峰, 扈静泽
2020, 46(8): 1469-1475. doi: 10.13700/j.bh.1001-5965.2019.0512
摘要:

针对民用飞机复材蒙皮的局部振动问题,提出复材蒙皮的硬涂层阻尼减振设计方法,并综合考虑涂覆硬涂层对蒙皮结构的附加质量和固有特性影响,对硬涂层减振性能进行多参数优化。基于有限元法和经典层合板理论,建立复材蒙皮-硬涂层复合结构动力学方程,并以共振峰值降低量最高为目标、给定质量增加和固有频率变化范围为约束条件,采用可行方向法求解获得硬涂层材料性能参数和涂层厚度参数的最佳组合结果。优化算例表明,通过合理设计硬涂层的材料弹性模量和损耗因子参数组合,可涂覆更薄的涂层获得更高的共振峰值衰减,并将涂覆硬涂层带来的蒙皮结构质量增加与固有频率变化控制在设计范围内,获得最优的减振性能。

基于CFD的10 cm氙离子推力器阳极推进剂供给方式优化
胡竟, 杨福全, 郭德洲, 高俊, 郑茂繁
2020, 46(8): 1476-1484. doi: 10.13700/j.bh.1001-5965.2019.0484
摘要:

离子推力器阳极推进剂在放电室内的浓度分布及其变化梯度的设计是放电室放电模式可靠性设计的关键技术之一,直接影响到放电室内推进剂的电离效率及放电稳定性。针对航天器在轨多目标飞行任务对10 cm氙离子推力器的应用需求,为提高10 cm氙离子推力器放电室空腔内阳极推进剂供给的均匀性,实现推进剂利用率的有效提升,运用计算流体动力学(CFD)理论,建立了包括阳极推进剂、进气管和分配环在内的CFD阳极环模型,研究了未发生气体放电情况下,不同供给方式时阳极环内阳极推进剂的压强与流速变化情况。在此基础上,分析了阳极推进剂供给方式对10 cm氙离子推力器放电室空腔内阳极推进剂分布特性的影响作用关系。将优化前后的阳极环在10 cm氙离子推力器中进行了性能对比,结果表明:优化后阳极推进剂电离损耗由277.9 W/A降至241.2 W/A,放电室阳极推进剂利用率由91.7%提升至98.4%,验证了CFD计算结果的正确性与方法的可行性。研究结果为离子推力器放电室拓扑结构设计与优化提供了方法。

数据丢包和量化约束下的分布式滚动时域估计
刘帅, 赵国荣, 曾宾, 高超
2020, 46(8): 1485-1493. doi: 10.13700/j.bh.1001-5965.2019.0497
摘要:

针对网络约束问题,对带丢包和量化的网络化系统分布式状态估计进行了研究。用一组满足Bernouli分布的随机变量来描述丢包现象,采用预测补偿机制进行丢包补偿。将数据量化引入的误差描述为观测方程中的参数不确定性,通过求解固定时域内的min-max问题,得到局部估计器。对局部估计器的稳定性进行研究,给出了误差范数平方的期望收敛的充分条件。推导了局部估计器误差协方差上界的递推公式,在此基础上,应用协方差交叉(CI)融合算法得到了分布式融合估计器。仿真结果表明,所提算法能够有效减小数据丢包和量化对状态估计的影响。

应用于智能芯片的可视化反馈系统研究
李欣致, 董胜波, 崔向阳, 刘志哲, 郭广浩
2020, 46(8): 1494-1502. doi: 10.13700/j.bh.1001-5965.2019.0518
摘要:

当前,市场上普遍使用的负责推理的终端人工智能(AI)芯片使用训练好的参数对数据进行快速高效运算。但在通常训练过程中使用的数据集和真实数据的分布不一致,由此获得的参数会导致终端AI芯片识别准确度降低。为此,提出了一种基于终端AI芯片的可视化反馈系统架构方法。使用反卷积特征可视化方法,在具有高效计算性能的终端AI芯片上,对卷积核参数进行迭代优化,达到可识别该图像目的。相比于CPU/GPU和FPGA,所提架构在卷积神经网络模型里,更具有高效处理能力和灵活可塑性。实验表明,该研究有效提高了终端AI芯片的普适性、识别准确度和处理效率。

动力增程型高超声速飞行器的再入轨迹规划
冯玥, 王容顺, 梅映雪, 孙洪飞, 吴了泥
2020, 46(8): 1503-1513. doi: 10.13700/j.bh.1001-5965.2019.0519
摘要:

为研究飞行过程中的动力装置启动时刻及燃料消耗情况,对轨迹进行优化,进而提出一种动力增程型弹道的再入模式。推导Sanger弹道的解析解,分析得到高超声速飞行器再入航程最优所必须的迎角及初始速度取值条件等相关前提,利用该结论设计动力装置的启动方式使航程最远、燃料利用率最大。将轨迹设计为Sanger弹道和拟平衡滑翔弹道相结合的混合弹道:再入前期利用助推器间隔点火的方式形成等高类周期跳跃弹道以保证足够远的航程; 再入后期采用拟平衡滑翔弹道,将最优控制问题转化为复杂多约束非线性规划问题,性能指标综合考虑了轨迹平滑和航程。仿真实现了所提出的动力增程型再入弹道; 并在燃料充足、弹道倾角取值合适的条件下,得到“打水漂”弹道形式,该弹道能量损失极慢,具有足够远的飞行能力。仿真表明,与不同点火方式及求解方法得出的弹道相对比,所提动力增程型再入弹道具有3.47~3.84倍的航程、1.04~1.18倍的末端动能以及4.47~15.79倍的燃料利用率。

铜互连扩散阻挡层工艺优化
傅晓娟, 赵毅强, 刘峻, 宋凯悦
2020, 46(8): 1514-1520. doi: 10.13700/j.bh.1001-5965.2019.0493
摘要:

针对金属线间击穿电压小、可靠性差的问题,对铜扩散阻挡层(包括钽阻挡层厚度和氮化硅阻挡层薄膜质量)进行研究优化。使用自对准双重图形(SADP)方法能够使金属互连线的特征尺寸缩小,使得互连线扩散阻挡层的厚度期望降低。通过制备不同厚度的钽阻挡层对金属互连体系电阻和击穿电压做详细对比分析,发现硬质的钽金属对化学机械研磨(CMP)产生影响,导致互连体系电阻和击穿电压随着钽阻挡层厚度减小而增加,过薄的阻挡层会导致阻挡性能降低、整体晶圆均一性变差;铜线界面上存在的氧元素极大地降低了氮化硅的黏附性,影响阻挡层性能。在氨气预处理阶段通入不同流量的氨气,在预沉积阶段改变预沉积时间,增加过渡阶段,通过实验分析氮化硅的黏附性,结果证明:氨气流量的增加、预沉积时间的减少、过渡阶段的增加能提高氮化硅的黏附性,改善了薄膜阻挡能力。

考虑物料供应干扰的飞机移动生产线动态调度
卢斌, 陆志强
2020, 46(8): 1521-1534. doi: 10.13700/j.bh.1001-5965.2019.0500
摘要:

针对飞机装配过程中出现的物料供应延期干扰问题,对飞机移动生产线装配作业调度进行了研究。通过对物料供应信息的动态分析,将反应调度决策划分为固定决策和不同场景下的预测决策,并建立了物料供应干扰环境下的动态调度框架。在滚动决策点,以最小化与模板装配计划的偏差及工期的加权和期望值为目标函数,建立了二阶段近似优化模型。针对模型的决策逻辑,设计了以两阶段禁忌搜索算法为框架的启发式算法,求解滚动决策点的优化问题。不同规模下的数值实验表明,所提出的动态调度方法能够有效利用不断更新的物料供应信息,获得接近后验精确解的调度结果,且相比于传统的调度方法,所提方法能更有效地应对物料供应干扰。

复杂管网系统未知信息调节阀的一种瞬变建模方法
王烨君, 陈阳, 蔡国飙, 黄玉龙, 王仙勇
2020, 46(8): 1535-1544. doi: 10.13700/j.bh.1001-5965.2019.0486
摘要:

关键调节阀信息缺失是制约复杂管网系统可建模的重要因素。通过对调节阀建模研究的分类和总结,得出了多数调节阀的流量特性曲线均处于等百分比与线性之间的结论;进而针对结构和节流特性均未知的调节阀,提出了一种利用信息已知的基准阀门模型和有限的系统试验数据进行建模的方法。对核心机试验台气路系统中2个未知信息调节阀的建模与仿真表明:在常温0~1 400 s、低温0~1 240 s两种工况下,选用3种不同基准阀门模型仿真结果的差别低于10%,2个调节阀在47组件气路全系统仿真中的流量曲线与试验曲线之间的平均误差在15%以内,系统下游两支路的压强仿真曲线与试验曲线之间的最大误差低于15%,为解决此类问题提供了一种有效的建模方案。

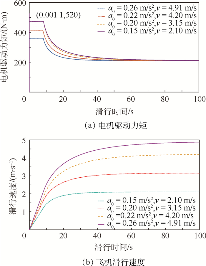
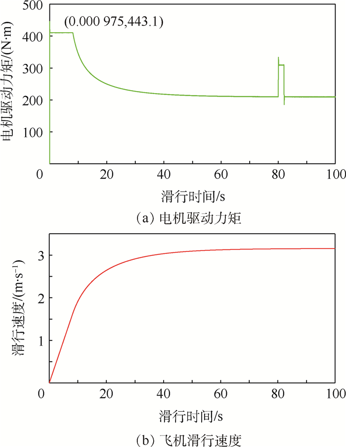
飞机电动滑行系统驱动特性及节能减排性能分析
唐建军, 郭卫东, 徐东光, 贾玉红
2020, 46(8): 1545-1554. doi: 10.13700/j.bh.1001-5965.2019.0487
摘要:

针对某中程飞机设计了基于主起落架机轮驱动的飞机电动滑行系统(AETS),并对其进行了仿真分析。利用MATLAB/Simulink对AETS进行了建模,分别构建了驱动电机模型、机械系统模型和排放性能评估模型;在此基础上进行了驱动能力、稳定性及节能减排性能的仿真。结果表明:所设计系统驱动能力良好,稳定性优异,节能减排效果明显。利用所设计系统驱动目标飞机在地面上滑行最大速度可达4.91 m/s,基本满足滑行要求;当外在负载波动时,其滑行速度能够平稳调节;在相同条件下,当滑行距离为1 500 m时,利用AETS代替主发动机驱动飞机滑行可节省燃油75%以上,减排CO、HC、NOX等有害气体67%以上。

基于高分辨率网络的单声道歌声分离
张阳, 牛之贤, 牛保宁, 常艳
2020, 46(8): 1555-1563. doi: 10.13700/j.bh.1001-5965.2019.0491
摘要:

单声道歌声分离是指将单声道歌曲中的伴奏和歌声分离,在旋律提取、歌词识别、卡拉OK伴奏等方面有重要应用。针对当前时频谱图预测精度受限的问题,利用高分辨率网络具有并行结构及特征充分交互提高模型性能的优势,提出基于高分辨率网络的单声道歌声分离算法。设计并构建适合单声道歌声分离的高分辨率网络,输入歌曲的时频谱图到网络,得到预测的伴奏和歌声时频谱图。结合歌曲相位进行重构,得到伴奏和歌声的时域信号。实验表明,在公开数据集MIR-1K上,所提算法的SNR、SIR、SAR指标均优于当前代表性算法,提高了分离后伴奏和歌声的质量。

基于改进MRNSD算法的电阻抗层析成像
范文茹, 李靓瑶, 王勃
2020, 46(8): 1564-1573. doi: 10.13700/j.bh.1001-5965.2019.0504
摘要:

电阻抗层析成像(EIT)作为一种新兴的碳纤维增强复合材料(CFRP)无损检测方法,具有成本低、无辐射、可视化等优点,受到研究者广泛关注。EIT逆问题具有严重的病态性,通常采用正则化算法改善成像质量。基于修正残差范数最陡下降法(MRNSD),利用其在减少图像伪影和保持边界信息方面的优势,针对该算法存在的半收敛性和抗噪声效果差等问题,采用预处理和软闭值方法对MRNSD算法进行改进。通过仿真和实验,对比所提改进算法与几种常用算法的成像效果。结果表明,所提算法有效提高了EIT图像质量和抗噪声能力,并且实现了最佳迭代次数的自动更新,有利于推动EIT方法在CFRP损伤检测中的实际应用。

基于IFA-HFS的雷达波形域LPI性能评估方法
杨诚修, 王谦喆, 彭卫东, 李寰宇, 裴少婷
2020, 46(8): 1574-1581. doi: 10.13700/j.bh.1001-5965.2019.0507
摘要:

针对雷达波形域低截获(LPI)性能评估的问题,提出一种应用改进萤火虫算法(IFA)求解指标权重的犹豫模糊集(HFS)评估方法。首先,介绍基于逼近理想解排序(TOPSIS)的犹豫模糊集理论,并从属性和方案2个角度构建指标权重的优化模型;其次,通过引入混沌理论,解决了萤火虫算法容易陷入局部最优的问题,给出用IFA求解指标权重的流程;再次,从雷达发射方角度,提取脉内、脉间5个波形域LPI性能评估指标;最后,得到利用IFA求解指标权重的犹豫模糊集评估方法。选取4种不同类型的雷达进行仿真对比,获得波形域LPI性能排序,验证了方法的快速性和有效性。

计及弯折波的舰载飞机偏心拦阻动力学分析
谢朋朋, 彭一明, 魏小辉, 聂宏
2020, 46(8): 1582-1591. doi: 10.13700/j.bh.1001-5965.2019.0516
摘要:

为分析偏心度对舰载飞机拦阻过程的安全特性的影响,以某舰载飞机为研究对象,建立了拦阻系统动力学模型,研究舰载飞机在偏心状态下的拦阻动力学特性。基于离散的弯折波模型,进行了计及弯折波的对中拦阻动力学仿真,仿真结果与相关标准的试验数据进行了对比,变化规律基本一致。在此基础上进行了偏心拦阻动力学仿真,并研究了偏心度对于弯折波的影响,结果表明:因偏心拦阻,两侧拦阻索初始长度和拉伸速度不同,导致弯折波产生的载荷波动产生差异。当偏心度超过20%时,一侧拦阻索拉力不再呈现波动增大趋势,超过24%时,拦阻索拉力会出现负载和接近破断拉力。随着偏心度的增加,偏心侧的拦阻索承受更多的拦阻冲击载荷,偏心度过大会对拦阻系统的安全特性产生不利影响。

基于子集包含减少ARAIM子集数量的方法
刘金鑫, 滕继涛, 李锐, 王君君
2020, 46(8): 1592-1600. doi: 10.13700/j.bh.1001-5965.2019.0517
摘要:

先进接收机自主完好性监测(ARAIM)技术可用于多星座组合定位时的完好性监测,ARAIM技术子组推荐的多假设分离解(MHSS)标准算法,存在子集数量过多带来大量计算负载的问题。针对此问题,在双星座组合定位情景下,通过分析子集之间的包含关系及空间位置精度因子(PDOP)的变化,提出了使用一个子集代替多个子集减少子集数量的方法。所提方法可以明显地减少子集数量,不同参数下的仿真结果表明,优化后的算法效率至少提高2倍以上,并且优化前后的ARAIM可用性变化最大不超过3%。

基于EDT的扫描测试压缩电路优化方法
李松, 赵毅强, 叶茂
2020, 46(8): 1601-1609. doi: 10.13700/j.bh.1001-5965.2019.0530
摘要:

为了在集成电路可测试性设计(DFT)中实现更有效的测试向量压缩,减少测试数据容量和测试时间,采用嵌入式确定性测试(EDT)的扫描测试压缩方案分别对S13207、S15850、S38417和S38584基准电路进行了优化分析,通过研究测试向量和移位周期等影响测试压缩的因素,提出了固定测试端口和固定压缩率的扫描测试压缩电路优化方法。结果表明,在测试端口数量都为2,压缩率分别为12、14、16和24时具有较好的压缩效果,与传统自动测试向量生成(ATPG)相比,固定故障的测试数据容量减小了3.9~6.4倍,测试时间减少了3.8~6.2倍,跳变延时故障的测试数据容量减少了4.1~5.4倍,测试时间减少了3.8~5.2倍。所提方法通过改变测试端口数和压缩率的方式讨论了多种影响测试压缩的因素,给出扫描测试压缩电路的优化设计方案,提高了压缩效率,并对一个较大规模电路进行了仿真验证,可适用于集成电路的扫描测试压缩设计。

一种可变锚框候选区域网络的目标检测方法
李承昊, 茹乐, 何林远, 迟文升
2020, 46(8): 1610-1617. doi: 10.13700/j.bh.1001-5965.2019.0531
摘要:

目标检测作为计算机视觉领域的热点问题,目前基于深度学习的目标检测方法可以分为2类:两步检测和一步检测,前者有着较高准确性,后者有着较好速度,但是为提高检测的性能两者都引入了锚机制。为提高目标检测系统的性能,基于深度卷积神经网络的两步检测算法引入了注意力引导(AG)模块,通过对候选区域网络(RPN)的锚机制进行引导,使得对于预选锚框形状的选择更具有多样性;同时针对传统的后处理方式非极大值抑制(NMS)算法存在的误检和漏检的问题,提出了一种置信度因子的NMS(Cf-NMS)算法,对于模型的整体性能有着很大的贡献。实验结果说明,所提方法虽然在速度性能上有略微的下降,但是无论是在RPN变体还是现有的先进算法在准确性方面都有提升。

一种新型低功耗SRAM读写辅助电路设计
郭春成, 郝旭丹, 陈霏
2020, 46(8): 1618-1624. doi: 10.13700/j.bh.1001-5965.2019.0533
摘要:

针对低电压下静态随机存储器(SRAM)出现的读写性能损失的问题,设计了一种应用于低功耗SRAM的两步控制(DSC)的字线电压辅助电路技术,可以同时实现读和写辅助的功能,降低SRAM的最小工作电压从而降低功耗。写辅助通过字线开启前段的字线过驱(WLOD)实现,提高写数据速度和写阈值(WM);读辅助通过字线开启后段的字线欠驱(WLUD)实现,降低静态噪声,提高稳定性。通过在28 nm互补金属氧化物半导体(CMOS)工艺下,对256 Kbit SRAM进行前仿和后仿仿真验证,结果表明相比于传统结构,应用DSC字线电压技术的SRAM的最小工作电压降低100 mV,写时间减小10%,静态功耗降低30%,版图面积增大4%。

常见问答